Download

Original Article

Optimizing the quality of bran-fortified stewing noodles using extruded wheat bran and improvers

Yibo Li1, Guoqin Yao1, Wangyang Shen1,2,3, Zhan Wang1,2,3, Cheng Guo1,2,3, Xiwu Jia1,2,3*

1School of Food Science and Engineering, Wuhan Polytechnic University, Wuhan 430000, PR China;

2Key Laboratory for Deep Processing of Major Grain and Oil, Ministry of Education, Wuhan 430000, PR China;

3Hubei Key Laboratory for Processing and Transformation of Agricultural Products, Wuhan 430000, PR China

Abstract

Aimed to improve the tensile properties, color, and sensory quality of bran-fortified stewing noodles using bran extrusion and improvers. A single-factor experiment and Box–Behnken design response surface experiment were designed, and the multi-index comprehensive weighted scoring method was applied. The single-factor experiment indicated high-quality bran-fortified stewing noodles when wheat gluten, glucose oxidase, and guar gum contents were 10%, 40 mg/kg, and 0.3%, respectively. The response surface experiment showed that the comprehensive weighted score in the response surface optimal group was maximum (86.33 points) when wheat gluten, glucose oxidase, and guar gum contents were 5%, 40 mg/kg, and 0.2%, respectively. The verified model experiment showed that the average comprehensive weighted score was 89.31±0.49 points, indicating that the model was feasible to improve the quality of bran-fortified stewing noodles. The optimal formula involved wheat gluten, glucose oxidase, and guar gum contents of 6.67%, 28 mg/kg, and 0.22%, respectively. Bran extrusion and improvers can improve the quality of bran-fortified stewing noodles. The findings may serve as a reference for the quality improvement and industrial production of fiber-rich stewing noodles.

Key words: bran-fortified, comprehensive weighted scoring method, extruded wheat bran, sensory evaluation, stewing noodles, tensile properties

*Corresponding Author: Xiwu Jia, School of Food Science and Engineering, Wuhan Polytechnic University, Wuhan 430000, PR China. Email: jiaxiwu212@126.com

Received: 12 December 2023; Accepted: 27 February 2024; Published: 1 April 2024

DOI: 10.15586/ijfs.v36i2.2496

© 2024 Codon Publications
This is an Open Access article distributed under the terms of the Creative Commons Attribution-NonCommercial-ShareAlike 4.0 International (CC BY-NC-SA 4.0). License (http://creativecommons.org/licenses/by-nc-sa/4.0/)

Introduction

Noodles are an attractive staple food consumed widely in Asian countries, including various products (Zhang et al., 2020). Stewing noodles are popular Chinese noodles that are made from high-gluten wheat flour, salt, and water, mainly through mixing, resting, and sheeting (Li, 2016). Nowadays, noodles are deficient in dietary fiber owing to refinement processes. Consumers are becoming increasingly conscious of health issues and are thus more accepting of food products containing dietary fiber. To meet the consumer demand for convenient and healthy food products, researchers have been paying increasing attention to functional noodles that with nutritional and health-promoting qualities by adding various food materials and ingredients (Meenu et al., 2022).

Wheat bran is the main by-product of flour processing, and in the past, it was considered a low-worth ingredient and was mainly used to produce animal feed (Prückler et al., 2014). Various studies have shown that wheat bran is an excellent source of dietary fiber and contains several active components, such as vitamin E, tocopherols, and carotenoids, which can effectively prevent obesity, diabetes, cancer, cardiovascular diseases, and metabolic disorders (Katina et al., 2012; De Brier et al., 2017; Deroover et al., 2020). In order to utilize the beneficial components in wheat bran, researchers are focused on extracting the active components from wheat bran and using the extract; however, the extraction process is added to the economic cost. Therefore, many researchers turned to studying the effects of directly adding wheat bran to food during production. It was found that direct addition of wheat bran exerts a negative effect on the structure of dough and introduces many microorganisms, which can eventually reduce the palatability and storage stability of the products (Jin et al., 2021; Liu et al., 2017; Simsek et al., 2022). Research has shown that the pretreatment and processing of wheat bran allows it to be better employed in food production (Onipe et al., 2021). Extrusion is a type of modification process involving high temperature, high pressure, and high shear, which can effectively improve the physical and chemical properties of raw materials, reduce the microbial content, and enhance the quality of products (Yang et al., 2021). Gómez et al. (2011) found that extruded wheat bran modified dough rheology but did not negatively affect bread quality, and the quality of bread with bran could be improved by adding improvers. In our previous study, we found that bran extrusion decreased the lipase activity of wheat bran, improved the quality of wheat bran, and enhanced the edible quality of bran-fortified stewing noodles compared to the unextruded bran-fortified stewing noodles; however, bran-fortified stewing noodles, which were made of high-gluten flour, had issues in terms of tensile properties, color, and sensory quality (Li et al., 2022). Therefore, it was essential to continue to improve the quality of bran-fortified stewing noodles.

Wheat gluten, as a gluten fortifier, can increase the protein content in dough and enhance the extensibility of dough; furthermore, appropriate addition can improve the tensile properties of noodles (Day et al., 2006). It has been shown that a moderate content of wheat gluten improved the extensibility of dough and that the breaking strength of cooked noodles increased when the wheat gluten content was 2%–4% (Fan et al., 2021; Thanushree et al., 2022). Glucose oxidase is a safe and effective enzyme that can promote the formation of the gluten network structure and improve the lightness of flour products (Bonet et al., 2006). It has been shown to cause the oxidation of free sulfhydryl units in gluten proteins and promote the formation of disulfide linkages (Niu et al., 2017). Guar gum is an edible polysaccharide compound and hydrophilic colloid extracted from guar bean. When the guar gum content in the dough was 0.2%–0.4%, the tensile strength of the dough increased, the surface smoothness of the noodles improved, and the resistance to cooking increased (Mudgil et al., 2014).

