Download

PAPER

Puffing behavior of foamed mango pulp as affected by microwave heating

Wasan Duangkhamchan1,2, Pattamaporn Gaewsondee1,2, Prarin Chupawa1,3*

1Research Unit of Smart Process Design and Automation, Mahasarakham University, Maha Sarakham, Thailand;

2Research Unit of Process Design and Automation, Faculty of Engineering, Mahasarakham University, Maha Sarakham, Thailand;

3Research Unit of Mechatronics Engineering, Faculty of Engineering, Mahasarakham University, Maha Sarakham, Thailand

Abstract

This study investigated the effect of microwave power and puffing control on the structural integrity and textural properties of dried foamed mango. Microwave power levels of 250, 380, and 500 W were tested, with puffing control significantly enhancing product quality. SEM analysis showed that without puffing control, excessively puffed structure occurred, while controlled drying yielded smaller, more uniform pores. Puffing control reduced hardness to 21.87 ± 5.20 g and increased crispness to 50.00 ± 5.29 (count peak). These findings highlight the benefits of real-time expansion regulation in optimizing drying processes for improved texture and consistency in foamed products.

Key words: foamed mango, microwave-assisted drying, puffing control, structural integrity, textural properties

*Corresponding Author: Prarin Chupawa, Research Unit of Mechatronics Engineering, Faculty of Engineering, Mahasarakham University, Maha Sarakham, Thailand. Email: prarin.c@msu.ac.th

Academic Editor: Prof. Alessandra Del Caro – Università degli Studi di Sassari, Italy

Received: 26 September 2024; Accepted: 2 December 2024; Published: 1 January 2025

DOI: 10.15586/ijfs.v37i1.2815

© 2025 Codon Publications
This is an Open Access article distributed under the terms of the Creative Commons Attribution-NonCommercial-ShareAlike 4.0 International (CC BY-NC-SA 4.0). License (http://creativecommons.org/licenses/by-nc-sa/4.0/)

Introduction

Mahachanok, or Rainbow mangoes (Mangifera indica L.), are highly regarded for their rich nutritional content and bioactive compounds (Tran et al., 2023). However, farmers in northeastern Thailand frequently face challenges due to market fluctuations and the overabundance of undersized or overripe fruits, leading to low profitability. Processing these mangoes into value-added products, such as dried foamed mango pulp snacks, could provide a solution by extending their shelf life and offering consumers an alternative, healthy snack option.

Foam-mat drying has been widely recognized as an effective technique for converting liquid or semi-liquid foods into stable dried foamed materials while preserving their nutritional qualities (Sansomchai et al., 2023). Prior research by Chaux-Gutiérrez et al. (2017), Rajkumar et al. (2007a and 2007b), and Sansomchai et al. (2023) has highlighted the benefits of foam-mat drying in producing powdered mango pulp, emphasizing the importance of optimizing drying parameters to maintain product quality. However, the drying of thicker foamed materials remains challenging, particularly due to the energy-intensive nature of the process and the risk of foam structure collapse during prolonged drying.

Microwave-assisted drying has gained attention as a viable method for addressing these issues. This technique leverages volumetric heating, where microwave energy directly interacts with water molecules, resulting in rapid and uniform heat distribution. Compared to traditional hot-air drying, microwave-assisted drying offers several advantages, including faster moisture removal, reduced energy consumption, and minimized physical deformation of the foam (Prachayawarakorn et al., 2024). Previous studies by Qadri and Srivastava (2014, 2017), Gao et al. (2022), and others have demonstrated that microwave-assisted foam-mat drying can significantly shorten drying time while preserving the nutritional integrity and physical properties of various food products, such as tomatoes, guava, and blueberry pulps.

While microwave-assisted drying offers potential benefits, especially in reducing drying time, it has its limitations. The use of constant microwave power can lead to uneven expansion of the foam, especially at high microwave energy, resulting in nonuniform drying and excessively puffed structure. This irregularity can compromise the physical properties and texture of the final product, leading to inconsistencies such as hardness, brittleness, and reduced crispness. Puffing is the ability of food materials to expand in volume due to the phase transition of water from liquid to vapor. Intense microwave heating induces rapid pressure buildup, leading to volumetric expansion as water rapidly converts from liquid to vapor (Rakesh and Datta, 2011). Recent studies have explored the impact of microwave drying on puffing behavior. For instance, Joardder and Karim (2023) investigated pore evolution in apple tissues during microwave drying and observed that continuous microwave drying (CMD) can cause the cell walls of food samples to burn or collapse due to excessive heat generation. In contrast, intermittent microwave drying (IMCD) provides an opportunity to preserve the texture and porosity of the final product. Xie et al. (2024) investigated various drying methods, including microwave and radio frequency drying, on purple sweet potato snacks. Microwave-induced puffing significantly improved the expansion and texture of the final product, making it more appealing as a nutritious snack. Dong et al. (2024) examined puffing effects on green coffee beans through microwave drying, and their study implied that controlled puffing during microwave drying enhanced specific qualities crucial for beverage processing.

To overcome these limitations, this study introduces the use of variable microwave power during the drying process, a novel approach designed to preserve the structural integrity of the foam. By employing a real-time image processing system, the foam expansion is continuously monitored, and microwave power is adjusted accordingly to prevent excessive puffing and collapse. This dynamic control over microwave power ensures a more stable and uniform drying process, leading to a higher-quality final product. The integration of puffing control allows for more consistent textural properties while preventing the rapid expansion and collapse often observed in traditional drying methods.

