Download

ORIGINAL ARTICLE

Quality changes during storage in Thai indigenous leafy vegetable, Liang leaves (Gnetum gnemon var. tenerum) after different preparation methods

Sunisa Siripongvutikorn1*, Worapong Usawakesmanee1, Supachai Pisuchpen2, Nicha Khatcharin1, Chanonkarn Rujirapong1

1Centre of Excellence in Functional Foods and Gastronomy, Faculty of Agro-Industry Prince of Songkla University, Hat Yai, Songkhla, 90110, Thailand;

2Centre of Excellence in Bio-based Materials and Packaging Innovation, Faculty of Agro-Industry Prince of Songkla University, Hat Yai, Songkhla, 90110, Thailand

*Corresponding Author: Sunisa Siripongvutikorn, Centre of Excellence in Functional Foods and Gastronomy, Faculty of Agro-Industry, Prince of Songkla University, Hat Yai, Songkhla, 90110, Thailand. Email: sunisa.s@psu.ac.th

Abstract

Liang or Gnetum gnemon var. tenerum, an indigenous southern vegetable has recently attracted increasing interest due to its high nutritional value, creamy taste and lack of smell. The leaves with or without stem are washed with chlorinated water at 100 ppm for 15 min, stored at 4°C and investigated for physiochemical, chemical and sensory evaluations over time. Total phenolic and flavonoid contents were higher in treatments with stems (P < 0.05). Washing significantly increased moisture content and water activity (aw) in all treatments (P < 0.05). In addition, washing resulted in significantly higher DPPH and ABTS activity (P < 0.05). However, washing and stem detachment had no effect on sensory and physicochemical qualities. The sensory score of the 8-days stored sample was comparable to the fresh one (Day 0).

Key words: antioxidant, Gnetum gnemon, preparation, quality, stem, washing

Received: 8 March 2023; Accepted: 19 June 2023; Published: 10 July 2023

DOI: 10.15586/ijfs.v35i3.2346

© 2023 Codon Publications
This is an Open Access article distributed under the terms of the Creative Commons Attribution-NonCommercial-ShareAlike 4.0 International (CC BY-NC-SA 4.0). License (http://creativecommons.org/licenses/by-nc-sa/4.0/)

Introduction

Liang or Gnetum gnemon var. tenerum, a common signature southern vegetable, has the potential to become a new economic plant with less or free from pesticide residue. Generally, Liang is grown in backyards or as a fence plant by people in Southern Thailand. Liang has a creamy, umami taste with less green flavour and is often grown as an intercrop between various economic plants such as rubber, palm oil, durian and orchard plants to maximise the use of space and increase income. The tenerum shrub variety is grown in Thailand, whereas in Malaysia and Indonesia, the gnemon variety is grown as a tree (Anisong et al., 2022). Preliminary tests showed that the tenerum variety produced leaves containing essential amino acids with high health benefits including antioxidant, antidiabetic, anti-inflammatory, anti-breast cancer and gut microbiota–enhancing effects (Suksanga et al., 2022) due to high protein and phytochemical compounds such as chlorophyll, beta-carotene, phenolic compounds, flavonoids and dietary fibre, both soluble and insoluble. After harvesting, the leaves are usually bunched with rubber bands or packaged in open bags for transport to local or fresh markets (Figure 1), while in supermarkets, packaging in sealed bags is usually applied (Figure 2). To serve the new generation of people who live busy lives, ready-to-cook or minimal process ingredients are required to meet their needs. In supermarkets, ready-to-cook leafy vegetables are usually packaged as leaves without stems.

Figure 1. Flowchart of vegetable preparation from farm to market.

Figure 2. Liang leaves bunched with a rubber band (A) and sealed in a plastic bag (B).

Liang leaves are eaten as a fresh vegetable or as a side dish with spicy foods. The leaves are also cooked and used in recipes for various menus (Suksanga et al., 2022). Liang leaves are typically washed before cooking to ensure hygiene and safety (Figure 3). Gardeners and merchants generally spray water on vegetables or soak them to remove dirt. This reduces plant temperature and controls weight loss. Low temperature and appropriate humidity (60–70%) could slow down the leaf deterioration rate after harvesting (de Frias et al., 2018). However, each preparation process causes cumulative physical damage (Mulaosmanovic et al., 2021), leading to chemical and microbiological spoilage (Ariffin et al., 2017). Wounds also increase biochemical and chemical reactions owing to the liberation of substrates and enzymes from damaged or injured plant cells (Leveau and Lindow, 2001). Injured leaves lead to lower quality and shortened product shelf life (Ariffin et al., 2017). Physically damaged cells or wounds enhance both organic and inorganic nutrient release that accelerates microbial growth and chemical reactions (Aruscavage et al., 2008, 2010).

Figure 3. Flowchart of the conventional washing process.

Washing also increases moisture content, aw level as well as physical damage due to excessive forces during washing and draining (FAO and WHO, 2003; Mulaosmanovic et al., 2021). However, no scientific information is available on the preparation (washing and stem detachment) of leafy vegetables, particularly Liang. This is of significant interest for a new S-curve for Liang because of its consumer palatability, low chemical or pesticide content and high nutritional value. Therefore, quality changes in Liang due to the preparation process represent is of utter importance. This study focused on the effect of stem detachment and washing on the physical, chemical and sensory qualities and antioxidant activity to develop a proper method for Liang leaf preparation in current commercial markets.

Materials and Methods

Leaf preparation and sampling

Young Liang or Gnetum gnemon var. tenerum leaves (pae-salat) were collected from a farm. To avoid injury from weight and dense packing, 2 kg of bulky Liang was packed into a low-density polyethylene bag (LDPE) and sent to the laboratory within 24 h, as shown in Figure 4. Tropical leafy vegetables are usually stored above 4°C to avoid chilling injury. The sample was checked for visual damage, and old, torn and rotten leaves were removed before the stem was detached following hygienic practice by wearing sanitation gloves. Leaves with and without stems were soaked in chlorinated water at 100 ppm for 15 min, washed twice with running tap water to remove the chlorine residue and drained in a basket for 10 min with a controlled thickness of leaves overlay at not more than 1 cm. The Liang leaves were divided into four groups as follows: no washing with stem (NWS), no washing without stem (NWNS), washing with stem (WS) and washing without stem (WNS) (see Figure 5). Finally, all four groups were stored at 4°C for 8 days, as presented in Figure 6. On Days 0, 4, 5, 6, 7 and 8, samples were collected for physical, chemical, quality and sensory evaluation.

Figure 4. Liang leaves received from the farm (A) Liang leaves packed in LDPE and (B) Liang leaves.

Figure 5. The groups of Liang leaves used in this study including (A) no washing with stem (NWS); (B) no washing without stem (NWNS); (C) washing with stem (WS) and (D) washing without stem (WNS).