In a previous study and preliminary experiment, we found that the breaking distance of stewing noodles with 4% extruded wheat bran did not differ from that of controlled noodles (Li et al., 2022). To increase the dietary fiber content in bran-fortified stewing noodles and improve the quality of bran-fortified stewing noodles, in this study, we increased the amount of extruded wheat bran to 6% and selected wheat gluten, glucose oxidase, and guar gum as noodle quality improvers. Through these changes, we aimed to improve the tensile properties, color, and sensory quality of bran-fortified stewing noodles, thereby guiding the quality improvement and industrial production of bran-fortified stewing noodles.

Materials and Methods

Materials

High-gluten wheat flour (Yihai Kerry Food Co., Ltd., Wuhan, China) and iodized refined salt (Hubei Salt Industry Group Co., Ltd., Shanghai, China) were obtained from a local supermarket in Wuhan, China. Wheat bran (Fengqingyuan Cereals and Oils Group Co., Ltd., Hubei, China) was obtained from the manufacturer. Wheat gluten, glucose oxidase, and guar gum, which were used as improvers, were purchased from the company (Henan Wanbang Chemical Technology Co., Ltd., Zhengzhou, China).

Extrusion of wheat bran

Wheat bran was extruded using a twin-screw extruder (model FMHE-24; Hunan Fumach Foodstuff Engineering Technology Co., Ltd., Hunan, China). The wheat bran was fed at a rate of 17 kg/h with a water content of 17%, and the screw speed was set at 160 rpm. The temperatures in the five barrel-heating zones of the extruder were maintained at 60°C, 90°C, 120°C, 140°C, and 130°C, respectively. After extrusion, the extrudate was dried in an oven (model DHG-9240A; Shanghai Jinghong Laboratory Equipment Co., Ltd., Shanghai, China) at 40°C for 24 h and then cooled to room temperature (25°C). Finally, both extruded and nonextruded wheat bran were milled in a multifunctional crusher (model YB-700B; Yongkang Boou Hardware Products Co., Ltd., Yongkang, China) and passed through an 80-mesh sieve (Jinan Saixin Machinery Co., Ltd., Jian, China).

Preparation of bran-fortified stewing noodles

A previous study found no noticeable difference in the breaking distance between stewing noodles fortified with 4% extruded wheat bran and controlled samples (Li et al., 2022). In addition, it was found that adding 6% extruded wheat bran significantly reduced the breaking distance of the stewing noodles. Therefore, the amount of extruded wheat bran was 6%, and we attempted to improve the quality. We replaced 6% (by weight) of the high-gluten flour with extruded wheat bran. Preliminary experiments were carried out to determine the suitable addition ranges of the three improvers. To prepare the noodles, 300 g of mixed flour was poured into an automatic mixer (model SPI-11; VMI, Montaigu-Vendée, France), and then 153 g of water with 6 g of salt (after the salt was fully dissolved in water and it was added in the form of brine) was added while stirring. The ingredients were mixed at a constant speed (100 rpm) for 10 min. Subsequently, the dough was shaped into cylindrical strips (diameter, 25 mm; height, 20 mm) of about 30 g each. For the first proofing, cylinders were wrapped in plastic and left to rest. This resting and each subsequent resting were carried out at 30°C for 30 min. The proofed dough was rolled five times with a roller spacing of 5 mm. After the rolled dough sheets rested for the second time, they were rolled again five times with a roller spacing of 3 mm. After the third resting, the dough sheets were wrapped with plastic wrap for use.

Tensile properties

The tensile properties of raw stewing noodles were determined using a texture analyzer (model TA-XT Plus; Stable Micro Systems Ltd., London, UK). The tensile properties after stretching were determined by the complete breakage distance and tensile strength of the samples. We used the prepared samples directly to measure the tensile properties of raw stewing noodles. Each dough sheet was shaped into a rectangle measuring 5.0 cm × 1.5 cm (allowing for no more than 0.1 g variation in sample weight). The A/SPR probe was used with pretest and test speeds of 1 mm/s and a posttest speed of 10 mm/s. Samples were stretched to 180 mm to ensure that they were completely broken. Measurements were repeated at least five times for each sample.

Color measurement

The lightness (L*), red-green chromaticity (a*), and yellow-blue chromaticity (b*) of raw stewing noodles were measured with a chroma meter (model CS-10; Hangzhou Caipu Technology Co., Ltd., Zhejiang, China). The upper, middle, and lower areas of each sample were used as test positions, and three measurements were obtained at each test position in each sample. The total color difference, ΔE, was calculated using Eq. (1) as follows:

ΔE=100L*2+a*2+b2 1

Sensory evaluation

For sensory evaluation, the raw dough sheets were pressed to a length of 10 cm, width of 1.5 cm, and thickness of 1.2 mm; cooked for the optimal cooking time; and rinsed under running water (temperature, 20°C) for 10 s (excess water on the noodle surface was absorbed with filter paper). Measurements were carried out, starting precisely 10 min after cooking was completed. The sensory quality of the cooked stewing noodles was evaluated by a trained sensory panel (5 females and 5 males) according to China’s National Food Safety Standards (China National Standardization Administration, 2018).

Experimental design

The types and addition ranges of improvers were determined through a preliminary experiment. The improvers were wheat gluten (5%–20%), glucose oxidase (20–80 mg/kg), and guar gum (0.1%–0.4%). First, the optimum levels of the three types of improvers were determined in a single-factor experiment, taking the tensile properties, color, and sensory score of bran-fortified stewing noodles as evaluation indexes. Based on the single-factor experiment, combinations of improvers were made in a Box–Behnken design response surface experiment for three variables and levels, each with five center point combinations. The breaking distance, lightness, and sensory score of bran-fortified stewing noodles were weighted by the comprehensive weighted scoring method, and the comprehensive weighted scores were taken as the response values.

Comprehensive weighted scoring method

The comprehensive weighted scoring method (Lu, 2017) is a method to determine the weight of each test index according to its importance and convert the results of a multi-index test into the results of a single-index test to perform comprehensive optimization of the scheme. This method can consider subjective preferences and objective information by combining the subjective weighting method and objective weighting method, which can not only avoid the subjective arbitrariness caused by the evaluators’ subjective cognition of the importance of various indicators but also avoid reflecting objective information only by experimental indicators.