The main objective of this research is to investigate the impact of variable microwave power and different air temperatures on foam structure and textural properties of dried foamed mango pulp. The study evaluates the key attributes such as hardness and crispness to understand how different drying conditions influence the quality of the final product. In addition, the research examines foam thickness to assess the uniformity of the dried foam. A comparison is made between traditional microwave drying and the novel puffing control system, providing valuable insights into the advantages of regulating microwave power during drying process.

Materials and Methods

Foamed mango preparation

Ripe Mahachanok mangoes (Mangifera indica L.) with an average sugar content of 12.7 ± 0.4 Brix were sourced from Kalasin Province located in northeastern Thailand. The mangoes were first peeled and cut into 1 cm cubes. The diced mango was blanched in boiling water (80–90°C) for 1 min to deactivate any enzymes and mashed into a puree. The prepared mango puree was packed in aluminum foil bags and stored in a freezer until further use.

To prepare 250 g of foamed mango pulp, 96.43 g of mango puree (38.57% w/w), 128.57 g of fresh egg albumin as the foaming agent (51.43% w/w), and 25 g of a 1% xanthan gum solution as the stabilizer (10% w/w) were used. The ingredients were initially mixed gently for 2 min at the lowest speed using a blender (Electrolux, model EHM3407, Thailand) to ensure uniform blending, followed by an 8 min blend at maximum speed to generate a stable foam.

Foam-mat drying process

The drying experiments were conducted using a modified domestic microwave oven (model MS23F300EEK, Samsung, Thailand), integrated with a custom hot air circulation system. The microwave system operated on an ON–OFF power cycle, with the microwave energy output controlled by a microcontroller connected to a servo motor equipped with a power adjustment knob, facilitating rotation to the settings. This setup allowed for precise regulation of microwave power, ensuring controlled energy input during the drying process. To maintain the desired drying air temperature, a 10 kW electric heater was installed, and the air temperature was continuously monitored and regulated using a PID temperature controller (Model MAC-3D, Shimax Co., Ltd., Japan) combined with a type K thermocouple. The air velocity within the system was kept constant at 0.5 ms¹ using an inverter to control the blower. Additionally, image processing techniques were employed for puffing control, enabling real-time adjustments in microwave power based on the monitored foam expansion, ensuring consistency in the product structure.

For the drying experiments, 250 g of foamed mango pulp was evenly spread on a 20 cm microwaveable plate, ensuring a uniform foam layer with a thickness of 2 cm. The excess foam was carefully leveled off using a stainless steel bar to maintain a flat surface. The drying process was carried out under three different microwave power settings—250, 380, and 500 W—and at three air temperatures of 50, 60, and 70°C, associated with a full factorial approach.

Puffing control system

The puffing control system used in the drying process integrates real-time image processing techniques to regulate the microwave power based on foam expansion. As shown in Figure 1, the method began with capturing high-resolution images (1920 × 1080 pixels) of the expanding foamed material using a webcam (Model C615, Logitech International S.A., Switzerland) at 30 frames per second during drying. The original images were cropped to 1540 × 490 pixels, corresponding to a real area of 22 × 7 cm, covering the edge of the foam container up to its maximum height of 7 cm (Figure 1B).

Figure 1. Image processing procedure for foam expansion analysis. (A) original image, (B) cropped image, (C) grayscale image, and (D) filtered and dilated image.

The cropped images were then converted into grayscale (Figure 1C) to facilitate further processing. Gaussian filtering with a 3×3 pixel kernel was applied to smooth the images and reduce noise. Next, Canny edge detection was used to convert the grayscale images into binary images, with thresholds set at 25 and 75 for accuratel detection of the edges. Following edge detection, dilation using a 3×3 pixel structuring element was performed to connect missing areas and expand boundaries (Figure 1D). Finally, the processed image was divided into black and white regions, and the percentage of white pixels (Pw), representing the expanded foam area, was calculated using equation (1):

Pw=AwAtotal×100 1

Where Aw is the total number of white pixels, representing the expanded foam area, and Atotal is the total number of pixels in the cropped image.

To control the foam puffing, a servo motor was employed. A threshold was set such that when the foam expansion reached 20% beyond its initial physical size, as indicated by the white pixel percentage, the system adjusted the microwave power to a lower level. The system continued to monitor the foam size, and once the expansion subsided to the initial size, the servo motor reverted the microwave power to a higher level, thus maintaining a balance between foam expansion and structural integrity.

The step-by-step image processing workflow for this control system is illustrated in the flowchart (Figure 2). The images are processed in six steps, starting with converting the RGB images to grayscale, followed by Gaussian filtering, binary conversion via Canny edge detection, dilation to connect boundaries, and finally, separating the image into black and white regions to calculate the white pixel percentage. The system continuously monitors this percentage, ensuring that the microwave power is adjusted accordingly to prevent overexpansion and collapse, ultimately ensuring a controlled and consistent drying process.

Figure 2. Flowchart of puffing control system.

This real-time image processing system, in conjunction with servo motor adjustments, provides an effective solution for maintaining the stability of the foam structure during drying, reducing the risk of foam expansion and collapse, and improving the overall quality of the dried product.