Figure 6. Flowchart of Liang leaves preparation.

Physiochemical and chemical quality determination Colour change

Colour changes were determined by CIE L*, a* and b* using a colorimeter (ColorFlex EZ, Hunter Associates Laboratory Inc., Virginia, USA) as described by Lee et al. (2022) and expressed as ΔE, as shown in Equation 2.

ΔE=ΔL2+Δa2+Δb2

Where,

ΔE = colour difference between standard (fresh produce)

ΔL = difference between lightness (L*) standard (fresh produce)

Δa = difference between redness-greenness (a*) standard (fresh produce)

Δb = difference between yellowness-blueness (b*) standard (fresh produce)

pH, moisture content and aw

The pH, moisture content and aw were measured using a pH meter (Sartorius- Sartorius AG, Docu-pH+ Meter, Goettingen, Germany), oven method (AOAC, 2000), and an aw analyser (Aqualab Pre., Decagon Devices Inc., Washington, USA) at predetermined times.

Brix value

Brix values were measured using a refractometer (Atago, Pen refractometer, Tokyo, Japan) (Thakulla et al., 2021).

Chlorophyll content

Chlorophyll content was measured by the colorimetric method at 400–700 nm, as described in AOAC Methods 940.03 662 and 646 (AOAC, 2000) for chlorophyll a and b, respectively.

Fibre content

Fibre content was determined as described in AOAC Method 2009.01.

Total phenolic content, total flavonoid content and antioxidant activity

Sample preparation and extraction

Sample was extracted using the method described by Srisook et al. (2021) with some modifications, such as ethanol 90% for 24 h instead of 95% ethanol for 5 days. Liang leaves and 90% ethanol (v/v) at a ratio of 1:10 were mixed and stirred in the dark at 25°C for 24 h. The mixture was then separated by vacuum suction using a Buchner funnel and centrifuged at 4°C for 15 min at 12,000 rpm. An evaporator was used to vaporise the ethanol and to obtain a concentrated sample.

Total phenolic content (TPC) determination

TPC was determined using the method described by Singleton and Rossi (1965) with some modifications. Briefly, 20 µl of sample extract was added to 96-well plates followed by 100 µl of 10% Folin reagent (v/v). After incubation in the dark at 30°C for 6 min, 7.5% Na2CO3 (anhydrous) (w/v) was added, and the mixture was incubated for another 30 min. The absorbance was measured at 765 nm using a microplate reader (Varioskan LUX, Thermo Scientific, Singapore). TPC content was reported as mg gallic acid equivalent/g DW using gallic acid as the standard at a concentration of 50–170 µg/ml (R2 = 0.999).

Total flavonoid content (TFC) determination

TFC was determined using the method described by Ha et al. (2020) with some modifications. Briefly, 100 µl of sample extract was mixed with 100 µl 2% AlCl3•6H2O (w/v) and incubated in the dark at 30°C for 60 min. The absorbance of the mixture was then measured at 420 nm and reported as mg quercetin equivalent/g DW using quercetin as the standard at a concentration of 10–50 µg/ml (R2 = 0.9963).

DPPH radical scavenging activity

2,2-Diphenyl-1-picryl hydrazyl (DPPH) radical scavenging activity was determined using the method described by Brand-Williams et al. (1995) with some modifications. First, 100 µl of sample extract was mixed with 100 µl 0.2 mM DPPH in 95% ethanol. The sample was incubated in the dark for 30 min at 30°C. Finally, the absorbance of the mixture was measured at 517 nm and reported as µg gallic acid equivalent/g DW using gallic acid as the standard at a concentration of 0.5–3.5 µg/ml (R2 = 0.9959).

ABTS radical scavenging activity

2,2-Azino-bis-3-ethylbenzthiazoline-6-sulfonic acid (ABTS) assay was determined as described by Arnao et al. (2001). ABTS radical was generated by incubating 7.4 mM of ABTS solution in dark at 30°C for 12 h. The radical solution was then diluted to obtain an absorbance of 1.1 ± 0.02 at 734 nm. Then, 20 µl of sample extract was mixed with 280 µl of radical solution and kept in the dark for 2 h at 30°C. The absorbance of the mixture was measured at 734 nm and reported as mg gallic acid equivalent g DW using gallic acid as the standard at a concentration of 5–30 µg/ml (R2 = 0.998).

Ferric reducing antioxidant power (FRAP) assay

The ferric–reducing antioxidant power (FRAP) assay was determined using the method of Benzie and Strain (1996). A freshly prepared FRAP solution containing 300 mM acetate buffer pH 3.6, 10 mM TPTZ (2, 4, 6--tripyridyl-s-triazine) in 40 mM HCl and 20 mM FeCl3•6H2O (ratio 10:1:1) was warmed at 37°C for 30 min. Next, 15 µl of the sample extract was mixed with 285 µl of FRAP solution and incubated for 30 min at 37°C. The absorbance of the mixture was measured at 593 nm and reported as µg gallic acid equivalent/g DW using gallic acid as the standard at a concentration of 6–30 µg/ml (R2 = 0.9981).

Sensory evaluation

Before the sensory evaluation, all samples were steamed for 3 min, and eight attributes including appearance, colour, texture, odour, flavour, taste, overall acceptability and consumer acceptance were evaluated using a 9-point hedonic scale by 50 untrained panelists.

Statistical analysis

All quality parameters, except for sensory tests, were assessed using a completely randomized design (CRD), whereas the sensorial score was determined using a randomized complete block design (RCBD). Differences in mean values were tested using ANOVA with specific differences between groups or treatments assessed by Tukey’s test.

Results and Discussion

Physicochemical changes

Moisture and aw

Moisture content of all no washing treatments (NWS and NWNS) decreased at fourth day of storage, whereas the moisture content of all washing treatments (WS and WNS) increased and was significantly higher than that of the no washing treatments (Figure 7). At fourth day of storage, the aw of the no washing treatments (NWS and NWNS) remained constant, whereas the aw of the washing treatments (WS and WNS) increased (Figure 8). Throughout the study, the moisture content of WNS treatments was significantly higher than WS treatments because stem detachment in WNS treatments resulted in an increased surface area, particularly at the end of the petiole, leading to higher water uptake and weight retention. Using LDPE plastic bags also prevented moisture loss, with moisture content reducing slightly until reaching equilibrium during 5 days of storage.

Figure 7. Moisture content of Liang or Gnetum gnemon var. tenerum leaves after storage at 4°C for 8 days. Different uppercase letters indicate significant differences within the same treatment group. Different lowercase letters indicate significant differences between treatments within each day (P < 0.05). NWS means no washing with the stem; NWNS means no washing without the stem; WS means washing with the stem; WNS means washing without the stem.

