1College of Food and Bioengineering, Zhengzhou University of Light Industry, Zhengzhou, China;
2Technology Center, China Tobacco Henan Industrial Co. Ltd., Zhengzhou, China
In this study, the release behavior and kinetic characteristics of eugenol from clove particles under different temperatures were investigated by using purge and trap and gas chromatography–mass spectrometry (P&T–GC-MS) method. The results showed that the established P&T–GC-MS method could efficiently determine eugenol content in clove particles. The high temperature could promote the release of eugenol in the early stages of heating, while low temperature delayed the time to reach the maximum ratio. Kinetic analysis showed that the release behavior of eugenol at different temperatures was consistent with the first-order release model. The release activation energy for eugenol was calculated as 58.29 kJ/mol by using the Arrhenius equation.
Key words: clove, eugenol, kinetic equation, P&T–GC-MS, release behavior
*Corresponding Authors: Kejing Xu and Jinchu Yang, Technology Center, China Tobacco Henan Industrial Co. Ltd., Zhengzhou 450000, China. Emails: kjxu_hnzy@163.com; yjinchu@163.com
Received: 1 June 2023; Accepted: 5 September 2023; Published: 24 October 2023
© 2023 Codon Publications
This is an Open Access article distributed under the terms of the Creative Commons Attribution-NonCommercial-ShareAlike 4.0 International (CC BY-NC-SA 4.0). License (http://creativecommons.org/licenses/by-nc-sa/4.0/)
Clove is a genus of the family Myrtle, with high production as a natural spice in Madagascar, Indonesia, and China (Golmakani et al., 2017; Guan et al., 2006; Nabor et al., 2021). Clove is rich in a number of bioactive compounds, and eugenol is its major constituent with a content of about 4–14% (Ahmed et al., 2017; Irovetz et al., 2006; Neveu et al., 2010; Yun et al., 2010). Eugenol possesses a distinctive aroma, good antibacterial (Moemenbellah-Fard et al., 2020), anti-carcinogenic (Yassin et al., 2020), antioxidant (Sueishi and Nii, 2019), anti-inflammatory (Esmaeili et al., 2016), and anthelmintic properties (El Ghannam et al., 2023). Therefore, eugenol extracts from cloves are used extensively in food processing, primarily as a flavoring agent, preservative, and bactericide (Taleuzzaman et al., 2021; Yasuhiko and Fujii, 2011).
In general, the extracted volatile aroma compounds used in foods typically have a significant impact on the sensory quality of foods (Zhu et al., 2022). Especially, the release behavior of added volatile aromatics from the solid phase to the gas phase in foods can significantly affect the consumer’s perception of the corresponding food (Tamaru et al., 2019).
In recent years, eugenol has been widely used in foods as an additive to increase the quality of the product. Recent eugenol-related studies have focused on its identification, antioxidant activity, and bacteriostatic properties in foods (Dehkordi et al., 2019; Gürbüz and İrem, 2022; Orlo et al., 2021). For instance, Konteles et al. (2022) used extracts of clove, sideritis, and roselle to prepare a functional drink enriched in flavor and prolonged shelf life. Shan et al. (2011) reported that clove extracts exhibited the highest antioxidant activity and bacteriostatic properties in cheese, compared to cinnamon, pomegranate peel, grape seed, and oregano extracts. Moneera (2022) reported that adding clove particles to cookies improved physicochemical, nutritional, biological characteristics as well as storage stability.
However, less attention has been paid to the release behavior of the characteristic aroma compounds in extracts, especially that of eugenol found in clove particles. In general, the extracted aroma compounds exhibit low thermal stability and result in rapid release properties, which could be an important consideration during their application in final products (Zanin et al., 2020). Consequently, investigation of the release behavior of characteristic aroma components found in spice plant particles or corresponding food could help to guide and control the production process.
Purge and trap (P&T) is a dynamic headspace technique that possesses the advantages of easy operation and high sensitivity for the analysis of volatile compounds in different substrates (Kanavouras et al., 2005). For this reason, this technique has been widely applied in the qualitative and quantitative analysis of volatiles in foods combined with gas chromatography–mass spectrometry (GC-MS) (Jing et al., 2019; Sevindik et al., 2019). For example, Fredes et al. (2016) established a P&T–GC-MS method for the qualitative and quantitative analysis of aroma constituents in melons and watermelons, which validated the feasibility of this method on the basis of the 12 most abundant volatile compounds presented in melon. Shen et al. (2017) used P&T–GC-MS to analyze comparative differences in the types and content of aroma constituents in different forsythia varieties. Tamaru et al. (2019) employed the P&T–GC-MS method to determine the release proportion of aroma components from rapeseed oil, which demonstrated that the octanol-air partition coefficient could be used effectively to predict the release behavior of aroma components from essential oils. In addition, our research established a method to study the release kinetics behavior of limonene from orange peels by using the P&T–GC-MS technique, and a first-order release model could be used to describe the release behavior of limonene at different purge temperatures (Huang et al., 2017). These results motivated us to investigate the release behavior of another characteristic flavor of volatile compound in clove plant.