Physical and textural analysis

Moisture content and dried foam thickness

The moisture content analysis was performed following the standard procedure (Horwitz, 2005). To assess the uniformity of moisture content in the dried foamed mango pulp, measurements were taken at five different points as indicated in Figure 3. Additionally, the foam thickness at these same points was recorded to evaluate the structural homogeneity of the dried foams.

Figure 3. Measuring points for analyzing uniformity of moisture content and foam thickness.

Morphology of dried foamed mango pulp

The morphological characteristics of the dried foamed mango pulp were analyzed using a scanning electron microscope (SEM) (Tabletop Microscope, TM4000Plus, Hitachi, Hitachi High-Tech Ltd.), set to a magnification of 30X and operated at an accelerating voltage of 10 kV.

Textural properties

The textural properties of dried foamed mango, including hardness, fracturability, peak force, and crispness, were measured using a texture analyzer (TA.XT2i, Stable Micro Systems Ltd, Godalming, UK) equipped with a 2 mm cylinder probe attached to a 5 kg load cell. The hardness was determined by the peak force in the force-time curve during the compression test, reflecting the maximum force of compression in force units (g). This test was conducted at a pre-test speed of 1.0 mms−1, a test speed of 0.5 mms−1, and a posttest speed of 10.0 mms−1, with a compression distance of 40% strain. Crispness was assessed by counting the number of force peaks during compression, with a higher number of peaks indicating a crisper texture. The measurements were conducted under consistent test conditions, with nine different positions for each sample, and the averaged results were presented. This method allowed for a detailed evaluation of how different microwave drying conditions and puffing control techniques influenced the textural quality of the foamed mango.

Statistical analysis

The data obtained from the experiments were statistically analyzed using SPSS software (version 14.0.1.25). A one-way analysis of variance (ANOVA) was performed to assess the effects of different microwave power levels and air temperatures on the foam structure and textural properties of the dried foamed mango. Duncan’s multiple range test was applied to compare the means of the different treatment groups, and significant differences were determined at a confidence level of P < 0.05. This approach ensured that the variations in structural and textural outcomes across different drying conditions were accurately evaluated and statistically validated.

Results and Discussion

Puffed foam thickness as affected by microwave heating

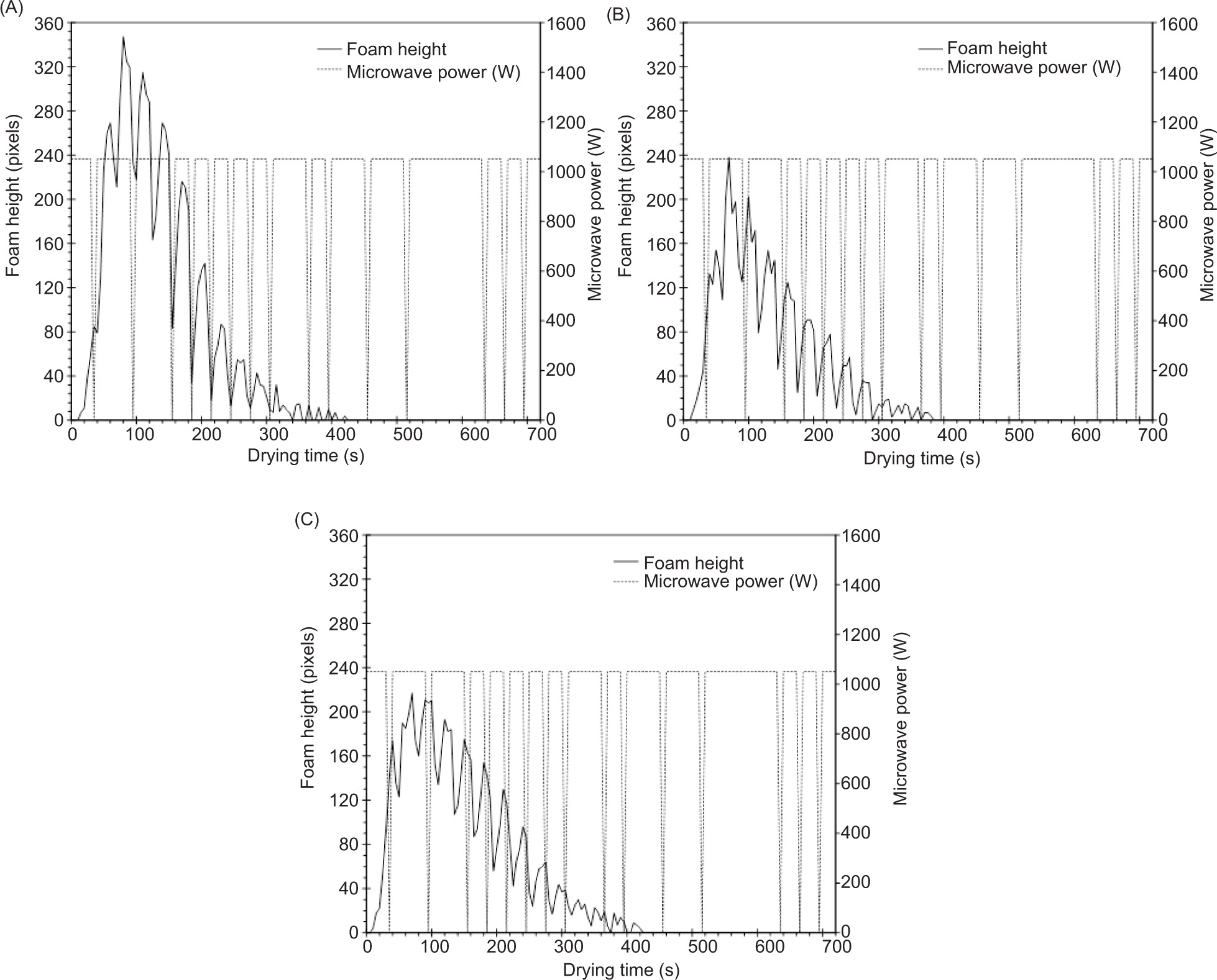
The foam expansion, measured as the height above the original surface, was tracked in pixels using a webcam camera throughout the drying process. This so-called puffing effect may result in changes in the porous structure of dried foamed mango pulp. In this study, a full factorial design was used, with three varying drying air temperatures (50, 60, and 70°C) and three microwave power levels (250, 380, and 500 W). The microwave power alternated between ON (1050 W) and OFF (0 W), with average outputs from 250 to 500 W. The results, shown in Figures 46, illustrate how these conditions influenced foam expansion and structural integrity over time. The discussion will explore the impact of microwave power and air temperature on puffing behavior.