Figure 8. The water activity of Liang or Gnetum gnemon var. tenerum leaves after storage at 4°C for 8 days. Different uppercase letters indicate significant differences within the same treatment group. Different lowercase letters indicate significant differences between treatments within each day (P < 0.05). NWS means no washing with the stem; NWNS means no washing without the stem; WS means washing with the stem; WNS means washing without the stem.

aw of WS and WNS were higher than those of NWS and NWNS, indicating the effect of picking up water, as described in the moisture content determination. Thus, washing resulted in an increase in aw and moisture content. Results showed the drawbacks of washing in terms of an increase in aw, an important parameter for microbial spoilage and biochemical reactions which lead to faster product deterioration.

Brix value

The Brix value is a measure of the soluble solids content of a solution (Zoecklein et al., 2010). Brix values of all treatments increased at fourth day of storage (Figure 9). An increase in Brix value indicates an increase in water-soluble substances such as sugar, soluble fibre, amino acids, salt and organic acids or a decrease in water in the solution system such as evaporation and respiration (Kusumiyati et al., 2020). Therefore, the increase in Brix value was related to the higher water-soluble solids retained in the leaf samples.

Figure 9. Brix values of Liang or Gnetum gnemon var. tenerum leaves after storage at 4°C for 8 days. Different uppercase letters indicate significant differences within the same treatment group. Different lowercase letters indicate significant differences between treatments within each day (P < 0.05). NWS means no washing with the stem; NWNS means no washing without the stem; WS means washing with the stem; WNS means washing without the stem.

The unwashed samples (NWS, NWNS) exhibited higher Brix values than the washed samples (WS, WNS) during storage for 5–8 days. Washing increased the water uptake of the samples. Brix values gradually decreased after storage for 4 days because of the higher utilisation of soluble solids particularly sugar, weak acids and minerals from microbial growth and biochemical reactions over time. Decrease in Brix value by microbial utilisation of soluble solids is also observed in yogurt, wort and beer (Adadi et al., 2017; Kim and Han, 2019). The sharp increase in Brix values on eighth day of storage indicated an increase in soluble solid compounds due to a softening process by microbial and biochemical autolyses. Results revealed that the utilisation and production of such compounds occurred naturally, in parallel, as a result of the reaction. Therefore, when the former was lower than the latter, the increment increased rather than decreasing.

pH value

The initial pH of the fresh leaf samples was 6.20 ± 0.03 (Figure 10), which is similar to the pH of approximately 6 as reported by Anisong et al. (2022). At the fourth day of storage, the pH of all treatments significantly decreased, indicating three features including reduction of basic compounds, increase in acid and decrease in buffering capacity. It is recognised that a buffer can resist changes in pH if it is sufficient to bind with added protons and the starting pH of the solution (Bobulescu, 2020). While acidic compounds can reduce pH by providing hydrogen ions (H+), basic compounds increase pH by providing hydroxide ions (OH–) (Bartee et al., ND). Consequently, pH gradually increased until Day 7 of storage. At eighth day of storage, a decrease in the pH of all treatments was observed. The reduction in pH in all treatments resulted in an unpleasant organic smell that was similar to the smell of sweet, fermented sticky rice (Khao mak), which may be due to fermentation by yeast and lactic acid bacteria (Mongkontanawat and Lertnimitmongkol, 2015) as well as anaerobic respiration (Toro and Manuel, 2015).

Figure 10. pH of Liang or Gnetum gnemon var. tenerum leaves after storage at 4°C for 8 days. Different uppercase letters indicate significant differences within the same treatment group. Different lowercase letters indicate significant differences between treatments within each day (P < 0.05). NWS means no washing with the stem; NWNS means no washing without the stem; WS means washing with the stem; WNS means washing without the stem.

Fibre content

The fibre content of Liang leaves is shown in Figure 11. The total dietary fibre content was approximately 31% (DW), which was slightly lower than the 36.3% DW as reported by Anisong et al. (2022). The fibre content remained constant during storage. The experimental results corresponded to the fibre content of walnuts stored at 4°C (Zhang et al., 2017). During storage, the texture became tougher but the fibre content remained the same. Therefore, the total fibre content was not a good parameter for determining quality changes in Liang leaves, with soluble and insoluble fibres being better options. Details on parameters such as reducing and non-reducing sugar and cellulose contents require further investigation.

Figure 11. Fibre of Liang or Gnetum gnemon var. tenerum leaves after storage at 4°C for 8 days. Different uppercase letters indicate significant differences within the same treatment group. Different uppercase letters indicate significant differences within the same treatment group. Different lowercase letters indicate significant differences between treatments within each day (P < 0.05). NWS means no washing with the stem; NWNS means no washing without the stem; WS means washing with the stem; WNS means washing without the stem.

Colour change

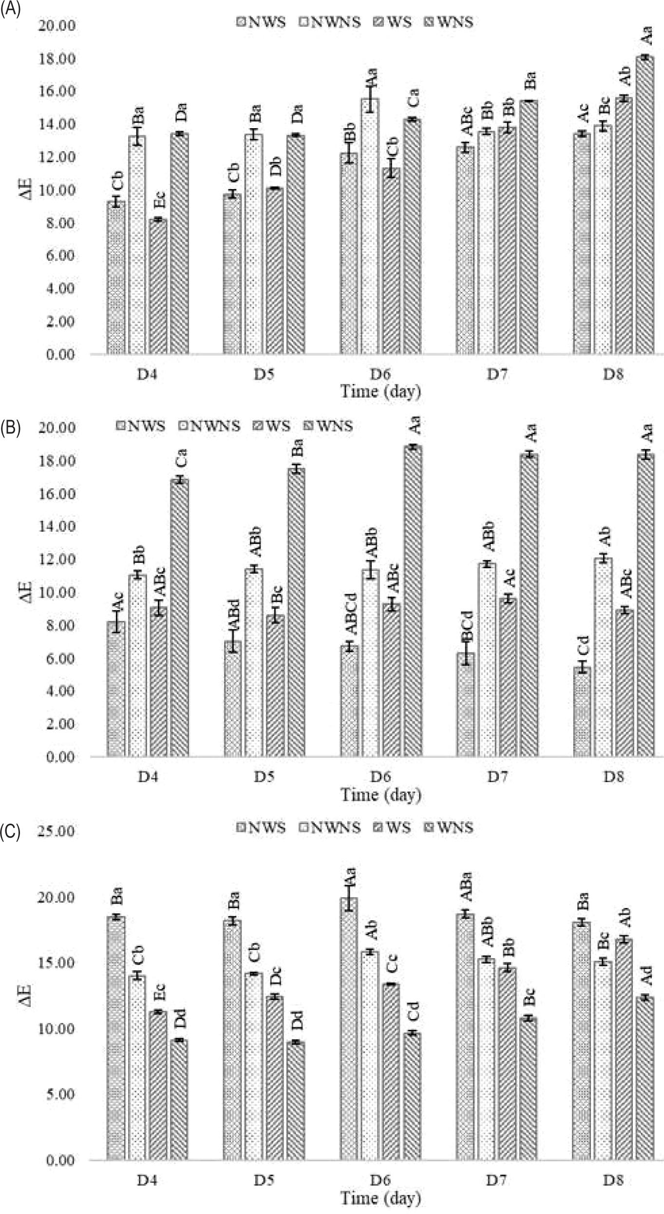
ΔE values of Liang leaves are shown in Figure 12. The colour of the adaxial and abaxial surfaces and ground leaves in all treatments significantly changed during storage. After storage for 4 days, ΔE of the upper side of the treatments without stem (NWNS and WNS) was higher than that of treatments with stem (NWS and WS). ΔE of the adaxial surface of the WNS treatment was the highest, followed by that of WS, indicating that washing had a greater effect on ΔE at 7 and 8 days of storage. Excess water or high moisture content and mechanical injury induced by washing and stem detachment led to biochemical reactions and increased microbial functions (Mulaosmanovic et al., 2021). Interestingly, ΔE values of the lower side of the stem detachment treatments (NWNS and WNS) were significantly higher than those of stem treatments (WS and NWS). Washing also resulted in a higher ΔE than no washing, suggesting that washing and stem detachment played significant roles in leaf colour.