Herein, the determination method for eugenol in cloves was established through the P&T–GC-MS technique. The method was optimized in terms of purge flow rate, time and temperature, desorption time, and temperature. Then the release behavior of eugenol from clove samples was investigated under different conditions. Three typical release kinetic models were employed to describe the release process of eugenol to obtain the best kinetic parameters that would describe the release of eugenol from clove samples. This study provides a reference for controlling the release characteristic of aroma components from clove, and would help to broaden its application in food and related fields.
Clove was purchased from Changbai Mountain, Jilin, China; eugenol was purchased from J&K Scientific (>98%). Dried cloves were selected and crushed (ground) using a pulverizer to yield 0.15–0.30-mm clove particles. Subsequently, 0.5-g clove granules were weighed and put into a 500-mL conical flask with 300-mL deionized water and extracted by ultrasonication. The ultrasonic extraction conditions were as follows: power: 400 w, time: 30 min, and temperature: 25°C. The samples were stored in a refrigerator at 4°C before the experiment.
For the purge and trap method, 10-mL clove particle extract was placed in a 40-mL headspace vial containing a clean magnetic stirring bar. The headspace vial was immediately closed with PTFE silicone septa (Supelco, Bellefonte PA, US). Subsequently, the 40-mL headspace vial was placed into a purge and trap (Tekmar ASX-7200HR), connected to the GC-MS spectrometer. Prior to beginning the purge process, the sample was heated to a preselected temperature (from 25°C to 70°C) and maintained at that temperature for 1 min (preheat time to reach equilibrium). During purge time, the mixture was agitated magnetically. The sample was then purged with 40 mL/min helium for 33 min at a set purge temperature of 70°C. The volatile organic compounds were absorbed into a trap maintained at 25°C. After sample loading, the trapped sample components were desorbed at 240°C for 2 min, baked at 260°C for 2 min, and transferred directly to the GC-MS system.
The identification of eugenol in the sample was conducted by GC-MS analysis, for which an HP-5, 60 m × 0.25 mm, and 0.25-μm thick column (Agilent GC 7890B--MS 5977B; Agilent Technologies, US) was used. The column was equipped with a mass selective electron impact ion (EI) source detector (NIST17; National Institute of Standards and Technology Mass Spectral Library, MD, US). The EI operating conditions were as follows: the analysis was performed at constant pressure mode with an inlet pressure of 20.16 psi; the oven temperature used was 40°C held for 10 min, increasing at a rate of 4°C•min-1 to reach a final temperature of 250°C, with a hold at 250°C for 20 min; ionization energy was 70 eV at a mass range (m/z amenable to analysis) of 35–400 amu in combined SCAN mode; the respective temperature of MS transfer line and EI were 280°C and 230°C.
A series of standard solution containing 0.3, 0.4, 0.5, 0.6, 0.7, 0.8, and 1.0 μg/mL of eugenol was prepared. To investigate the linearity, accuracy, recovery, and detection limits of the entire method, all samples were prepared separately in triplicate and analyzed by P&T–GC-MS. Next, the linear relationship between peak area and compound concentration was established by analyzing the samples with different concentrations. For each compound, the limit of detection (LoD) and the limit of quantification (LoQ) were estimated at a signal–to-noise ratio of 3 and 10, respectively.
The purge temperatures of P&T equipment were set as 50, 55, 60, 65, 70, 75, and 80°C. The release amount of characteristic eugenol from the trap tubes was recorded at every 1 min for a total of 50 min under different temperatures.
The release amount of eugenol from the sample at a specific time was denoted as Hn and calculated according to Equation (1):
where Hn is the total amount of released eugenol over a specific time n, and mn is the release amount of eugenol at the nth minute.
The release ratio of eugenol at a specific time was calculated according to Equation (2):
where Qn is the release ratio of eugenol in “n” minutes, Hn is the total amount of released eugenol over a specific time “n,” and H50 is the released amount of eugenol in 50 min.
The release kinetics of eugenol was analyzed by adopting three typical kinetic models based on the above-mentioned data. The three kinetic models were usually used for describing the drug release process, which exhibited a similar inherent physical mechanism as that of eugenol release. Equations used for kinetic models were zero- order release equation, the first-order release equation, and the Higuchi release equation (Equations (3)–(5); Ana et al., 2021; Yang et al., 2012):
where Q is the release ratio of eugenol from the sample (%), “t” is the release time of eugenol (min), “k” is the release-rate constant, and “a” is the nominal parameter.