Figure 4. Foam height (pixel) as a function of drying time (s) at 250 W and (A) 50°C, (B) 60°C, and (C) 70°C.

Figure 5. Foam height (pixel) as a function of drying time (s) at 380 W and (A) 50°C, (B) 60°C, and (C) 70°C.

Figure 6. Foam height (pixel) as a function of drying time (s) at 500 W and (A) 50°C, (B) 60°C, and (C) 70°C.

Figure 4 illustrates the foam thickness behavior of dried foamed mango at 250 W microwave power combined with three different air temperatures: 50, 60, and 70°C. In Figure 4A (50°C), the foam mostly exhibited expansion throughout the drying process, peaking at around 190 pixels within the first 200 s. The foam returned to its original thickness after 850 s, indicating that at the lower air temperature of 50°C, the moisture was removed slowly allowing for a longer period of controlled puffing before collapse. This gradual return to the original thickness suggests a slower drying process. However, the longer time to collapse may suggest less efficiency in the drying process.

At 60°C (Figure 4B), the foam expanded slightly less than at 50°C, peaking at 160 pixels in about 150 s, and it returned to its original thickness after 700 s. The faster time to return to its original thickness indicates that moderate air temperature (60°C) facilitated quicker moisture diffusion, reducing the puffing duration and leading to an earlier collapse. This balance between faster drying and controlled puffing makes 60°C a more favorable temperature compared to 50°C.

In contrast, at 70°C (Figure 4C), the foam expanded rapidly to 170 pixels within 140 s and returned to its original thickness after only 600 s. The faster collapse at 70°C suggests that the higher temperature rapidly removed surface moisture, creating stronger cell walls and accelerating the collapse process. This shorter time to return to the original thickness reflects the efficiency of high-temperature drying in minimizing foam expansion and ensuring early collapse.

The results from Figure 4 highlight the importance of drying temperature in controlling foam expansion and collapse. The times to return to the original thickness—850 s at 50°C, 700 s at 60°C, and 600 s at 70°C—show that higher temperatures not only accelerate the drying process but also promote quicker structural collapse. The optimal condition for minimizing foam expansion and ensuring early collapse is 70°C, as it resulted in the shortest expansion period and fastest return to the original foam thickness. Although 50 and 60°C also allowed for controlled collapse, the longer times to return to the original thickness make them less optimal than 70°C for maintaining product uniformity and texture. These findings confirm that higher air temperature is more conducive to achieving minimal foam expansion and early collapse, which are key to maintaining product quality and structural integrity.

Figure 5 demonstrates the foam thickness behavior at 380 W microwave power under three air temperatures: 50, 60, and 70°C. In Figure 5A (50°C), the foam expanded rapidly to a peak thickness of 240 pixels within 100 s, which is significantly higher than the expansion observed at 250 W. This increase in puffing is due to the higher volumetric heat generated by the higher microwave power. However, unlike 250 W, the foam returned to its original thickness after 660 s, indicating that while the higher microwave power caused faster puffing, the foam collapsed back more effectively.

At 60°C (Figure 5B), the foam reached a peak thickness of 210 pixels within 80 s and returned to its original thickness at 540 s. A similar behavior was observed at 50°C but with slightly less puffing and a faster return to the original thickness. The balance between moderate air temperature and higher microwave power at 380 W resulted in more controlled expansion and a smoother collapse back to the original thickness. Compared to 250 W, the faster collapse observed at 380 W shows that higher microwave power can help achieve the desired foam behavior of minimizing puffing while ensuring efficient moisture removal.

In Figure 5C (70°C), the foam expanded quickly, reaching a peak thickness of 230 pixels within 70 s, but collapsed almost immediately, returning to its original thickness in just 350 s. The higher air temperature, combined with the increased microwave power, promoted faster surface drying, preventing excessive puffing. However, the structure remained stable long enough to prevent excessive expansion. The results at 70°C and 380 W show that while higher microwave power generates more rapid expansion, it can also accelerate the collapse back to the original thickness, which is a desirable outcome for maintaining product quality.

Figure 6 illustrates the foam thickness behavior at 500 W microwave power across air temperatures of 50, 60, and 70°C. At this high microwave power, the effect on foam expansion and collapse is significant, with all foams reaching their peak thickness rapidly.