Figure 12. Colour difference (ΔE) of adaxial surface (A), abaxial surface (B) and ground leaves (C) of Gnetum gnemon var. tenerum leaves after storage at temperature 4oC for 8 days. Different uppercase letters indicate significant differences within the same treatment group. Different lowercase letters indicate significant differences between treatments within each day (P < 0.05). NWS means no washing with the stem; NWNS means no washing without the stem; WS means washing with the stem; WNS means washing without the stem.

The ΔE values of ground WS and WNS gradually increased, while those of the others remained constant during storage. The highest ΔE in the ground sample was found in the NWS treatment, while the adaxial and abaxial surfaces under the WNS treatment had the highest ΔE, indicating that grinding affected the ΔE value of the leaves. The difference between the ΔE values of the non-ground sample (adaxial and abaxial surfaces) and the ground sample was caused by the water after the samples were ground. Therefore, the colour quality of stored leaves could be preserved using ground samples.

Chlorophyll content

At fourth day of storage, changes in chlorophyll content in the NWS treatment remained constant but not in the other treatments (NWNS, NWS and WS). See Table 1. Chlorophyll content in the NWS treatment decreased, whereas it increased in the WS treatment at eighth day of storage. The oscillation of chlorophyll content in this study may be due to the plant cell metabolism during storage (Mei et al., 2022). Larrinaga et al. (2019) confirmed the oscillation of chlorophyll content in rocket leaves stored in dark at 4°C with a relative humidity of 65 ± 4.5% for 2 days, depending on the day–night cycle (circadian regulation). Interestingly, the chlorophyll content of Liang leaves in this study was higher than kale, which is considered as a high chlorophyll vegetable, at 136.18–172.10 mg/100 g (Lal, 2014). These results indicated that Liang leaves could be used as an alternative source of chlorophyll.

Table 1. Total chlorophyll (Chl a+b), chlorophyll a (Chl a), chlorophyll b (Chl b) and the ratio of chlorophyll a to b (Chl a/b) of Liang or Gnetum gnemon var. tenerum leaves after storage at 4°C for 8 days.

Time Treatment Chl a + b (mg/g DW) Chl a (mg/g DW) Chl b (mg/g DW) Chl a/b
D0 NWS 226.28 ± 22.25ABa 114.55 ± 7.46Ba 101.53 ± 6.71Ba 1.13 ± 0.10Aa
NWNS 226.28 ± 22.25Aa 114.55 ± 7.46Aa 101.53 ± 6.71Aa 1.13 ± 0.10Aa
WS 226.28 ± 22.25Aa 114.55 ± 7.46Aa 101.53 ± 6.71Aa 1.13 ± 0.10Ba
WNS 226.28 ± 22.25Aa 114.55 ± 7.46Ba 101.53 ± 6.71Aa 1.13 ± 0.10Aa
D4 NWS 254.46 ± 9.96Aa 138.41 ± 5.48Aa 116.05 ± 4.49Aa 1.19 ± 0.00Ac
NWNS 188.16 ± 2.60Bb 103.61 ± 1.35ABb 84.55 ± 1.26Bb 1.23 ± 0.00Aab
WS 172.60 ± 10.57Bb 95.01 ± 6.28Bb 77.60 ± 4.29Bb 1.22 ± 0.01ABb
WNS 177.26 ± 1.47Bb 98.31 ± 1.00Cb 78.95 ± 0.47Bb 1.25 ± 0.01Aa
D8 NWS 200.07 ± 2.55Bb 110.67 ± 1.38Bb 89.40 ± 1.19Cb 1.24 ± 0.00Ab
NWNS 181.50 ± 5.16Bc 101.41 ± 2.82ABc 80.10 ± 2.45Bc 1.27 ± 0.02Aa
WS 177.03 ± 6.56Bc 99.44 ± 4.01ABc 77.59 ± 2.56Bc 1.28 ± 0.01Aa
WNS 229.74 ± 5.79Aa 126.56 ± 3.41Aa 103.18 ± 2.40Aa 1.23 ± 0.01Ab

Remarks: NWS means no washing with the stem; NWNS means no washing without the stem; WS means washing with the stem; WNS means washing without the stem. Different uppercase letters indicate significant differences within the same treatment group. Different lowercase letters indicate significant differences between treatments within each day (P < 0.05).

The results for total chlorophyll (Chl a/b) revealed that the chlorophyll a (Chl a) content in all treatments was higher than that of chlorophyll b (Chl b). The Chl a/b ratio in this study was 1.2, which is lower than that of most plant types (generally higher than 2) including trees, shrubs, herbs, conifers, broad-leaves, evergreen and deciduous (Li et al., 2018). The low Chl a/b ratio was due to oxidative stress, as Chl a is more prone to oxidative damage than Chl b (Kasajima, 2019). The Chl a/b ratio of healthy rice leaves was recorded at 3.5, and decreased to 1.5 after subjection to oxidative stress (Kasajima, 2019). Shade plants generally produce more chlorophyll to increase photosynthesis efficiency because of the absorption of blue light in a low-light environment (Beneragana and Goto, 2010). This result was supported by Herrera et al. (2022), who reported that plants respond to shade by increasing the production of light-harvesting complexes by increasing Chl b. Shade-tolerant plants respond to low-light environments in diverse ways than normal plants by decreasing the Chl a/b ratio. Farmers usually plant Liang as an intercrop between rubber trees, and the plants adapt to the shaded environment by increasing the total chlorophyll content and Chl b, leading to a low Chl a/b ratio.