To obtain the most applicable kinetic model for describing the release behavior of eugenol, the above-mentioned three models were used to fit the data of Q versus T. Equation with the highest correlation coefficient, R2, is described as an optimal model to describe the release process. In addition, the activation energy (Ea) of the release process is calculated from the Arrhenius equation (Equation 6) as follows:
where k is the release ratio constant at temperature “T,” “Ea” is the activation energy (kJ/mol), “T” is the absolute temperature of the release process (K), “R” is the molar gas constant (8.314 J•mol-1•K-1), and “A” is the pre-exponential factor.
Clove particles were analyzed to determine key aroma components. Figure 1 presents the total ion flux chromatogram (TIC) of the extract from clove particles, and the identified substances are listed in Table 1. As observed, the major aroma component in clove extract was eugenol, which represented 71.26% of the total fragrance components. Therefore, eugenol was selected as a characteristic fragrance component for optimization and release behavior analysis of the subsequent detection method.
Figure 1. The total ion chromatogram (TIC) of aroma components of clove particles in full scan-tracking mode.
Table 1. The relative content of volatile compounds in clove particles.
| No. | Retention time (min) | Chemical Abstracts Services # | Qualification | Compounds | Relative content (%) |
|---|---|---|---|---|---|
| 1. | 15.82 | 005921-82-4 | 80 | 1-Methylhexyl acetate | 0.78 |
| 2. | 16.97 | 000821-55-6 | 97 | 2-Nonanone | 0.56 |
| 3. | 17.24 | 000124-19-6 | 90 | 1-Nonanal | 0.23 |
| 4. | 18.71 | 000093-89-0 | 94 | Ethyl benzoate | 0.07 |
| 5. | 19.26 | 000119-36-8 | 96 | Methyl salicylate | 0.19 |
| 6. | 22.09 | 095910-36-4 | 91 | (-)-Isoledene | 1.25 |
| 7. | 22.13 | 000097-53-0 | 97 | Eugenol | 71.26 |
| 8. | 22.24 | 003691-11-0 | 92 | δ-Guaiene | 1.44 |
| 9. | 23.25 | 000116-04-1 | 95 | β-Humulene | 3.73 |
| 10. | 24.00 | 000087-44-5 | 96 | β-Caryophyllene | 20.48 |
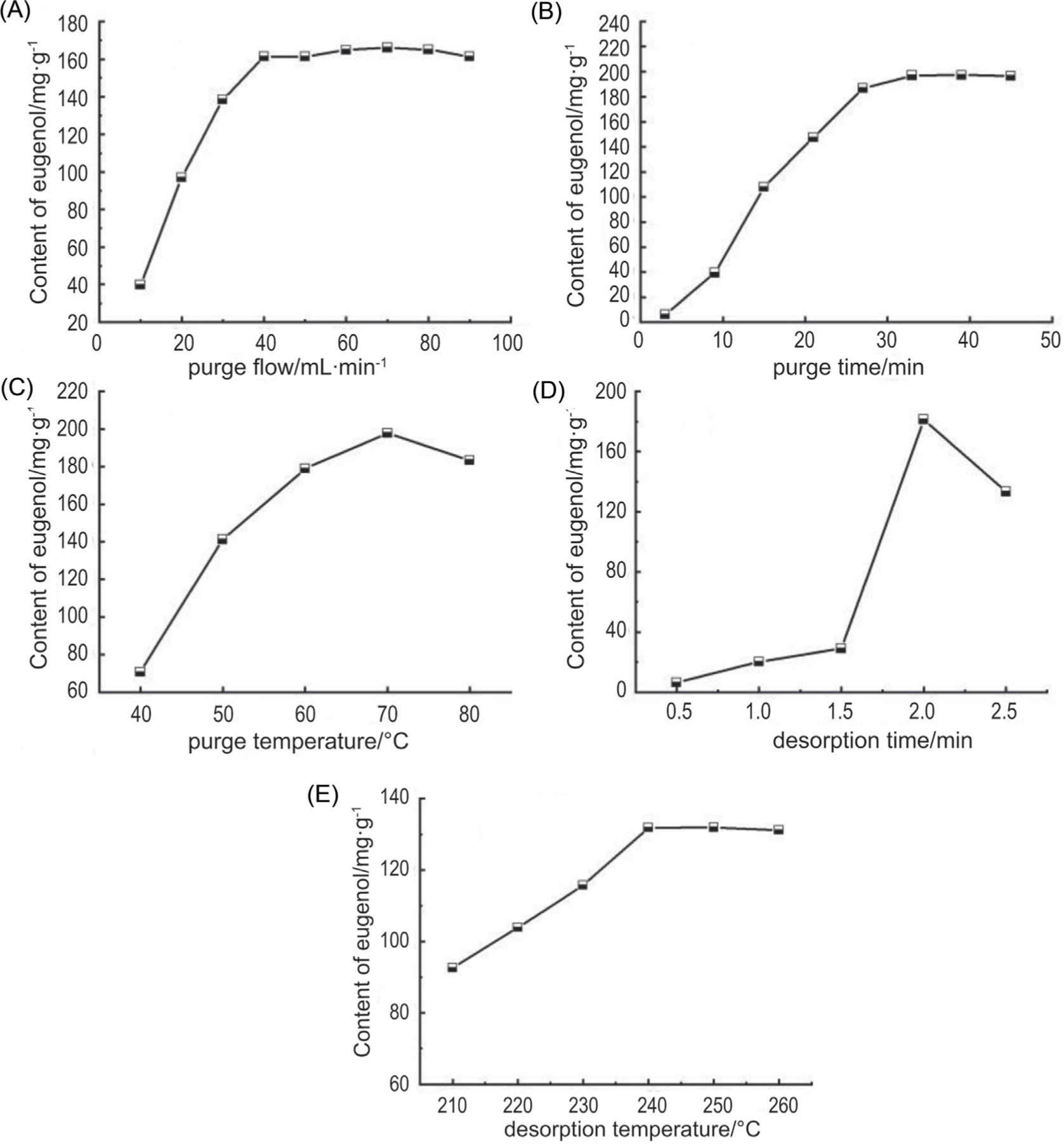
Purge and trap method is widely used to remove volatile compounds from a liquid or solid matrix by flow of an inert gas. Parameters of P&T equipment, namely purge flow rate, purge time and temperature, desorption time, and desorption temperature, were optimized to achieve a good detection efficiency. The released content of eugenol under different conditions is shown in Figure 2. As observed, the detection content of eugenol varied greatly under different P&T parameters. The purge flow rate was a key factor that affected the adsorption efficiency of eugenol and determination time (Guan et al., 2016). The detection content of eugenol exhibited an increasing trend of 161.27 mg/g under the purge flow rate of 40 mL and then remained stable.