In Figure 6A (50°C), the foam expanded extremely rapidly, reaching a maximum thickness of 350 pixels within just 80 s, the fastest expansion observed across all conditions. However, the foam returned to its original thickness after 420 s, indicating a swift collapse shortly after peak expansion. The intense volumetric heating caused by the high microwave power led to rapid moisture removal, but the foam was unable to maintain its structure. The collapse shortly after peak expansion shows that while high microwave power accelerates drying, it also destabilizes the foam, causing early structural failure.

In Figure 6B (60°C), the foam expanded to a peak thickness of 240 pixels within 70 s. However, the foam returned to its original thickness more gradually, for 380 s. This suggests that the moderate air temperature at 60°C allowed for more controlled moisture diffusion, preventing immediate structural failure and allowing the foam to maintain its structure for a longer period. The 60°C condition provided a more balanced drying process, resulting in a more controlled collapse compared to the faster breakdown at 50°C.

In Figure 6C (70°C), the foam expanded rapidly to 230 pixels within 70 s, but collapsed even more quickly than under the other conditions, returning to its original thickness in just 420 s, the shortest collapse time observed across all conditions. The combination of high microwave power and elevated air temperature created an unstable drying environment, leading to rapid expansion followed by immediate structural failure. The shorter collapse time at 70°C indicates that the foam structure was less able to maintain its integrity under the rapid moisture removal, leading to quicker shrinkage and a faster return to its original thickness. This suggests that high air temperature, combined with intense microwave power, accelerates the drying process but compromises the foam ability to remain stable, reducing overall structural integrity.

Interestingly, despite the different air temperatures, the time to peak thickness was consistently around 70 s across all conditions, indicating that microwave power had a more significant impact on the rate of foam expansion than air temperature. However, the times to return to the original thickness varied slightly between the conditions, with 420 s at 50°C and 70°C, and 380 s at 60°C. These results suggest that while microwave power drove rapid expansion, air temperature played a role in determining how quickly the foam collapsed back to its original thickness, with moderate temperatures (60°C) allowing for a slightly more controlled collapse compared to the extremes of 50°C and 70°C.

Influence of drying conditions on moisture content uniformity and foam structure stability

This section examines the impact of varying microwave power and air temperature on the uniformity of moisture content and structural stability of dried foamed mango pulp. Moisture content and foam thickness were measured across multiple points, as shown in Figure 3, and their deviations provide valuable insights into the consistency of the drying process. Understanding these variations is crucial, as they highlight the balance between rapid moisture removal and the maintenance of product quality, particularly under different microwave power levels and drying temperatures. The results presented in Table 1 offer a detailed analysis of how these factors influence the overall drying efficiency and uniformity.

Table 1. Deviations of moisture content and dried foam thickness at various drying conditions.

MW
(W)
T
(°C)
MC (% wb) Thickness (cm)
Mean
value
Deviation Mean
value
Deviation
250 50 9.19 1.04 17.2 1.4
250 60 7.74 1.00 17.7 1.6
250 70 8.03 1.07 16.1 1.8
380 50 8.88 1.28 18.5 1.9
380 60 8.77 1.13 17.9 2.2
380 70 7.13 1.71 17.4 2.1
500 50 7.42 2.25 19.4 2.4
500 60 8.21 1.95 19.3 2.5
500 70 8.28 2.13 17.8 3.6

As shown in Table 1, the deviations in moisture content (% wb) tend to increase with higher microwave power, while the effect of temperature is less pronounced. For example, at 250 W and 50°C, the moisture deviation is relatively low at 1.04, indicating a more uniform drying process. This can be attributed to the slower energy input, allowing for more gradual moisture removal. In contrast, at 500 W and 50°C, the moisture deviation increases to 2.25, reflecting less uniform drying likely due to the rapid and uneven moisture removal caused by the higher microwave power. This observation aligns with previous studies, such as those by Chaux-Gutiérrez et al. (2017), who also noted that higher microwave energy can result in uneven heating patterns and moisture gradients within the material.

The foam thickness measurements further illustrate how drying conditions influence the puffing behavior of the foam and the uniformity of structural changes. At 250 W and 50°C, the average foam thickness is 17.2 cm with a deviation of 1.4 cm, indicating relatively consistent puffing and moderate expansion. However, as the microwave power increases, more pronounced deviations in thickness are observed. For example, at 500 W and 70°C, the foam reaches a thickness of 17.8 cm with a higher deviation of 3.6 cm, suggesting significant variability in foam structure. This can be attributed to the aggressive puffing effect induced by high microwave power, which causes certain regions in the foam to expand more rapidly than others. As confirmed by Taşova et al. (2023), higher microwave energy levels tend to promote uneven puffing, leading to structural non-uniformity. The trend observed in foam thickness deviations also reflects the balance between puffing and collapse under different drying conditions. Higher microwave power (500 W) tends to generate more intense puffing, as seen in the higher foam thickness values at 50°C and 60°C, but also results in more structural instability, leading to larger deviations. In contrast, lower power levels (250 and 380 W) maintain more consistent foam structures, though the total expansion is less pronounced.

In conclusion, the data presented in Table 1 highlight the need for precise control over microwave power to maintain uniform moisture distribution and foam structure. While higher power levels promote faster drying but greater puffing, they also lead to increased non-uniformity and potential degradation of product quality. By contrast, lower power settings result in a more controlled drying process, with less variation in moisture content and foam thickness, suggesting that a balance between power and temperature is crucial for optimizing the drying process.