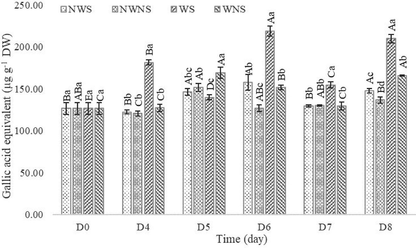
TPC, TFC and antioxidant activity

TPC and TFC

Phenolic compounds are produced by chloroplasts to protect cells from damage caused by reactive oxygen species (ROS), a by-product of photosynthesis (Zhang et al., 2018). Leaves are major photosynthetic organs, and green-leaf plants contain an abundance of phenolic compounds (Zhang et al., 2018). The TPC of Liang leaves at Day 0 was 4.32 mg/GAE DW lower than Malaysia Liang leaves which were 8.70 mg/GAE DW as reported by Wazir et al. (2011). The TPC and TFC values of Liang leaves are presented in Figures 13 and 14, respectively. Fluctuations in the TPC and TFC in each treatment were observed during storage. The results in this experiment concurred with TPC values in other vegetables and fruits after storage at 4°C, indicating that active plants or plant parts try to remain homeostatic for survival until the end of life (Hubert et al., 2017; Kim, 2015). Cold storage induced phenolic production (polyphenolic phytoalexins) (Hubert et al., 2017). A decrease in TPC and TFC during 8 days of storage with stem detachment (NWNS and WNS) indicated a reduced availability of nutrients to produce phenolic compounds, in contrast to treatments with stems (NWS and WS) which provided nutrients from the stems to the leaves. An increase in phenolic compounds production in wounded, stressed plants was observed in sweet potato roots (Dovene et al., 2019). Stem detachment can also injure plant cells as a result of wounds, requiring more energy and a curing agent to treat the damaged cells.

Figure 13. Total phenolic content of Liang or Gnetum gnemon var. tenerum leaves after storage at 4°C for 8 days. Different uppercase letters indicate significant differences within the same treatment group. Different lowercase letters indicate significant differences between treatments within each day (P < 0.05). NWS: no washing with the stem; NWNS: no washing without the stem; WS: washing with the stem; WNS: washing without the stem.

Figure 14. Total flavonoid content of Liang or Gnetum gnemon var. tenerum leaves after storage at 4°C for 8 days. Different uppercase letters indicate significant differences within the same treatment group. Different lowercase letters indicate significant differences between treatments within each day (P < 0.05). NWS means no washing with the stem; NWNS means no washing without the stem; WS means washing with the stem; WNS means washing without the stem.

The TPC content of all treatments increased or remained constant compared with that of the control (Day 0). The TFC content of the NWS and WS treatments was equal to that of the control (Day 0), whereas NWNS (second bar) and WNS (last bar) during storage for 8 days were lower on Day 0, indicating a loss of nutrition supply from the stems. Detaching the stems can be linked to the cutting of organs of living things; this not only causes injury but also requires more energy for recovery. Antioxidant compounds could be used to alleviate stress and control wounds (Comino-Sanz et al., 2021).

Antioxidant activity (DPPH, ABTS and FRAP)

DPPH and ABTS assays are used to stabilize 2,2--diphenyl-1-picrylhydrazyl (DPPH) or 2,2'-azinobis-(3-ethylbenzothiazoline-6-sulfonic acid (ABTS) to measure the ability of hydrogen and electron transfer of antioxidants instead of very short-lived natural radicals such as hydroxyl (HO•), lipid alkyl (L•) and lipid peroxyl (LOO•) (Munteanu and Apetriel, 2021; Yeo and Shahidi, 2019). Ferric ion–reducing antioxidant power (FRAP) is a method for determining the electron transfer ability of antioxidants by reducing the colourless complex ferric ion (Fe3+) to blue ferrous complex (Fe2+) in an acidic environment (pH 3.6) (Munteanu and Apetriel, 2021). Generally, the results revealed that WS treatment had the highest antioxidant capacity, followed by NWS and WNS treatments (Figures 1517). Remarkably, NWS offered antioxidant capacity comparable to WNS treatments, even though NWS contained lower TPC and TFC. The results indicated that injury from washing induced different groups of phenolic compounds with higher antioxidant ability in Liang leaves during storage (Pratyusha, 2021).

Figure 15. DPPH of Liang or Gnetum gnemon var. tenerum leaves after storage at 4°C for 8 days. Different uppercase letters indicate significant differences within the same treatment group. Different lowercase letters indicate significant differences between treatments within each day (P < 0.05). NWS means no washing with the stem; NWNS means no washing without the stem; WS means washing with the stem; WNS means washing without the stem.

Figure 16. ABTS of Liang or Gnetum gnemon var. tenerum leaves after storage at 4°C for 8 days. Different uppercase letters indicate significant differences within the same treatment group. Different lowercase letters indicate significant differences between treatments within each day (P < 0.05). NWS means no washing with the stem; NWNS means no washing without the stem; WS means washing with the stem; WNS means washing without the stem.

Figure 17. FRAP of Liang or Gnetum gnemon var. tenerum leaves after storage at 4°C for 8 days. Different uppercase letters indicate significant differences within the same treatment group. Different lowercase letters indicate significant differences between treatments within each day (P < 0.05). NWS means no washing with the stem; NWNS means no washing without the stem; WS means washing with the stem; WNS means washing without the stem.

The ABTS assay exhibited the highest antioxidant capacity, followed by FRAP and DPPH assays. The higher ABTS value compared to DPPH indicated strong polarity by donating electrons and H+. Pongsetkul et al. (2023) also confirmed relation of ABTS assay and hydrogen donating capability of antioxidant in aqueous phase. As mentioned above, the FRAP value indicates the reducing power of the antioxidants to metal ions. The antioxidant activity in plants is generated by phenolic compounds and also other compounds such as vitamin C and pigments such as chlorophyll and carotenoids (Sarker et al., 2020), therefore explaining why ABTS radical scavenging in this study was not well related to phenolic compounds because carotenoid, chlorophyll and vitamin C contained in Liang leaves were 3706 µg/100 g DW (Anisong et al., 2022), 226.28 ± 22.25 mg/g DW and 2.71–5.25 mg/100 g DW (data in process for publication), respectively.

Sensory evaluation

The sensory qualities of treatments during storage for 8 days at 4°C are shown in Table 2. All treatments were comparable to those of fresh Liang leaves (Day 0). The odour, texture and flavour of NWS treatments remained stable during the storage period. The sensory scores showed that the panelists accepted all treatments after 8 days of storage, even though there was an unpleasant organic smell starting on Day 5 of storage when the bag was opened. However, after cooking, the off-odour of Liang leaves dissipated. An increase in organic acids and off-odour in vegetables by microbes were also confirmed by Jacxsens et al. (2003).