Determination of the standardized evaluation matrix

We assumed the multi-index experiment had n schemes and m test indexes, denoted as I = {1, 2, ..., n} and J = {1, 2, ..., m}, respectively. The experimental value of experimental scheme i for index j was xij (i = 1,2... n; j = 1,2... m), and the matrix X = (xij)n×m was referred to as the evaluation matrix, which the scheme set to the index set. In order to unify the trend requirements of each index and eliminate the dimensional problems among each index, it was necessary to standardize the evaluation matrix X.

We considered I1 = {the smaller, the better index}, I2 = {the larger, the better index}, and I3 = {index required to be stable at some ideal value}, where I was composed of I1, I2, and I3, and any two parts had no intersection at all. When the larger comprehensive weighted score was considered the criterion, the index was treated according to Eq. (2), and xj* was the ideal value of index j. On the contrary, when the smaller comprehensive weighted score was considered the criterion, only the minus sign must be added when calculating according to Eq. (2).

Yij=Xij,jI1Xij,jI2XijXj*,jI3 3

We then unified the order of magnitude of indicators and eliminated dimensions according to Eq. (3), and the evaluation matrix after standardization was denoted as Z = (zij)nm.

Zij=100×YijYjminYjmaxYjmin 3

where Yjmax= max {yij|i= 1,2,...,n} and Yjmin = min {yij|i= 1,2,...,n}.

Determination of subjective weight

According to the frequency statistics method, the subjective weights of each test index were determined as follows: α = (α1, α2, …, αm) T, where j=1mαj,αj0j=1,2,,m.

Determination of objective weight

According to the entropy method, the objective weights of each test index were determined as follows: β = (β1, β2, …, βm) T, where j=1mβj=1,βj0j=1,2,,m.

hj=ln n1i=1nΡijlnΡijβj=1hjk=1n1hk

Determination of comprehensive weight

The comprehensive weight was as follows: ω = (ω1, ω2, …, ωm) T, where j=1mωj=1, ωj≥0 (j = 1, 2, …, m). ω = [µα1+(1-µ)β1, µα2+(1-µ)β2, …, µαm+(1-µ)βm] T, where 0 < µ < 1 was the preference coefficient, reflected the preference degree of subjective and objective analysis.

Statistical analysis and image data processing

All tests and treatments were performed in triplicate unless otherwise stated. Data obtained were analyzed by using standard statistical software (Excel 2016; Microsoft Corp., Redmond, WA and IBM SPSS version 26; IBM Corp., Armonk, NY). The significance level was set at p < 0.05. OriginPro version 9.0 (OriginLab Corporation, Northampton, MA) was used for image processing.

After conducting the response surface experiments, the data were fitted with a second-order polynomial equation as follows:

Y=λ0+λ1A+λ2B++λ3C+λ12AB+λ13AC+λ23BC+λ11A2+λ22B2+λ33C2 4

where Y is the predicted response; A, B, and C are the code values of the factors; λ0 is the mean value of responses at the central points of the experiment; and λi (λ1, λ2, λ3), λii (λ11, λ22, λ33), and λij (λ12, λ13, λ23) are the linear, quadratic, and interaction coefficients, respectively. The design of the experiments, analysis of the results, and prediction of the responses were carried out with Design-Expert software (version 8.0.6; Stat-Ease, Minneapolis, MN). The suitability of the response surface model was assessed with variance analysis, correlation coefficients of determination (R2) analysis, and correction determination coefficient (RAdj2) analysis.

Results and Discussion

Effect of wheat gluten, glucose oxidase, and guar gum on the quality of bran-fortified stewing noodles

Effect of wheat gluten, glucose oxidase, and guar gum on the tensile properties of bran-fortified stewing noodles

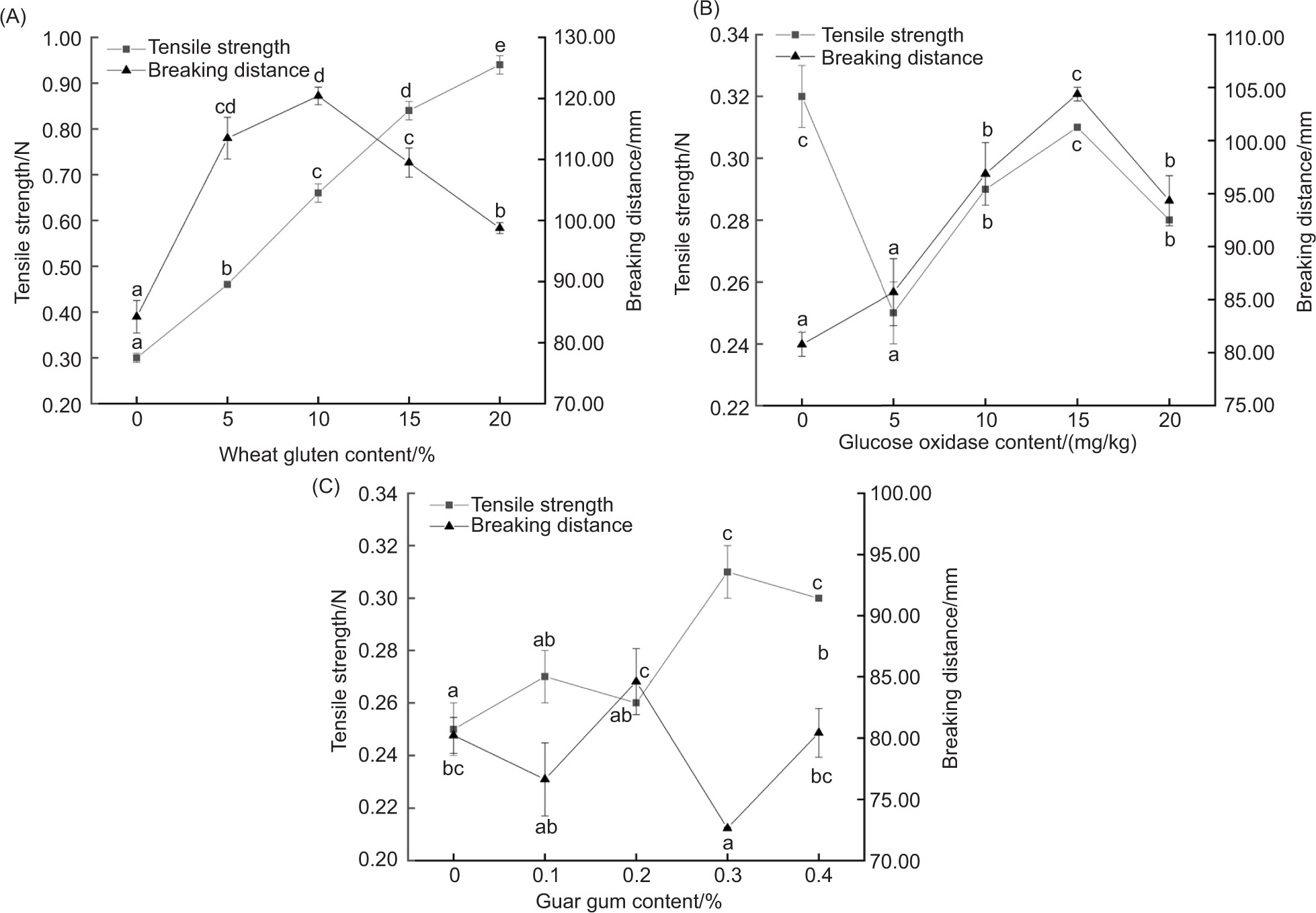
The tensile properties of stewing noodles are the important indexes during processing. The effect of wheat gluten content on the tensile properties of bran-fortified stewing noodles is shown in Figure 1A. With increased wheat gluten content, the tensile strength of bran-fortified stewing noodles increased continuously. Owing to the high content of alcohol-soluble protein and glutelin in wheat gluten, the content and strength of gluten increased with the addition of wheat gluten, which correspondingly increased the tensile strength of bran-fortified stewing noodles (Fan et al., 2021). It was observed that the breaking distance of bran-fortified stewing noodles primarily increased and then decreased. This is because a small amount of wheat gluten supplements gluten protein in bran-fortified stewing noodles and promotes the formation of the gluten network structure, improving the tensile properties of stewing noodles. However, excessive wheat gluten results in high-gluten strength and low extensibility, making bran-fortified stewing noodles difficult to stretch and more likely to break, as shown by the reduction in the breaking distance. Moreover, the breaking distance of bran-fortified stewing noodles reached the maximum value when the wheat gluten content was 10%.