Microstructural analysis of dried foamed mango

To further examine the structural integrity of dried foamed mango, Scanning Electron Microscopy (SEM) was used to analyze the microstructure. Figure 7 shows SEM images at 60°C with microwave power levels of (a) 250 W, (b) 380 W, and (c) 500 W. These images highlight how varying drying conditions affect porosity, cell wall integrity, and foam morphology, providing insights into the puffing and collapse behavior at a microscopic level. This analysis is essential for optimizing drying parameters to enhance product quality.

Figure 7. SEM images of dried foamed mango at 60°C combined with microwave heating at (A) 250 W, (B) 380 W, and (C) 500 W.

Figure 7A presents an SEM image of dried foamed mango under the conditions of 250 W microwave power and 60°C air temperature. The image reveals a well-formed, porous structure with numerous cavities and interconnected channels, clearly illustrating the puffing effect that occurred during the drying process. This structural integrity aligns with the results discussed in Figure 4, where moderate drying rates and controlled air temperature promoted a gradual and controlled puffing process, resulting in a stable and uniform final structure. Research on foam drying processes suggests that controlling drying rates is key to maintaining foam stability, and avoiding excessive puffing and collapse (Prawiranto et al., 2019; Thuwapanichayanan et al., 2008).

The relatively controlled pore distribution observed in Figure 7A corresponds to the lower deviation in foam thickness (1.6 cm) reported in Table 1, indicating that the drying process at 250 W and 60°C successfully limited excessive foam expansion. This suggests that moisture evaporation was well-regulated, preventing rapid puffing and the formation of large cavities. Similar studies have highlighted the importance of regulating the drying speed to maintain the structural integrity of foams, ensuring that expansion is minimized (Du et al., 2021). Instead of promoting aggressive expansion, these conditions maintained the foam height close to its original state, minimizing structural collapse and ensuring a more uniform microstructure. The gradual and controlled collapse phase, as reflected in Figure 4, supports the idea that moderate drying rates and air temperature are critical for achieving consistent physical properties. The lower deviations in moisture content and foam thickness demonstrate that limiting foam expansion results in a more stable final product without compromising textural quality. These findings are consistent with studies that emphasize the balance between foam stability and moisture removal during drying (Azeredo et al., 2006).

Moreover, the smaller and more uniformly distributed pores seen in this image point to the effectiveness of controlled drying at 250 W and 60°C. The even pore network indicates that moisture was removed steadily, helping preserve the foam volume and shape. This observation is consistent with the minimal deviations in moisture content and foam thickness reported in Table 1, reinforcing the conclusion that these moderate drying conditions yield a stable and high-quality final product with better structural integrity. Similar results have been observed in studies where carefully controlled drying led to uniform pore structures in foam materials (Qadri et al., 2020; Thuwapanichayanan et al., 2008).

In comparison, Figure 7B shows the microstructure of foamed mango dried at 380 W microwave power and 60°C air temperature. While the foam still exhibits a porous structure, there are more irregularities in pore size and distribution, indicating that the higher power led to less control over the puffing process. The larger and more uneven pores reflect the excessive expansion seen in Figure 5, where the foam expanded too rapidly, resulting in less uniform structural integrity. Although the collapse was more gradual than at higher power settings, the aggressive puffing caused by 380 W led to increased variability in pore size, which could negatively impact the texture and uniformity of the final product. Similar effects of higher drying rates have been noted in other foam drying studies, where higher energy inputs led to greater puffing and structural instability (Prachayawarakorn et al., 2024; Thuwapanichayanan, et al., 2012). The findings suggest that 380 W induced faster and less controlled puffing, compromising the goal of maintaining the foam structure close to its original height. The irregularities seen in Figure 7B indicate that higher drying rates led to more significant foam expansion, which should be minimized to ensure better consistency and product quality. Limiting puffing through lower power settings may be more effective in achieving a uniform and stable foam structure during drying.

The moderate deviation in foam thickness (2.2 cm) at 380 W, as reported in Table 1, reflects the increased but still manageable expansion observed in Figure 7B. While the pore distribution was less uniform than at 250 W, the foam structural integrity remained relatively intact despite the higher power input. This suggests that while 380 W caused faster foam expansion, the collapse phase was still somewhat controlled, resulting in a more balanced drying process compared with higher power settings. However, the increased variability in pore size indicates that the higher power still led to undesired expansion. Research on foam drying has shown that higher drying rates can often result in structural instability if not carefully managed (Du et al., 2021). Therefore, the combination of 380 W and 60°C offers a middle ground between drying speed and product uniformity. Although the foam retained its structure for a longer duration compared to higher power levels, there remains room for improvement in reducing pore irregularities and achieving more consistent structural integrity, which could be better controlled at lower power levels.