Table 2. Sensory scores of Liang or Gnetum gnemon var. tenerum leaves after storage at 4°C for 8 days.

Attributes Condition Time
Day 0 Day 4 Day 5 Day 6 Day 7 Day 8
Appearance NWS 7.52±0.97ABa 7.30±1.13Ba 7.79±0.74Aa 7.45±0.97ABa 7.52±1.00ABa 7.79±0.82Aa
NWNS 7.73±0.87Aa 7.87±0.86Aa 7.57±1.01Aa 7.67±0.92Aa 7.67±0.88Aa 7.57±0.86Aa
WS 7.40±0.98Aa 7.51±0.95Aa 7.43±0.98Aa 7.60±0.88Aa 7.71±0.99Aa 7.43±1.07Aa
WNS 7.83±0.79Aa 7.63±1.16Aa 7.77±0.82Aa 7.37±1.25Aa 7.57±0.90Aa 7.77±0.86Aa
Color NWS 7.52±1.09Aa 7.36±0.99Aa 7.73±0.88Aa 7.45±0.90Aa 7.45±0.94Aa 7.73±0.80Aa
NWNS 7.57±0.94Aa 7.77±0.77Aa 7.60±0.81Aa 7.50±0.94Aa 7.43±0.90Aa 7.47±0.97Aa
WS 7.31±0.99Aa 7.54±0.89Aa 7.54±0.89Aa 7.57±0.92Aa 7.63±0.97Aa 7.66±0.94Aa
WNS 7.63±0.85Aa 7.70±1.02Aa 7.53±0.94Aa 7.30±1.09Aa 7.70±0.84Aa 7.63±0.89Aa
Odor NWS 7.21±1.17Aa 7.15±1.12Aa 7.28±0.96Aa 7.48±0.80Aa 7.39±1.06Aa 7.45±1.03Aa
NWNS 7.23±0.97Aa 7.63±0.89Aa 7.20±0.92Aa 7.30±0.99Aa 7.10±1.24Aa 7.23±1.04Aa
WS 7.26±1.22Aa 7.43±1.24Aa 7.17±0.89Aa 7.17±1.04Aa 7.20±0.99Aa 6.94±1.21Aa
WNS 7.50±0.97ABa 7.53±0.82Aa 7.33±0.92ABCa 7.03±1.25BCa 7.17±0.99ABCa 6.97±1.33Ca
Odor NWS 7.21±1.17Aa 7.15±1.12Aa 7.28±0.96Aa 7.48±0.80Aa 7.39±1.06Aa 7.45±1.03Aa
NWNS 7.23±0.97Aa 7.63±0.89Aa 7.20±0.92Aa 7.30±0.99Aa 7.10±1.24Aa 7.23±1.04Aa
WS 7.26±1.22Aa 7.43±1.24Aa 7.17±0.89Aa 7.17±1.04Aa 7.20±0.99Aa 6.94±1.21Aa
WNS 7.50±0.97ABa 7.53±0.82Aa 7.33±0.92ABCa 7.03±1.25BCa 7.17±0.99ABCa 6.97±1.33Ca
Texture NWS 7.45±1.23Aa 7.00±1.12Aa 7.30±1.33Aa 7.61±0.90Aa 7.15±1.39Aa 7.55±1.03Aa
NWNS 7.47±0.82ABa 7.67±0.88Aa 7.30±0.92ABa 7.30±1.09ABa 7.00±1.17Ba 7.40±0.97ABa
WS 7.37±1.06Aa 740±1.35Aa 7.11±1.13Aa 7.17±1.20Aa 7.29±1.05Aa 7.20±1.05Aa
WNS 7.50±0.97Aa 7.57±0.94Aa 7.47±0.86Aa 7.17±1.23Aa 7.47±1.14Aa 7.10±1.37Aa
Flavor NWS 7.00±1.22Aa 7.15±1.25Aa 7.30±0.98Aa 7.45±1.06Aa 7.18±1.13Aa 7.33±0.96Aa
NWNS 7.23±1.01Aa 7.50±1.25Aa 7.13±1.43Aa 7.10±1.03Aa 7.10±1.24Aa 7.07±1.26Aa
WS 7.11±1.21Aa 7.23±1.24Aa 7.03±1.04Aa 7.00±1.06Aa 7.20±1.02Aa 6.91±1.15Aa
WNS 7.37±1.07ABa 7.63±0.81Aa 7.30±0.88ABa 7.07±1.23ABa 7.23±0.94AB 7.03±1.13Ba
Taste NWS 7.06±1.14Aa 6.91±1.33Aa 7.27±0.88Aa 7.18±1.33Aa 7.12±1.32Aa 7.21±1.05Aa
NWNS 7.20±1.00Aa 7.40±1.25Aa 7.00±1.58Aa 7.30±0.99Aa 6.80±1.42Aa 6.87±1.41Aa
WS 7.26±1.38Aa 7.26±1.34Aa 7.06±1.11Aa 6.97±1.12Aa 7.14±1.26Aa 6.91±1.25Aa
WNS 7.37±1.00Aa 7.30±1.39Aa 7.20±0.89Aa 6.97±1.19Aa 7.10±0.96Aa 7.17±1.12Aa
Overall NWS 7.12±1.19Aa 6.94±1.25Aa 7.15±1.30Aa 7.30±1.05Aa 7.03±1.26Aa 7.55±0.90Aa
NWNS 7.37±0.93Aa 7.50±1.20Aa 7.07±1.36Aa 7.23±1.01Aa 6.87±1.36Aa 7.13±1.20Aa
WS 7.17±1.29Aa 7.26±1.15Aa 7.14±1.00Aa 6.97±1.15Aa 7.14±1.14Aa 7.03±1.12Aa
WNS 7.40±1.04Aa 7.57±0.68Aa 7.37±0.96Aa 7.20±1.27Aa 7.30±0.95Aa 7.20±1.16Aa
Acceptance NWS 75.76Fd 87.88Cc 81.82Dd 90.91Bc 75.76Ec 93.94Aa
NWNS 90.00Bc 93.33Ab 86.67Cb 83.33Dd 93.33Aa 86.67Cd
WS 94.29Aa 82.86Dd 85.71Cc 85.71Cc 88.57Bb 88.57Bc
WNS 93.33Cb 100Aa 96.67Ba 100.00Aa 93.33Ca 90.00Db

Remarks: NWS means no washing with the stem; NWNS means no washing without the stem; WS means washing with the stem; WNS means washing without the stem. Different uppercase letters indicate significant differences within the same treatment group (column). Different lowercase letters indicate significant differences between treatments within each day (row) (P < 0.05).