Figure 2. The effect of (A) purge flow rate, (B) time, (C) temperature, (D) desorption time, and (E) temperature on the release of eugenol in clove sample.
Different purge time was examined to study its effect on the released content of eugenol (Figure 2B). The content of eugenol increased with purge time and maintained at a high level of 196.94 mg/g at a purge time of 33 min.
The purging temperature is an important factor affecting the release ratio and efficiency of volatile compounds from the matrix. Here the effect of purge temperature on the release of eugenol from clove particles was investigated. As shown in Figure 2C, the released content of eugenol increased from 70.65 mg/g to 197.73 mg/g with increase in purge temperature from 40°C to 70°C; however, the detection content decreased to 197.73 mg/g as the temperature continued to increase to 80°C. This indicated that excessive purge temperature was not conducive to extract volatile compounds, and 70°C could be an optimal extraction temperature.
In addition, desorption parameters are another important factors that affect the desorption of volatile compounds from captured agents. As shown in Figure 2D, the desorption time of 2 min ensured complete desorption of eugenol from matrix, and the detection content was 181.23 mg/g. The effect of desorption temperature on the extraction of eugenol is shown in Figure 2E. As observed, the maximum eugenol release content was discovered at a desorption temperature of 240°C.
A series of standard solutions at particular concentrations were analyzed by P&T–GC-MS under optimized conditions. The results showed that a linear response was obtained between eugenol concentration and the corresponding peak area. As shown in Table 2, correlation coefficient (R2) is relatively high (>0.999), demonstrating significant applicability; LoD and LoQ were 0.51 μg/mL and 1.70 μg/mL, respectively.
Table 2. Linear equation, correlation coefficient, detection limit, and quantification limit of eugenol.
| Compound | Linear equation | R2 | LoD (μg/mL) | LoQ (μg/mL) |
|---|---|---|---|---|
| Eugenol | y = 1×10-6x + 0.1240 | 0.9904 | 0.51 | 1.70 |
In order to verify the feasibility of the new strategy developed here, extraction and analysis of eugenol were performed according to the procedures described above. Table 3 shows that the mean recovery of eugenol from clove samples varied between 94.55% and 98.99%, and the accuracy varied between 0.26% and 4.74% (n = 5). These results demonstrated that the method proposed is effective and can be used for determining and analysis of the release of eugenol from clove samples.