Figure 7C, which depicts the microstructure of foamed mango dried at 500 W microwave power and 60°C air temperature, shows a highly disrupted and irregular structure. Larger voids and poorly defined cell walls dominate the image, indicating rapid and uneven puffing. The aggressive heating at 500 W caused the foam to expand too quickly, leading to structural instability as the foam could not withstand the fast moisture removal. This resulted in an early and abrupt collapse, as observed in Figure 6. Similar studies on high drying rates have shown that excessive heat can lead to rapid puffing and structural failure (Azeredo et al., 2006). The rapid expansion followed by a swift collapse significantly compromised the foam structural integrity, highlighting the detrimental effect of high drying rates on foam structure. The large, uneven pore sizes seen in Figure 7C align with the higher deviation in foam thickness (2.5 cm) reported in Table 1, indicating pronounced nonuniformity. This instability underscores the impact of rapid moisture removal, which caused the foam to lose its ability to retain its expanded structure, ultimately leading to structural breakdown. The sharp collapse phase, evidenced in earlier figures, confirms that the intense drying conditions at 500 W degrade the foam internal structure quickly, leading to a compromised final product with reduced textural quality.

In summary, the SEM analysis highlights the clear trade-offs between drying speed and foam structural uniformity. Lower power settings, such as 250 W and 380 W, resulted in more controlled puffing, yielding stable and uniform foam structures with smaller, evenly distributed pores, as evident in Figures 7A,B. On the other hand, the highest power setting (500 W) sped up the drying process but led to larger, irregular pores and a fragile structure, as illustrated in Figure 7C. These results underscore the need for a careful balance between drying rates and temperature to achieve optimal drying efficiency while preserving the structural integrity and quality of the final product (Du et al., 2021; Thuwapanichayanan et al., 2008, 2012).

Comparison of foam structure and textural properties

Figure 8 presents cross-sectional images of dried foamed mango under two distinct conditions: (A) without puffing control, and (B) with puffing control implemented through image processing techniques. The structural disparities between the two conditions are striking, and they correspond with the earlier findings discussed in Figures 46 and Table 1, showcasing the importance of puffing regulation for product quality.

Figure 8. Cross-sectional images of dried foamed mango. (A) non-puffing control and (B) puffing control.

In Figure 8A, where no puffing control was applied, the foam structure is notably irregular and compacted, with visible cavities and uneven puffing throughout. This inconsistency mirrors the earlier findings from Figure 6, where uncontrolled expansion at higher microwave power settings caused rapid and excessive foam expansion. The absence of puffing control led to uneven expansion, resulting in certain foam areas becoming overly compacted while others expanding irregularly. This contributed to a final product with compromised texture and nonuniformity. Similar observations have been made in studies involving foam structure during drying processes, where rapid moisture removal leads to structural degradation and irregularities in porosity (Prawiranto et al., 2019). The uneven expansion pattern is further evidenced by the higher deviations in foam thickness reported in Table 1, particularly at elevated microwave powers like 500 W, where these effects were most pronounced.

In contrast, Figure 8B, where puffing control was applied, displays a much more uniform and stable foam structure. The foam exhibits minimal compression, with evenly distributed pores and improved structural integrity. The use of real-time puffing control, facilitated by image processing techniques, effectively limited foam expansion and kept the foam thickness close to its original state, maintaining the foam structure throughout the drying process. This aligns with research showing that controlling expansion behavior can result in more stable foam structures and improved product quality (Prachayawarakorn et al., 2024). The findings highlight the effectiveness of controlling microwave power based on foam puffed thickness, which prevented excessive foam expansion seen in the uncontrolled process and contributed to a higher-quality final product. The more evenly distributed pores and the smoother cross-section, free from large cavities, reflect the advantages of maintaining structural stability through controlled puffing, consistent with studies on foam stability under various drying methods (Azeredo et al., 2006; Qadri et al., 2020).

The effectiveness of puffing control is particularly noticeable in preventing the prolonged expansion that could lead to structural interference in the foam. The uniform and stable structure observed in Figure 8B reinforces the conclusion that utilizing image processing techniques to regulate the drying process significantly enhances the quality of the dried foam. Adjusting microwave power when the foam reached a critical expansion threshold minimized the risk of overexpansion, allowing the foam to retain its intended texture and porosity. Similar control mechanisms are beneficial in maintaining product integrity in drying processes where temperature and moisture regulation play a critical role (Thuwapanichayanan et al., 2008). This conclusion is further supported by the lower deviations in foam thickness and improved structural uniformity reported in Table 1, particularly under more moderate drying conditions, such as 380 W at 60°C.

In conclusion, the comparison between the two conditions in Figure 8 demonstrates that implementing puffing control results in a markedly superior final product, with greater structural integrity and uniformity. By utilizing image processing technology to monitor and adjust the drying process in real-time, the risk of excessive expansion is minimized. This approach leads to enhanced textural properties and a more consistent, stable product. The findings highlight the significant advantages of puffing control, particularly in maintaining the porous structure and reducing nonuniformity, ultimately producing higher-quality dried foamed mango (Du et al., 2021; Thuwapanichayanan et al., 2012).

Figure 9 provides SEM images that offer further insight into the microstructural differences between foamed mango dried without puffing control (A) and with puffing control (B), complementing the findings from Figure 8. The SEM images reveal the detailed surface and internal structures, confirming the advantages of using image processing techniques for controlling foam expansion during the drying process.

Figure 9. SEM images of dried foamed mango. (A) under non-puffing control and (B) puffing control.