Conclusions

The physicochemical, chemical and sensory qualities of Liang leaves after washing with chlorinated water at 100 ppm for 15 min and detaching the stem were determined. Washing increased the moisture content and aw in Liang leaves and led to lower soluble solid content. Stem detachment and washing of Liang leaves did not affect the amount of fibre and chlorophyll after storage at 4°C for 8 days. Liang leaves without stems contained lower TPC and TFC contents; however, washing increased antioxidant capacity based on the DPPH and ABTS methods, while stem detachment did not cause significant differences. Liang leaves stored at 4°C for 5 days produced an acid-like odour during storage, but this unpleasant odour dissipated after steaming. Liang leaves maintained acceptable quality when stored at 4°C for at least 8 days, and microbial quality should be further examined in future studies. This study provides a starting point for the future development of commercial ready-to-eat and ready-to-cook Liang leaf products. However, postharvest techniques and storage conditions require more detailed investigations to extend the shelf life of Liang leaves.

Acknowledgement

This research was supported by the National Science, Research, and Innovation Fund (NSRF) and the Prince of Songkla University (Grant No. AGR6505112M). We thank the Prince of Songkhla University and its Faculty of Agro-Industry for the equipments and laboratory support.

REFERENCES

AOAC, 2000. Official methods of analysis, 17th edition. Washington DC, USA: Association of Official Analytical Chemist.

Adadi, P., Kovaleva, E.G., Glukhareva, T. and Shatunova, S., 2017. Production and analysis of non-traditional beer supplemented with sea buckthorn. Agronomy Research. 15(5). 10.15159/AR.17.060

Anisong, N., Siripongvutikorn, S., Wichienchot, S. and Puttarak, P., 2022. A comprehensive review on nutritional contents and functional properties of Gnetum gnemon Linn. Food Science and Technology. (Campinas). 42: e100121. 10.1590/fst.100121

Ariffin, S.H., Gkatzionis, K. and Bakalis, S., 2017. Leaf injury effect towards shelf life and quality of ready to eat (RTE) spinach. Energy Procedia. 123: 105–112. 10.1016/j.egypro.2017.07.265

Arnao, M.B., Cano, A. and Acosta, M., 2001. The hydrophilic and lipophilic contribution to total antioxidant activity. Food Chemistry. 73(2): 239–244.

Aruscavage, D., Miller, S.A., Lewis Ivey, M.L., Lee, K. and Lejeune, J.T., 2008. Survival and dissemination of Escherichia coli O157:7 on physically and biologically damaged lettuce plants. Journal of Food Protection. 71(12): 2384–2388. 10.4315/0362-028x-71.12.2384

Aruscavage, D., Phelan, P.L., Lee, K. and Lejeune, J.T., 2010. Impact of changes in sugar exudate created by biological damage to tomato plants on persistence of Escherichia coli O157:7. Journal of Food Science. 75(4): M187–M192. 10.1111/j.1750-3841.2010.01593.x

Bartee, L., Shriner, W. and Creech, C., ND. Principles of biology. MT Hood Community College, Biology 211, 212 and 123. [cited 2023 Jun 8]. Available from: https://openoregon.pressbooks.pub/mhccmajorsbio/

Beneragana, C.K. and Goto, K. 2010., Chlorophyll a:b ratio increases under low-light in “shade-tolerant” Euglena gracillis. Tropical Agricultural Research. 22(1): 12–25.

Benzie, I.F. and Strain, J., 1996. The ferric reducing ability of plasma (FRAP) as a measure of “antioxidant power”: the FRAP assay. Analytical Biochemistry. 239: 70–76.

Bobulescu, I.A., 2020. The old west analogy for acid-base buffering. Advances in Physiology Education. 44(2):210–211. 10.1152/advan.00033.2020

Brand-Williams, W., Cuvelier, M.E. and Berset, C., 1995. Use of a free radical method to evaluate antioxidant activity. LWT-Food Science and Technology. 28: 25–30.

Comino-Sanz, I.M., López-Franco, M.D., Castro, B. and Pancorbo-Hidalgo, P.L., 2021. The role of antioxidants on wound healing: a review of the current evidence. Journal of Clinical Medicine. 10(16): 3558. 10.3390/jcm10163558

de Frias, J.A., Luo, Y., Zhou, B., Turner, E.R., Millner, P.D. and Nou, X., 2018. Minimizing pathogen growth and quality deterioration of packaged leafy greens by maintaining optimum temperature in refrigerated display cases with doors. Food Control. 92: 488–495. 10.1016/j.foodcont.2018.05.024

Dovene, A.K., Wang, L., Bokhary, S.U.F., Madebo, M.P., Zheng, Y. and Jin, P., 2019. Effect of cutting styles on quality and antioxidant activity of stored fresh-cut sweet potato (Ipomoea batatas L.). Cultivars Foods. 8(12): 674. 10.3390/foods8120674

FAO and WHO, 2003. Code of hygienic practice for fresh fruits and vegetables CXC 53-2003. [cited 2023 Jun 2]. Available from: https://www.fao.org/fao-who-codexalimentarius/sh-proxy/en/?lnk=1&url=https%253A%252F%252Fworkspace.fao.org%-252Fsites%252Fcodex%252FStandards%252FCXC%2B53-2003%252FCXC_053e.pdf

Ha, P.T.T., Tran, N.T.B., Tram, N.T.N. and Kha, V.H., 2020. Total phenolic, total flavonoid contents and antioxidant potential of Common Bean (Phaseolus vulgaris L.) in Vietnam. AIMS Agriculture and Food. 5(4): 635–648. 10.3934/agrfood.2020.4.635

Herrera, M., Viera, I. and Roca, M., 2022. HPLC-MS2 analysis of chlorophylls in green teas establishes differences among varieties. Molecules. 27(19): 6171. 10.3390/molecules27196171

Hubert, G.Y.J., Patel, J., Patel, N.J. and Talati, J.O., 2017. Storage of fruits and vegetables in refrigerator increase their phenolic acids but decreases the total phenolics, anthocyanins and vitamin C with subsequent loss of their antioxidant capacity. Antioxidants (Basel). 6(3): 59–77. 10.3390/antiox6030059

Jacxsens, L., Devlieghere, F., Ragaert, P., Vanneste, E. and Debevere, J., 2003. Relation between microbiological quality, metabolite production and sensory quality of equilibrium modified atmosphere packaged fresh-cut produce. International Journal of Food Microbiology. 83(3): 263–280. 10.1016/S0168-1605(02)00376-8

Kasajima, I., 2019. A review on the protocols and comparative studies of oxidative stress tolerance in rice. In: Hasanuzzaman, M., Fujita, M., Nahar, K. and Biswas, K., editors. Chapter 23. Advances in rice research for abiotic stress tolerance. United Kingdom: Woodhead Publishing. pp. 469–487. 10.1016/B978-0-12-814332-2.00023-X