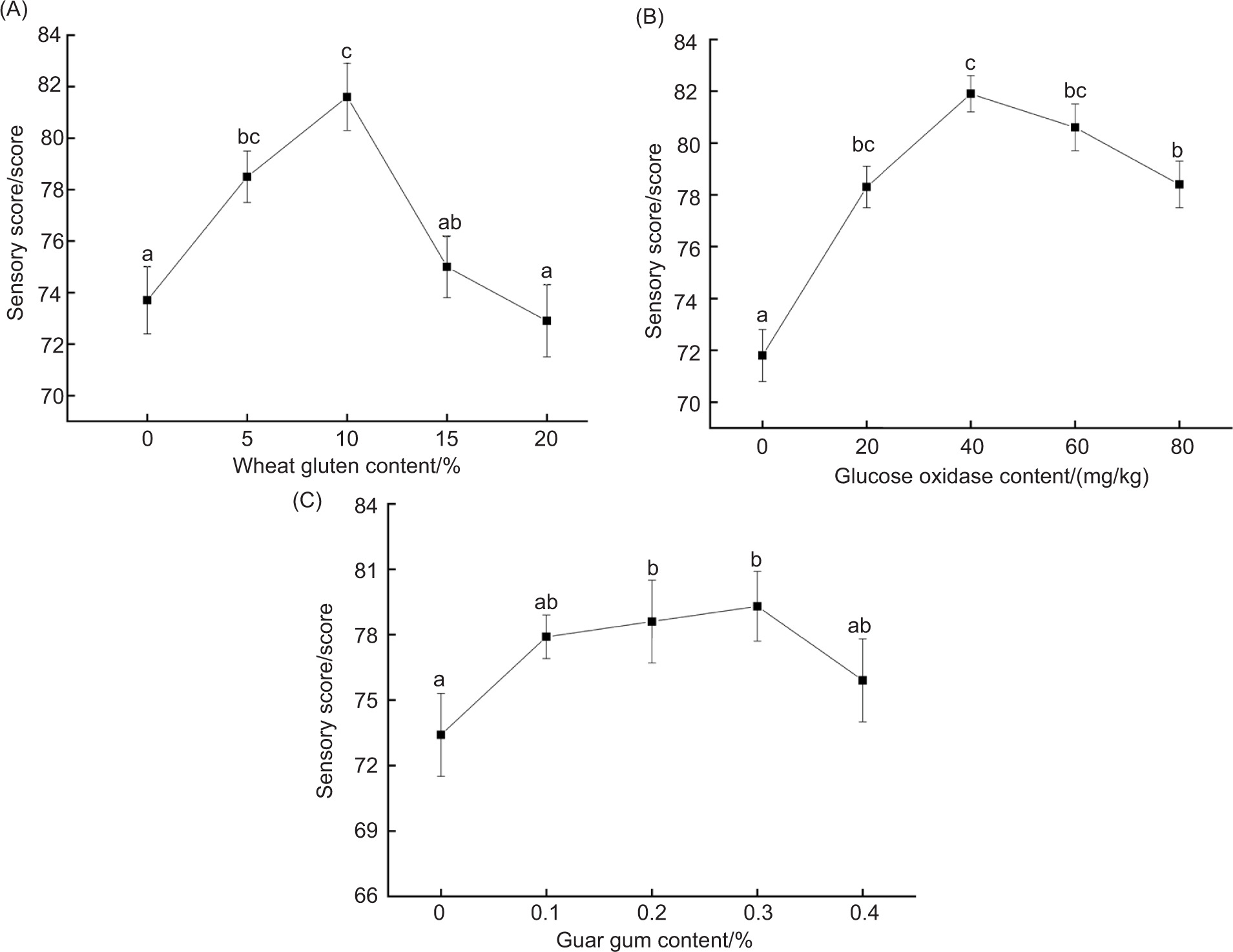
Figure 1. Effect of wheat gluten content (A), glucose oxidase content (B), and guar gum content (C) on the tensile properties of bran-fortified stewing noodles. Different letters on the trend line indicate significant differences (p < 0.05).