Table 3. Recovery ratio and precision of eugenol.
| Compound | Floor value (mg/g) | Added (mg/g) | Measured value (mg/g) | Average recovery (%) | Relative Standard Deviation (%) |
|---|---|---|---|---|---|
| Eugenol | 186.56 | 93.28 | 88.19 | 94.55 | 4.02 |
| 186.56 | 184.68 | 98.99 | 4.74 | ||
| 279.84 | 267.07 | 95.44 | 0.26 |
The temperature at which the sample is located is usually considered as a major control factor for the release of volatile components. Then the effect of temperature on the release content of eugenol is investigated, assuming that other factors were constant. Figure 3A presents the curve of released amount over time at different temperatures of 50, 55, 60, 65, 70, 75, and 80°C. As observed, the release amount of eugenol continuously increased with time and reached a final of 195.89 mg/g at various temperatures. This phenomenon indicates that the characteristic eugenol could be removed from clove samples under set experimental conditions. Meanwhile, the released amount increased with temperature at a specific purge time, which was caused by the promoted Brownian motion of eugenol molecules at a high temperature (Lukasz et al., 2016).
Figure 3. Release of eugenol in clove samples at (A) different temperatures, and (B) slope of the curve.
However, the rate of release of eugenol at different temperatures exhibited some differences. Therefore, the release proportions of eugenol at every 5 min at different temperatures were calculated as shown in Figure 3B. It was observed that within the first 15 min, the release proportion of eugenol increased with temperatures basically, but after 20–35 minutes, the released proportion decreased with temperature. This phenomenon was similar to that found in the study done by Balestri et al. (2021), which indicated that the release rate of eugenol in the interior of metal-organic framework increased and then decreased with increasing temperature. In addition, as for a specific temperature, changes in release rate versus time exhibited some difference. For instance, at low temperatures of 50, 55, and 60°C, the release rate exhibited an increasing trend before 20 min but became maximum at a time interval of 15–20 minutes. For example, at 50°C, the release rate increased from 2.77 mg•g-1•min-1 to 8.44 mg•g-1•min-1 as the time interval changed from 0–5 min to 15–20 min. While at a relatively high temperatures of 65, 70, 75, and 80°C, the release rate increased rapidly at a time interval of 5–10 min. This phenomenon indicated that high temperature promoted the release of eugenol at an early stage of heating, while low temperature delayed release to reach the maximum rate. With increase in time into the later stage of heating, the release rate exhibited a general decreasing trend, especially at high temperatures. This could be attributed to the low concentration of eugenol in clove samples (Riyandari et al., 2018).
For each time step, we calculated changes in eugenol release rate as a function of temperature, as shown in Table 4 and Figure 4. It was observed that the release ratio of eugenol increased gradually with increase of purging temperature from 0 to 20 min; for example, the release ratio increased from 15.37% to 46.94% at a purging temperature increasing from 50°C to 80°C at a purging time of 10 min. The ratio of eugenol release increased slowly with increasing purge temperature between 20 min and 50 min; this could be because eugenol in clove samples was essentially released within the first 20 min. For increase in purge temperature from 20 min to 50 min, the eugenol release ratio increased slowly, which was likely due to the low mass concentration of eugenol in clove samples over the course of first 20 min. Furthermore, with increasing purge temperature, the time required to achieve the same release ratio was gradually reduced and required 30 min at a purge temperature of 50–65 °C and only 20 min at 75–80 °C when the eugenol release ratio was more than 80%.
Figure 4. The release ratio of eugenol in clove samples at different purge temperatures.
The release kinetics of eugenol under different conditions were studied by adopting three typical models, namely, the zero-order release equation, first-order release equation, and Higuchi release equation, which are usually used for the description of the drug release process. The correlation coefficients from the fitted curves under different temperatures are listed in Table 4. It can be observed that the first-order release equation exhibited the best fitting effect with the highest R2 value of 0.9511–0.9901 under the selected temperatures. Ju et al. (2020) reported that the release of eugenol from corn porous starch microcapsules also followed the first-order kinetics. This result indicated that the mass concentration of eugenol in clove samples played a key role in its release ratio and was the primary driving force behind the release process of eugenol.
Table 4. The release kinetics of the release behavior of eugenol in clove samples.
| Kinetic equation | R2 | ||||||
|---|---|---|---|---|---|---|---|
| 50°C | 55°C | 60°C | 65°C | 70°C | 75°C | 80°C | |
| Zero-order release | 0.9271 | 0.9346 | 0.9123 | 0.8607 | 0.8561 | 0.8001 | 0.7391 |
| First-order release | 0.9511 | 0.9626 | 0.9683 | 0.9900 | 0.9901 | 0.9819 | 0.9758 |
| Higuchi release | 0.9185 | 0.9409 | 0.9452 | 0.9553 | 0.9540 | 0.9234 | 0.8954 |
The first-order fitting curves and equations for the release process of eugenol at different temperatures are shown in Figure 5. The release process at the temperatures of 65–80°C can be described by using a first-order release model, compared with the temperatures of 50–60 °C. The half-life time used for describing the release amount of 50% was calculated by using the fitted equation. It can be seen in Figure 6 that half-life time decreased from 58.94 min to 9.90 min as temperature increased from 50°C to 80°C.