Kim, H.J. and Han, M.H., 2019. The fermentation characteristics of soy yogurt with different content of d-allulose and sucrose fermented by lactic acid bacteria from Kimchi. Food Science and Biotechnology. 28(4): 1155–1161. 10.1007/s10068-019-00560-5

Kim, S.Y., 2015. Fluctuations in phenolic content and antioxidant capacity of green vegetable juices during refrigerated storage. Preventive Nutrition and Food Science. 20(3): 169–175. 10.3746/pnf.2015.20.3.169

Kusumiyati, Hadiwijaya Y., Putri, I.E., Mubarok, S. and Hamdani, J.S., 2020. Rapid and non-destructive prediction of total soluble solids of guava fruits at various storage periods using handheld near-infrared instrument. Presented at IOP Conference Series: Earth and Environmental Science, Yogyakarta, Indonesia, July 30–31. 458(1):12022. 10.1088/1755-1315/458/1/012022

Lal, S., 2014. Variation in chlorophyll and carotenoid contents in kale (Brassica oleracea) as influenced by cultivars and harvesting dates. Indian Journal of Agricultural Science. 84(10): 1178–1181.

Larrinaga, L.R., Dios, V.R.D., Fabrikov, D., Guil-Guerrero, J.L.G., Becerril, J.M., García-Plazaola, J.I. and Esteban, R. 2019., Life after harvest: circadian regulation in photosynthetic pigments of rocket leaves during supermarket storage affects the nutritional quality. Nutrients. 11(7): 1519. 10.3390/nu11071519

Lee, J.H., Soh, S.Y., Kim, H.J. and Nam, S.Y., 2022. Effects of LED light quality on the growth and leaf color of Orostachys japonica and O. boehmeri. Journal of Bio-Environmental Control. 31(2): 104–113. 10.12791/KSBEC.2022.31.2.104

Leveau, J.H. and Lindow, S.E., 2001. Predictive and interpretive simulation of green fluorescent protein expression in reporter bacteria. Journal of Bacteriology. 183(23): 6752–6762. 10.1128/JB.183.23.6752-6762.2001

Li, Y., He, N., Hou, J., Xu, L., Liu, C., Zhang, J., Wang, Q., Zhang, X. and Wu, X., 2018. Factors influencing leaf chlorophyll content in natural forests at the biome scale. Frontiers in Ecological Evolution. 6: 1–10. 10.3389/fevo.2018.00064

Mei, S., Yu, Z., Chen, J., Zheng, P., Sun, B. and Guo, J., 2022. The physiology of postharvest tea (Camellia sinensis) leaves, according to metabolic phenotypes and gene expression analysis. Molecules. 27(5): 1708. 10.3390/molecules27051708

Mongkontanawat, N. and Lertnimitmongkol, W., 2015. Product development of sweet fermented rice (Khao-Mak) from germinated native black glutinous rice. Journal of Advances in Agricultural Technology. 11(2): 501–515.

Mulaosmanovic, E., Lindblom, T.U.T., Windstam, S.T., Bengtsson, M., Rosberg, A.K., Morgren, L. and Alsuius, B.W., 2021. Processing of leafy vegetables matters: damage and microbial community structure from field to bag. Food Control. 125(2): 107894. 10.1046/j.foodcont.2021.107894

Munteanu, I.G. and Apetriel, C., 2021. Analytical method used in determining antioxidant activity: a review. International Journal of Molecular Science. 22(7): 3380. 10.3390/ijms22073380

Pongsetkul, J., Benjakul, S. and Boonchuen, P., 2023. Bacillus subtilis K-C3 as potential starter to improve nutritional components and quality of shrimp paste and corresponding changes during storage at two alternative temperatures. Fermentation. 9(2): 107. 10.3390/fermentation9020107

Pratyusha, S., 2021. Phenolic compounds in the plant development and defense: an overview. In: Hasanuzzaman, M. and Nahar, K., editors. Plant stress physiology. London, UK: IntechOpen Limited, pp. 1–17. 10.5772/intechopen.102873

Sarker, U., Oba, S. and Daramy, M.A., 2020. Nutrients, minerals, antioxidant pigments and phytochemicals, and antioxidant capacity of the leaves of stem amaranth. Scientific Reports. 10: 3892. 10.1038/s41598-020-60252-7

Singleton, V.L. and Rossi, J.A., 1965. Colorimetry of total phenolics with phosphomolybdic-phosphotungstic acid reagents. American Journal of Enology and Viticulture. 16: 144–158.

Srisook, K., Jinda, S. and Srisook, E., 2021. Anti-inflammatory and antioxidant effects of Pluchea Indica leaf extract in TNF-α-Induced human endothelial cells. Wilailak Journal of Science & Technology. 18(10): 10271. 10.48048/wjst.2021.10271

Suksanga, A., Siripongvutikorn, S., Yupanqui, C.T. and Leelawattana, R., 2022. The potential antidiabetic properties of Liang (Gnetum gnemon var. tenerum). Food Science and Technology (Campinas). 42: e64522. 10.1590/fst.64522

Thakulla, D., Dunn, B., Hu, B., Goad, C. and Maness, N. 2021. Nutrient solution temperature affects growth and brix parameters of seventeen lettuce cultivars grown in an NFT hydroponic system. Horticulturae. 7(9): 321. 10.3390/horticulturae7090321

Toro, G. and Manuel, P., 2015. Plant respiration under low oxygen. Chilean Journal of Agricultural Research. 75 supl.1: 57–70.

Wazir, D., Ahmad, S., Muse, R., Mahmood, M. and Shukor, Y., 2011. Antioxidant activities of different parts of Gnetum gnemon L. Journal of Plant Biochemistry and Biotechnology. 20(2): 234–240. 10.1007/s13562-011-0051-8

Yeo, J. and Shahidi, F., 2019. Critical re-evaluation of DPPH assay: presence of pigments affects the results. Journal of Agriculture and Food Chemistry. 67(26): 7526–7529. 10.1021/acs.jafc.9b02462

Zhang, T.J., Zheng, J., Yu, Z.C., Huang, X.D., Zhang, Q.L., Tian, X.S. and Peng, C.L., 2018. Functional characteristics of phenolic compounds accumulated in young leaves of two subtropical forest tree species of different successional stages. Tree Physiology. 38(10): 1486–1501. 10.1093/treephys/tpy030

Zhang, W.E., Wang, C.L., Shi, B.B. and Pan, X.J., 2017. Effect of storage temperature and time on the nutritional quality of walnut male inflorescences. Journal of Food and Drug Analysis. 25(2): 374–384. 10.1016/j.jfda.2016.05.010

Zoecklein, B.W., Fugelsang, K.C. and Gump, B.H., 2010. Practical methods of measuring grape quality. In: Reynolds, A.G., editor. Chapter 4. Managing wine quality: viticulture and wine quality. London, UK: CRC Press Inc. pp. 107–133.