The effect of glucose oxidase content on the tensile properties of bran-fortified stewing noodles is shown in Figure 1B. With increased glucose oxidase content, the tensile strength of bran-fortified stewing noodles decreased first. Then, it increased, and further addition of glucose oxidase reduced the tensile strength of bran-fortified stewing noodles. The breaking distance had a similar trend as observed with tensile strength. Glucose oxidase can oxidize -SH in gluten protein into S-S, promoting cross-linking between gluten proteins and increasing the breaking distance (Garcia et al., 2004). However, excessive glucose oxidase can destroy the rigid structure of noodles and make them brittle, thus weakening the tensile properties (Niu et al., 2017). Moreover, the breaking distance of bran-fortified stewing noodles reached the maximum value when the glucose oxidase content was 60 mg/kg.

The effect of guar gum content on the tensile properties of bran-fortified stewing noodles is shown in Figure 1C. The tensile strength of bran-fortified stewing noodles showed an overall increasing trend with an increase in guar gum content, while the changing trend of breaking distance had no obvious rule. Owing to the hydrophilic effect of guar gum, the bond between gluten and starch granules became closer, and the gluten network structure improved, which led to a high tensile strength of bran-fortified stewing noodles (Achayuthakan & Suphantharika, 2008). Moreover, the breaking distance of bran-fortified stewing noodles reached the maximum value when the guar gum content was 0.2%.

Effect of wheat gluten, glucose oxidase, and guar gum on the sensory score of bran-fortified stewing noodles

The effect of wheat gluten content on the sensory score of bran-fortified stewing noodles is shown in Figure 2A. It was observed that the sensory score of bran-fortified stewing noodles primarily increased and then decreased with an increase in wheat gluten content. The correct amount of wheat gluten could improve the apparent state, texture, and other qualities of cooked bran-fortified stewing noodles, as wheat gluten can improve the structure of the noodles and prevent the release of solid materials into the cooking water (Thanushree et al., 2022). Moreover, when the wheat gluten content reached 10%, bran-fortified stewing noodles had the highest sensory score. However, when the wheat gluten content exceeded 10%, the color of bran-fortified stewing noodles became gray, the chewiness increased, and the sensory score decreased significantly.

Figure 2. Effect of wheat gluten content (A), glucose oxidase content (B), and guar gum content (C) on the sensory score of bran-fortified stewing noodles. Different letters on the trend line indicate significant differences (p < 0.05).

The effect of glucose oxidase content on the sensory score of bran-fortified stewing noodles is shown in Figure 2B. It was observed that the sensory score of bran-fortified stewing noodles primarily increased and then decreased with increased glucose oxidase content. This might be because glucose oxidase converts the glucose in flour to hydrogen peroxide under aerobic conditions, which oxidizes natural pigments such as carotene and yellow pigments in noodles, thus improving the color of noodles (Khatami et al., 2021). At the same time, hydrogen peroxide can oxidize the S-H in gluten into S-S, promoting the formation of a dense gluten network structure and improving the surface status of bran-fortified stewing noodles. However, excessive glucose oxidase can reduce bran-fortified stewing noodles’ lightness and sensory quality. The maximum sensory score of bran-fortified stewing noodles was achieved when the glucose oxidase content was 40 mg/kg.

The effect of guar gum content on the sensory score of bran-fortified stewing noodles is shown in Figure 2C. With increased guar gum content, the sensory score of bran-fortified stewing noodles primarily increased and then decreased. The correct amount of guar gum improved the quality of bran-fortified stewing noodles. However, excessive guar gum reduced the lightness of bran-fortified stewing noodles and the sensory quality of cooked noodles. Moreover, when the guar gum content was 0.3%, bran-fortified stewing noodles had the highest sensory score.

Effect of wheat gluten, glucose oxidase, and guar gum on the color of bran-fortified stewing noodles

The effect of wheat gluten, glucose oxidase, and guar gum on the color of bran-fortified stewing noodles is shown in Table 1. The L value of bran-fortified stewing noodles gradually decreased with increased wheat gluten content, while the b* and ΔE values gradually increased. The decrease in the L value was attributed to the increase in protein content in noodles with the increase in gluten content, which made the gluten network structure denser and reduced the reflected light (Wardhana & Banawi, 2020). A comprehensive analysis of the effects of wheat gluten on the tensile properties, color, and sensory score of bran-fortified stewing noodles showed that the noodles were of high quality when the wheat gluten content was 10%.

Table 1. Effect of wheat gluten, glucose oxidase, and guar gum on the color of bran-fortified stewing noodles.

Improvers Content L a* b* ΔE
Wheat gluten 0% 72.61 ± 0.12a 2.79 ± 0.02b 21.62 ± 0.06d 35.01 ± 0.10e
5% 70.31 ± 0.19b 2.38 ± 0.03c 21.82 ± 0.06d 36.93 ± 0.18d
10% 69.77 ± 0.19b 2.68 ± 0.06b 22.62 ± 0.13c 37.85 ± 0.11c
15% 68.60 ± 0.23c 2.78 ± 0.04b 23.07 ± 0.20b 39.07 ± 0.20b
20% 67.16 ± 0.43d 3.04 ± 0.07a 24.18 ± 0.22a 40.92 ± 0.24a
Glucose oxidase 0 mg/kg 72.61 ± 0.12ab 2.79 ± 0.02a 21.62 ± 0.06c 35.01 ± 0.10c
20 mg/kg 73.55 ± 0.36bc 2.83 ± 0.0a 20.95 ± 0.13a 33.87 ± 0.27a
40 mg/kg 74.57 ± 0.46d 2.92 ± 0.07a 21.11 ± 0.06ab 33.19 ± 0.36a
60 mg/kg 74.10 ± 0.23cd 2.92 ± 0.07a 21.10 ± 0.11ab 33.54 ± 0.14ab
80 mg/kg 73.67 ± 0.18ab 3.05 ± 0.07a 21.57 ± 0.09b 34.18 ± 0.10bc
Guar gum 0% 72.63 ± 0.17ab 2.66 ± 0.05a 20.64 ± 0.08b 34.38 ± 0.16b
0.1% 73.00 ± 0.11bc 2.56 ± 0.05a 20.24 ± 0.08a 33.84 ± 0.09a
0.2% 72.40 ± 0.14a 2.56 ± 0.05a 20.28 ± 0.10a 34.34 ± 0.16b
0.3% 73.27 ± 0.17c 2.58 ± 0.03a 20.10 ± 0.06a 33.54 ± 0.14a
0.4% 72.39 ± 0.15a 2.68 ± 0.05a 20.70 ± 0.12b 34.62 ± 0.17b

Data were presented as mean ± standard error. Values in the same column with different letters indicate significant differences (p< 0.05).