Figure 5. (A–G) The first-order release models fit the release of eugenol in clove samples at different temperatures.
Figure 6. The half-life of eugenol at different purging temperatures.
Arrhenius equation was used to calculate release activation energy, Ea, which represents the minimum activation energy required for proceeding of the process. Figure 7 shows the fitted plot of ln k versus 1/T. The pre-exponential factor was 2.45×104. The Ea was calculated as 58.29 kJ/mol, which was similar to that reported by Chen et al. (2012); they found that the activation energy required for the release of eugenol from soy protein isolate films was 52.40 kJ/mol.
Figure 7. The linear fitting of ln k versus 1/T for the release ratio of eugenol in clove samples.
The P&T extraction method coupled with GC-MS analysis was an effective method for determining eugenol content in clove particles, with the following optimal conditions: purge flow rate: 40 mL/min, purge temperature: 70°C, purge time: 33 min, desorption time: 2 min, and desorption temperature: 240°C. The optimization method showed satisfactory results in terms of precision and accuracy. The eugenol content at each temperature tended to rise rapidly and then slow down with increase in release time. High temperature increased the release of eugenol at the early stages of heating (<15 min), while low temperature delayed release to reach the maximum ratio. The release ratio of eugenol exhibited a general decreasing trend with increase in release time at a later stage of heating (>20 min), especially at high temperatures. Kinetic analysis showed that the release process of eugenol could be described by the first- order release model at each temperature, with R2 values ranging from 0.9511 to 0.9901. The activation energy for the release of eugenol was 58.29 kJ/mol as calculated by Arrhenius equation. The results guided toward the controlled release of flavor compounds from cloves in related foods.
This work was supported by the Research Foundation from China National Tobacco Corporation (110202101068 (XX-13)) and China Tobacco Henan Industrial Co. Ltd. (2022410001340027).
All authors contributed to the study’s conception and design. The summary is as follows: Conceptualization: Junsong Zhang and Miao Liang. Material preparation: Zeen Yang and Kejing Xu. Methodology: Miao Liang, Junsong Zhang and Jinchu Yang. Formal analysis and investigation: Zeen Yang, Xiaolong Chen, Miao Liang and Wenzhao Liu. Writing—original draft preparation: Miao Liang, Zeen Yang, Xiaolong Chen, Sensen Zhao and Yongming Xu. Funding acquisition: Junsong Zhang, Kejing Xu and Jinchu Yang. Supervision: Miao Liang and Junsong Zhang. All authors read and approved the final manuscript.
Ahmed, K.A., Ur, R.U., Rafiq, K.M., Amna, S., Tariq, M. and Muneeb, K. 2017. Essential oil eugenol: sources, extraction techniques and nutraceutical perspectives. RSC Adv. 7(52): 32669–32681. 10.1039/c7ra04803c
Ana, Ć., Đorđe, M., Bojan, Č., Vladimir, D., Milena, R., Tanja, B., Anđelija, M. and Ljiljana, D. 2021. Effect of ibuprofen entrapment procedure on physicochemical and controlled drug release performances of chitosan/xanthan gum polyelectrolyte complexes. Iny J Biol Macromol. 167: 547–558. 10.1016/j.ijbiomac.2020.11.201
Balestri, D., Mazzeo, P.P., Perrone, R., Fornari, F., Bianchi, F., Careri, M., Bacchi, A. and Pelagatti, P. 2021. Deciphering the supra-molecular organization of multiple guests inside a microporous MOF to understand their release profile (Edit). Angew Chem Int. 133(18): 10282–10290. 10.1002/ange.202017105
Chen, M., Wang, Z.W., Hu, C.Y. and Wang, J.L. 2012. Effects of temperature on release of eugenol and isoeugenol from soy protein isolate films into simulated fatty food. Package Technol Sci. 25(8): 485–492. 10.1002/pts.995