With an increase in glucose oxidase content, the L value of bran-fortified stewing noodles showed a trend of first increasing and then decreasing, the ΔE value showed a trend of first decreasing and then increasing, and the b* value decreased significantly. (p < 0.05). This might be because glucose oxidase converts the glucose in flour to hydrogen peroxide, which oxidizes the yellow pigment in flour, increasing the L value and decreasing the b* value of bran-fortified stewing noodles (Wu et al., 2022). When the glucose oxidase content reached 40 mg/kg, the L value was the highest, the ΔE value was the lowest, and the b* value was reduced. A comprehensive analysis of the effects of glucose oxidase on the tensile properties, color, and sensory score of bran-fortified stewing noodles showed that the noodles were of high quality when the glucose oxidase content was 40 mg/kg.

When the guar gum content reached 0.3%, bran-fortified stewing noodles had the highest L value, the lowest b* value, and the ΔE value. Guar gum is a galactomannan, which was easily dispersed on meeting water and formed a colloid with high viscosity. Moreover, it could increase the surface smoothness of noodles by interacting with proteins to form a dense gluten protein network structure (Deepak et al., 2017). Consequently, the L value increased obviously as the reflection of light was enhanced. A comprehensive analysis of the effects of guar gum on the tensile properties, color, and sensory score of bran-fortified stewing noodles showed that the noodles were of high quality when the guar gum content was 0.3%.

Analysis of response surface experiment results

Factors and levels of the response surface experiment

According to the results and discussions above, the factors and levels in the response surface experiment are shown in Table 2.

Table 2. Independent variable values of improvers and their corresponding levels.

Variable Factor level
−1 0 +1
Wheat gluten content (%) 5 10 15
Glucose oxidase content (mg/kg) 20 40 60
Guar gum content (%) 0.2 0.3 0.4

Optimization results of the response surface experiment.

The optimization results of the response surface experiment are shown in Table 3. According to the frequency statistical method, the subjective weights of the breaking distance, L value, and sensory score were 0.4, 0.3, and 0.3, respectively. According to the entropy method, the objective weights of the breaking distance, L value, and sensory score were 0.21, 0.45, and 0.34, respectively. When the preference coefficient µ was set at 0.7, the comprehensive weights of the breaking distance, L value, and sensory score were 0.267, 0.405, and 0.328, respectively.

Table 3. Design and results of the response surface experiment.

Number A:Wheat gluten content (%) B: Glucose oxidase content (mg/kg) C:Guar gum content (%) Breaking distance/mm L value Sensory score/score Comprehensive weighted score/score
1 15 60 0.3 113.90 67.40 76.6 24.68
2 10 20 0.4 102.26 66.62 80.6 28.97
3 5 40 0.4 88.08 70.24 80.0 44.89
4 10 60 0.2 127.40 69.85 78.4 58.12
5 5 40 0.2 131.48 71.92 80.9 86.33
6 10 40 0.3 118.24 69.04 83.8 69.57
7 5 60 0.3 117.95 71.05 79.3 65.33
8 15 40 0.2 125.66 67.29 76.0 28.13
9 15 40 0.4 106.92 66.44 78.1 19.78
10 10 40 0.3 112.03 69.67 83.4 68.93
11 15 20 0.3 122.79 67.52 79.4 42.50
12 10 60 0.4 126.58 68.64 80.8 58.82
13 10 40 0.3 130.12 68.88 82.8 71.11
14 10 40 0.3 122.05 68.94 83.3 68.94
15 10 20 0.2 134.01 69.62 82.6 77.93
16 10 40 0.3 115.66 69.30 82.4 64.05
17 5 20 0.3 111.65 70.64 81.0 65.75

The highest comprehensive weighted score was noted in experimental number 5. The comprehensive weighted score of bran-fortified stewing noodles reached the maximum value when the contents of wheat gluten, glucose oxidase, and guar gum were 5%, 40 mg/kg, and 0.2%, respectively.

Variance analysis of the response surface experiment

Design-Expert (V8.0.6) was used to perform quadratic multivariate regression fitting on the experimental results, and variance analysis was conducted. The results are shown in Table 4.

Through analysis, the quadratic multinomial regression model of each influencing factor (three improvers) on the response value (comprehensive weighted score) was obtained as follows:

Y=102.28490+5.55144A0.81009B52.00965C0.046561AB+17.18733AC+6.34811BC0.61430A20.00857B2836.24320C2

As can be seen from Table 4, the significance of the model was evident by a low p-value of <0.01, indicating that the regression effect of the model was highly significant. The nonsignificant lack of fit (p > 0.05) reflected that the designed model was adequate to predict the response variables, and the regression model could well explain the relationship between each factor and the weighted comprehensive score. Furthermore, the results confirmed the fitting of the model with R2 > 95%, indicating that the correlation of the model was effective. The correction determination coefficient (RAdj2) was 0.9329, indicating that this regression model can explain 93.29% of the test data variability. Therefore, the quadratic equation model obtained by the response surface analysis method was reliable and could guide the quality improvement of bran-fortified stewing noodles. In addition, the order of the factors affecting the comprehensive weighted score was determined as A > C > B.

Interaction analysis of factors

As seen in Table 4, among the primary terms, A and C significantly influenced the comprehensive weighted score at the level of 0.001, while B had no significant influence on it. Among the interaction terms, AB had no significant effect on the comprehensive weighted score; AC was significant at 0.05, and BC was significant at 0.01. Among the quadratic terms, B2 had no significant effect on the comprehensive weighted score, A2 was significant at 0.001, and C2 was significant at 0.05. According to the above results, there existed interactions between wheat gluten and guar gum content (AC) and between glucose oxidase and guar gum content (BC).

Table 4. Variance analysis of the response surface regression equation.

Source Sum of squares df Mean square Fvalue Prob > F
Model 6099.12 9 677.68 25.74 0.0001 Significant
A: Wheat gluten content (%) 2315.45 1 2315.45 87.93 <0.0001
B: Glucose oxidase content (mg/kg) 7 1 7 0.2657 0.6221
C: Guar gum content (%) 1309.86 1 1309.86 49.74 0.0002
AB 83.19 1 83.19 3.16 0.1187
AC 295.4 1 295.4 11.22 0.0123
BC 644.78 1 644.78 24.49 0.0017
A2 993.06 1 993.06 37.71 0.0005
B2 49.4 1 49.4 1.88 0.2131
C2 294.44 1 294.44 11.18 0.0124
Residual 184.32 7 26.33
Lack of fit 146.41 3 48.8 5.15 0.0737 Not significant
Pure error 37.92 4 9.48
Cor total 6283.44 16

Figure 3 shows the influence of the interaction between wheat gluten and guar gum content on the comprehensive weighted score, and the interaction was significant. The contour plot of guar gum was relatively flat compared with wheat gluten (Figure 3), indicating that the influence of guar gum on the comprehensive weighted score of bran-fortified stewing noodles was less than that of wheat gluten. Moreover, the comprehensive weighted score increased with an increase in guar gum content when wheat gluten was at low and high levels.

Figure 3. Interaction between wheat gluten content and guar gum content.

Figure 4 shows the influence of the interaction between glucose oxidase and guar gum content on the comprehensive weighted score, and the interaction was significant. The contour plot of glucose oxidase was relatively flat compared with guar gum (Figure 4), indicating that the influence of glucose oxidase on the comprehensive weighted score of bran-fortified stewing noodles was less than that of guar gum. Moreover, the comprehensive weighted score increased with an increase in guar gum content at a low level, while the changing trend was not obvious at a high level of glucose oxidase.

Figure 4. Interaction between glucose oxidase content and guar gum content.

Experimental verification of the model

The response surface test results were calculated and analyzed using Design-Expert (V8.0.6). As can be seen from Table 5, the comprehensive weighted score of the predictive optimal group was 89.83 points, which was higher than the score of 87.04 points in the response surface optimal group. According to the optimal formula, three verification experiments were carried out. The comprehensive weighted scores were 89.75, 88.33, and 89.87, respectively, with an average of 89.31 ± 0.49, which was 0.58% (less than 5%) different from the predicted value of the model, indicating that the model was feasible to improve and optimize the quality of bran-fortified stewing noodles. Moreover, it was observed that the optimal prediction scheme was better than the optimal response surface scheme and was closer to the high-gluten group.

Table 5. Results of the validation experiment.

Group Wheat gluten
content (%)
Glucose oxidase content (mg/kg) Guar gum content (%) Breaking distance/mm L value Sensory
score/score
Comprehensive weighted score/score
High-gluten group / / / 114.48 84.22 81.1 91.28
Response surface Optimal group 5.00 40 0.2 116.22 70.49 83.7 87.04
Predictive optimal group 6.67 28 0.22 128.53 70.41 82.3 89.83

Therefore, the optimal improved formula for bran-fortified stewing noodles involved wheat gluten, glucose oxidase, and guar gum contents of 6.67%, 28 mg/kg, and 0.22%, respectively.

Conclusions

The types and addition ranges of improvers were determined through a preliminary experiment and a single-factor experiment. Then, a regression equation model was established using a Box–Behnken design response surface experiment. The model was found to be feasible to improve and optimize the quality of bran-fortified stewing noodles after variance analysis and experimental verification of the model. The comprehensive weighted score of bran-fortified stewing noodles reached the maximum value (89.83 points) when the contents of wheat gluten, glucose oxidase, and guar gum were 6.67%, 28 mg/kg, and 0.22%, respectively, which was close to the finding for the high-gluten group. Under this condition, bran-fortified stewing noodles had better tensile characteristics, brightness, and a higher sensory score. The findings of this study may serve as a reference to guide producers in the quality improvement of stewing noodles enriched with wheat bran. They may help promote the production and marketing of semi-finished stewing noodles.

Acknowledgments

The authors want to thank the Project of Scientific and Technological Innovation Team for middle-aged and young students in Hubei Province (No. LT201911) and a Special Project for the central government of Hubei Province to guide the development of local science and technology (No. 2020ZYYD015) for financial support.

Funding

This work was supported by the Project of Scientific and Technological Innovation Team for middle-aged and young students in Hubei Province (No. LT201911) and a Special Project for the central government of Hubei Province to guide the development of local science and technology (No. 2020ZYYD015).

Conflict of interest

This manuscript has not been published elsewhere and is not under consideration by another journal. We have approved the manuscript and agree with its submission to the Italian Journal of Food Science. There are no conflicts of interest to declare.

REFERENCES

Achayuthakan, P., and Suphantharika, M. (2008). Pasting and rheological properties of waxy corn starch as affected by guar gum and xanthan gum. Carbohydrate Polymers, 71, 9–17. 10.1016/j.carbpol.2007.05.006

Bonet, A., Rosell, C.M., Caballero, P.A., Gómez, M., Pérez-Munuera, I., and Lluch, M.A. (2006). Glucose oxidase effect on dough rheology and bread quality: a study from macroscopic to molecular level. Food Chemistry, 99, 408–415. 10.1016/j.foodchem.2005.07.043

China National Standardization Administration. (2018). Inspection of grain and oils—Noodles-processing quality evaluation of wheat flour.