Dehkordi, N.H., Tajik, H., Moradi, M., Kousheh, S.A. and Molaei, R. 2019. Antibacterial interactions of colloid nanosilver with eugenol and food ingredients. J Food Prot. 82(10): 1873–1792. 10.4315/0362-028X.JFP-19-174
El Ghannam, M., Dar, Y., El Mehlawy, M.H., Mokhtar, F.A. and Bakr, L. 2023. Effective anthelmintic compound against foodborne parasite Trichinella spiralis muscle larvae and adult. Pathogens 12: 127. 10.3390/pathogens12010127
Esmaeili, F., Rajabnejhad, S., Partoazar, A.R., Mehr, S.E., Faridi-Majidi, R., Sahebgharani, M., Syedmoradi, L., Rajabnejhad, M.R. and Amani, A. 2016. Anti-inflammatory effects of eugenol nanoemulsion as a topical delivery system. Pharm Dev Technol. 21: 887–893. 10.3109/10837450.2015.1078353
Fredes, A., Sales, C., Barreda, M., Valcárcel, M., Roselló, S. and Beltrán, J. 2016. Quantification of prominent volatile compounds responsible for muskmelon and watermelon aroma by purge and trap extraction followed by gas chromatography–mass spectrometry determination. Food Chem. 190: 689–700. 10.1016/j.foodchem.2015.06.011
Golmakani, M.T., Zare, M. and Razzaghi, S. 2017. Eugenol enrichment of clove bud essential oil using different microwave-assisted distillation methods. Food Sci Technol Res. 23(3): 385–394. 10.3136/fstr.23.38
Guan, W., Li, S., Yan, R., Tang, S. and Quan, C. 2006. Comparison of essential oils of clove buds extracted with supercritical carbon dioxide and other three traditional extraction methods. Food Chem. 101(4): 1558–1564. 10.1016/j.foodchem.2006.04.009
Guan, W., Zhu, T., Wang, Y., Zhang, Z., Jin, Z., Wang, C. and Bai, F. 2016. Efficacy of head space solid-phase microextraction coupled to gas chromatography-mass spectrometry method for determination of the trace extracellular hydrocarbons of cyanobacteria. J Chromatogr B. 1029–1030: 113–120. 10.1016/j.jchromb.2016.06.050
Gürbüz, M. and İrem O.K.B. 2022. The anti-campylobacter activity of eugenol and its potential for poultry meat safety: a review. Food Chem. 394: 133519. 10.1016/j.foodchem.2022.133519
Huang, K., Xu, K.J., Chen, K., Liang, M., Yang, J.C. and Zhang, J.S. 2022. Analysis of the release behavior of limonene in tangerine pee based on P&T-GC/MS. J Chinese Institute Food Sci Technol. 22(05): 309–319. 10.16429/j.1009-7848.2022.05.033
Irovetz, L., Buchbauer, G., Stoilova, I., Stoyanova, A., Krastanov, A. and Schmidt, E. 2006. Chemical composition and antioxidant properties of clove leaf essential oil. J Agric Food Chem. 54(17): 6303–6307. 10.1021/jf060608c
Jing, B., Shirley, M.B., Renee, M.G.S., Naim, M. and Paul, J.S. 2019. Aroma profile characterization of mahi-mahi and tuna for determining spoilage using purge and trap gas chromatography-mass spectrometry. J Food Sci. 84(3): 481–489. 10.1111/1750-3841.14478
Ju, J., Xie, Y., Yu, H., Guo, Y., Cheng, Y., Qian, H. and Yao, W. 2020. A novel method to prolong bread shelf life: sachets containing essential oils components. LWT 131: 109744. 10.1016/j.lwt.2020.109744
Kanavouras, A., Kiritsakis, A. and Hernandez, R.J. 2005. Comparative study on volatile analysis of extra virgin olive oil by dynamic head-space and solid phase micro-extraction. Food Chem. 90(1–2): 69–79. 10.1016/j.foodchem.2004.03.025
Konteles, S.J., Strati, I.F., Giannakourou, M., Batrinou, A., Papadakis, S., Ourailoglou, D., Zoumpoulakis, P. and Sinanoglou, V.J. 2022. Instant herbal powder: functionality assessment through chemical, microbiological and shelf life kinetics. Anal Lett. 55(9): 1505–1516. 10.1080/00032719.2021.2011897
Lukasz, M., Marjorie, G.W., Santiago, R.R., Erik, H., William, T.W. and Thomas, E. 2016. Olfactory specialization for perfume collection in male orchid bees. J Exp Biol. 219(10): 1467–1475. 10.1242/jeb.136754
Moemenbellah-Fard, M.D., Abdollahi, A., Ghanbariasad, A. and Osanloo, M. 2020. Antibacterial and leishmanicidal activities of Syzygium aromaticum essential oil versus its major ingredient, eugenol. Flavour Fragr J. 35(5): 534–540. 10.1002/ffj.3595