Day, L., Augustin, M.A., Batey, I.L., and Wrigley, C.W. (2006). Wheat-gluten uses and industry needs. Trends in Food Science and Technology, 17, 82–90. 10.1016/j.tifs.2005.10.003

De Brier, N. and Delcour, J. A. (2017). Pearling affects the lipid content and composition and lipase activity levels of wheat (Triticum aestivum L.) roller milling fractions. Cereal Chemistry Journal, 94, 588–593. 10.1094/CCHEM-09-16-0242-R

Deepak, M., Barak, S., and Khatkar, B.S. (2017). Development and characterization of soluble fiber enriched noodles via fortification with partially hydrolyzed guar gum. Journal of Food Measurement and Characterization, 12, 156–163. 10.1007/s11694-017-9626-y

Deroover, L., Tie, Y.X., Verspreet, J., Courtin, C.M., and Verbeke, K. (2020). Modifying wheat bran to improve its health benefits. Critical Reviews in Food Science and Nutrition, 60, 1104–1122. 10.1080/10408398.2018.1558394

Fan, J.L., Han, N., and Chen, H.Q. (2021). Physicochemical and structural properties of wheat gluten/rice starch dough-like model. Journal of Cereal Science, 98, 103181. 10.1016/j.jcs.2021.103181

Garcia, R., Rakotozafy, L., and Nicolas, J. (2004). Analysis and modeling of the ferulic acid oxidation by a glucose oxidase−peroxidase association. Comparison with a hexose oxidase−peroxidase association. Journal of Agricultural and Food Chemistry, 52, 3946–3953. 10.1021/jf035113r

Gómez, M., Jiménez, S., Ruiz, E., and Oliete, B. (2011). Effect of extruded wheat bran on dough rheology and bread quality. L.W.T.–Food Science and Technology, 44, 2231–2237. 10.1016/j.lwt.2011.06.006

Jin, X.X., Lin, S.Y., Gao, J., Wang, Y., Ying, J., Dong, Z.Z., et al. (2021). Effect of coarse and superfine-ground wheat brans on the microstructure and quality attributes of dried white noodle. Food and Bioprocess Technology, 14, 1089–1100. 10.1007/s11947-021-02621-2

Katina, K., Juvonen, R., Laitila, A., Flander, L., Nordlund, E., Kariluoto, S., et al. (2012). Fermented wheat bran as a functional ingredient in baking. Cereal Chemistry Journal, 89, 126–134. 10.1094/CCHEM-08-11-0106

Khatami, S.H., Vakili, O., Ahmadi, N., Soltani Fard, E.S., Mousavi, P., Khalvati, B., et al. (2022). Glucose oxidase: applications, sources, and recombinant production. Biotechnology and Applied Biochemistry, 69, 939–950. 10.1002/bab.2165

Li, Y.Y. (2016). Study on preparation of quick-frozen pulled noodles. MA Thesis, Henan University of Technology, China. (in Chinese).

Li, Y.B., Yao, G.Q., Zhao, K.M., Shen, W.Y., Wang, Z., Fan, K., et al. (2023). Effects of extruded wheat bran on the physicochemical properties and edible quality of stewing noodles. Cereal Chemistry, 100, 500–511. 10.1094/CCHEM-09-16-0234-R

Liu, W.J., Brennan, M., Serventi, L., and Brennan, C. (2017). Effect of wheat bran on dough rheology and final quality of Chinese steamed bread. Cereal Chemistry Journal, 94, 581–587.

Lu, Z.Z. (2017). Optimal layout and comprehensive evaluation of aggregate processing system in hydropower project. MA Thesis, Wuhan University, China. (in Chinese).

Meenu, M., Padhan, B., Zhou, J., Ramaswamy, H.S., Pandey, J.K., Patel, R., and Yu, Y. (2022). A detailed review on quality parameters of functional noodles. Food Reviews International, 1–37. 10.1080/87559129.2022.2092747

Mudgil, D., Barak, S., and Khatkar, B.S. (2014). Guar gum: processing, properties and food applications—a review. Journal of Food Science and Technology, 51, 409–418. 10.1007/s13197-011-0522-x

Niu, M., Hou, G.G., Kindelspire, J., Krishnan, P., and Zhao, S.M. (2017). Microstructural, textural, and sensory properties of whole-wheat noodle modified by enzymes and emulsifiers. Food Chemistry, 223, 16–24. 10.1016/j.foodchem.2016.12.021

Onipe, O.O., Ramashia, S.E., and Jideani, A.I.O. (2021). Wheat bran modifications for enhanced nutrition and functionality in selected food products. Molecules, 26, 3918. 10.3390/molecules26133918

Prückler, M., Siebenhandl-Ehn, S., Apprich, S., Höltinger, S., Haas, C., Schmid, E., et al. (2014). Wheat bran-based biorefinery 1: Composition of wheat bran and strategies of functionalization. L.W.T.–Food Science and Technology, 56, 211–221. 10.1016/j.lwt.2013.12.004

Simsek, S., Khalid, K.H., and Ohm, J.B. (2023). Reconstitution of bran components with refined flour: impact on protein solubility and their associations with whole wheat bread-baking quality. Cereal Chemistry, 100, 156–170. 10.1002/cche.10613

Thanushree, M.P., Sudha, M.L., Martin, A., Vanitha, T., and Kasar, C. (2022). Enhancing the nutritional and quality profiles of buckwheat noodles: studies on the effects of methods of milling and improvers. L.W.T., 160, 113286. 10.1016/j.lwt.2022.113286

Wardhana, Y.R., and Banawi, L.S. (2020). Fortification of yellow alkaline noodles with wheat bran and the impact on physical and sensorial properties. Journal of Nutritional Science and Vitaminology, 66 (Suppl.), 190–195. 10.3177/jnsv.66.S190

Wu, Y.J. (2022). Effects of glucose oxidase on fresh-keeping and edible quality of raw wet noodles. MA Thesis. Henan Institute of Science and Technology, China. (in Chinese).

Yang, Z., Zhou, Y., Xing, J.J., Guo, X.N., and Zhu, K.X. (2021). Influence of extrusion on storage quality of dried oat noodles: lipid degradation and off-flavours. Journal of Cereal Science, 101, 103316. 10.1016/j.jcs.2021.103316

Zhang, Y.Z., Yin, L.Q., Rasheed, H.A., Xia, X.D., Tekliye, M., Li, Z.Y., et al. (2020). Effects of chitosan on the physicochemical properties, in vitro starch digestibility, antimicrobial potentials, and antioxidant activities of purple highland barley noodles. L.W.T., 132, 109802. 10.1016/j.lwt.2020.109802