Moneera, O.A. 2022. Physicochemical, nutritional, and sensory quality and storage stability of cookies: effect of clove powder. Int J Food Prop. 25(1): 1009–1020. 10.1080/10942912.2022.2071290
Nabor, H.J., Adolfo, C.G., Moisés, M. and Hugo, E. 2021. Clove essential oil (Syzygium aromaticum L. Myrtaceae): extraction, chemical composition, food applications, and essential bioactivity for human health. Molecules 26(21): 6387. 10.3390/molecules26216387
Neveu, V., Perez-Jiménez, J., Vos, F., Crespy, V., du Chaffaut, L., Mennen, L., Knox, C., Eisne, R., Cruz, J., Wishart, D. and Scalbert, A. 2010. Phenol-explorer: an online comprehensive database on polyphenol content in foods. Database (Oxford). 2010: bap024. 10.1093/database/bap024
Orlo, E., Russo, C., Nugnes, R., Lavorgna, M. and Isidori, M. 2021. Natural methoxyphenol compounds: antimicrobial activity against food borne pathogens and food spoilage bacteria, and role in antioxidant processes. Foods 10(8): 1807. 10.3390/foods10081807
Riyandari, B.A., Suherman, S. and Siswanta, D. 2018. The physico-mechanical properties and release kinetics of eugenol in chitosan-alginate polyelectrolyte complex films as active food packaging. Indones J Chem. 18(1). 10.22146/ijc.26525
Shan, B., Cai, Y,Z., Brooks, J.D. and Corke, H. 2011. Potential application of spice and herb extracts as natural preservatives in cheese. J Med Food. 14(3): 284–290. 10.1089/jmf.2010.0009
Shen, J., Xu, T., Shi, C., Cheng, T., Wang, J., Pan, H. and Zhang, Q. 2017. Obtainment of an intergeneric hybrid between Forsythia and Abeliophyllum. Euphytica. 213(4). 10.1007/s10681-017-1880-x
Sevindik, O., Amanpour, A., Sarhir, S.T., Kelebek, H. and Selli, S. 2019. Characterization of key odorants in Moroccan argan oil by aroma extract dilution analysis. Eur J Lipid Sci Tech. 121(5): 1800437. 10.1002/ejlt.201800437
Sueishi, Y. and Nii, R. 2019. Comparative profiling of clove extract and its component antioxidant activities against five reactive oxygen species using multiple free radical scavenging. Food Sci Technol Res. 25: 885–890. 10.3136/fstr.25.885
Taleuzzaman, M., Jain, P., Verma, R., Iqbal, Z. and Mirza, M.A. 2021. Eugenol as a potential drug candidate: a review. Curr Top Med Chem. 21: 1804–1815. 10.2174/1568026621666210701141433
Tamaru, S., Ono, A., Igura, N. and Shimoda, M. 2019. High correlation between octanol-air partition coefficient and aroma release rate from O/W emulsions under non-equilibrium. Food Res Int. 116: 883–887. 10.1016/j.foodres.2018.09.024
Yang, J., Kuang, X., Li, B., Zhou, B., Li, J., Cui, B. and Ma, M. 2012. Study on release mechanism of inhibitory components from cinnamon and clove powders. J Food Safety. 32(2): 189–197. 10.1111/j.1745-4565.2012.00367.x
Yassin, M.T., Al-Askar, A.A. and Mostafa, A.A.F. 2020. Bioactivity of Syzygium aromaticum (L.) Merr. & L.M. Perry extracts as potential antimicrobial and anticancer agents. J King Saud Univ Sci. 32: 3273–3278. 10.1016/j.jksus.2020.09.009
Yasuhiko, H. and Fujii, Y. 2011. HPLC-UV analysis of eugenol in clove and cinnamon oils after pre-column derivatization with 4-fluoro-7-nitro-2,1,3-benzoxadiazole. J Liq Chromatogr R.T. 34(1): 18–25. 10.1080/10826076.2011.534689
Yun, S.M., Lee, M.H., Lee, K.J., Ku, H.O., Son, S.W. and Joo, Y.S. 2010. Quantitative analysis of eugenol in clove extract by a validated HPLC method. J AOAC Int. 93: 1806–1810. 10.1093/jaoac/93.6.1806
Zanin, R., Smrke, S., Kurozawa, L. E., Yamashita, F., and Yeretzian, C. 2020. Novel experimental approach to study aroma release upon reconstitution of instant coffee products. Food Chem. 317: 126455. 10.1016/j.foodchem.2020.126455
Zhu, M., Hu, Z., Liang, M., Song, L., Wu, W., Li, R., Li, Z. and Zhang, J. 2022. Evaluation of the flavor compounds of Pleurotus eryngii as affected by baking temperatures using HS-SPME-GC–MS and electronic nose. J Food Process Pres. 46(11): e17056. 10.1111/jfpp.17056