In Figure 9A, the microstructure of the foam dried without puffing control reveals large, irregular voids, compressed sections, and fewer defined cell walls. The compromised structural integrity is clear, with multiple areas showing collapse or severe distortion, reflecting the cross-sectional irregularities noted in Figure 8A. The presence of large, uneven pores indicates that the foam underwent uncontrolled expansion due to microwave-assisted drying, resulting in a highly non-uniform structure. This aligns with studies that have shown how the lack of control during drying leads to foam expansion followed by collapse, producing irregular porous structures (Prawiranto et al., 2019). These observations highlight how the absence of puffing control causes rapid and uneven expansion, leading to structural degradation. As confirmed by the higher deviations in foam thickness presented in Table 1, the irregular pore distribution and collapsed areas emphasize the difficulty of maintaining foam integrity during uncontrolled drying, especially under higher microwave powers. This issue of irregular foam expansion and collapse has been observed in other studies investigating the effects of high drying rates on foam structures (Du et al., 2021).

Figure 9B, on the other hand, shows a highly consistent and well-formed porous structure when puffing control was utilized. The foam exhibits smaller, more evenly distributed pores and a stable network of cell walls, successfully maintaining the foam’s expanded structure. This uniformity in pore size and distribution illustrates the effectiveness of the controlled drying process, where real-time adjustments to microwave energy minimized excessive expansion and collapse. Similar benefits of controlled drying have been reported in the application of hybrid drying technologies, which aim to optimize structural stability by regulating heat and mass transfer during drying (Qadri et al., 2020). The structural stability seen in Figure 9B is consistent with the lower deviation in foam thickness recorded in Table 1, underscoring the advantages of regulating microwave power based on foam expansion behavior. This controlled drying process not only resulted in a more stable and uniform foam structure but also minimized the risk of collapse, thus improving textural properties. Prior research supports this finding, emphasizing the importance of maintaining a uniform porous network during drying to preserve product quality (Prachayawarakorn et al., 2024).

The enhanced microstructure also corresponds to the smoother cross-section observed in Figure 8B, where the foam retained its expanded form without significant compression or irregularities. The SEM images demonstrate that puffing control significantly enhances the consistency and quality of the final product, suggesting that the foam texture will be more uniform and desirable. The relationship between pore structure and textural properties in food foams has been extensively studied, with evidence showing that a more consistent pore distribution leads to better textural outcomes, such as crispness and hardness, which are desirable in dried foamed products (Thuwapanichayanan et al., 2008).

In conclusion, the combined results from Figures 8 and 9 demonstrate the effectiveness of puffing control in enhancing the structural integrity and uniformity of dried foamed mango. The SEM images in Figure 9 provide microscopic evidence that applying puffing control produces a more consistent, well-preserved porous structure, significantly reducing the risk of collapse. This improved uniformity, particularly in pore distribution, highlights the critical role of real-time control during the drying process. As a result, the final product benefits from superior texture and structural integrity, confirming the value of regulated microwave drying in producing high-quality dried foams (Azeredo et al., 2006; Thuwapanichayanan et al., 2012).

The textural properties of dried foamed mango were evaluated under different microwave power levels, including the implementation of puffing control, to better understand how these variables affect the structural quality of the final product. The two key textural attributes analyzed were hardness (measured by peak force) and crispness (measured by count peak), as shown in Table 2.

Table 2. Textural attributes of dried foamed mango.

Condition Hardness (g) Count peak (−)
250 W 74.96 ± 15.90a 37.11 ± 6.66b
380 W 76.84 ± 9.50a 37.00 ± 5.50b
500 W 58.73 ± 5.75a 29.11 ± 6.29b
Puffing control 21.87 ± 5.20b 50.00 ± 5.29a

Different superscripts in the same column represent significant difference at p <0.05.

At 250 W microwave power, the foam exhibited the highest hardness value (74.96 ± 15.90 g) and a moderate count peak value (reflecting crispness) of 29.11 ± 6.29, indicating that the foam had a dense, firm structure. This is likely due to the slower, more controlled moisture removal at lower microwave power, which allowed the foam to retain more of its structure during drying. The higher hardness suggests less puffing, and the foam maintained a more compact texture. Studies have shown that lower heat input during drying can result in firmer, more compact structures, as moisture has more time to diffuse out slowly, reducing the risk of excessive puffing and collapse (Prawiranto et al., 2019).

In comparison, at 380 W, hardness decreased slightly (76.84 ± 49.50 g), while the count peak increased to 35.50 ± 7.20, indicating more crispness compared to the 250 W condition. The slight reduction in hardness at this power level reflects an intermediate drying condition where the foam began to expand more, but without losing its structural integrity completely. This aligns with findings from foam-drying studies where moderate drying rates helped maintain structural integrity without causing collapse (Azeredo et al., 2006). The increase in count peak indicates that moderate microwave power improved the foam porous structure, leading to better crispness.

At 500 W, hardness dropped significantly to 58.73 ± 35.75 g, and the count peak also decreased to 29.11 ± 6.29, reflecting the more fragile and collapsed foam structure observed in SEM images from Figure 9A. The rapid moisture removal caused by the higher microwave power led to significant puffing and subsequent collapse, resulting in a softer, less stable foam. Previous studies have highlighted how high-temperature drying can lead to uncontrolled foam expansion, creating larger pores and a weakened structure that collapses more easily (Du et al., 2021). The lower count peak value reflects reduced crispness, which can be attributed to the irregular pore sizes and weakened cell walls, making the foam less crisp and consistent under high microwave power.

The condition with puffing control exhibited the lowest hardness (21.87 ± 5.20 g) but had the highest count peak (50.00 ± 5.29), indicating that while the foam was softer, it retained a higher degree of crispness and structural uniformity. This reflects the benefits of using puffing control, which prevented over-expansion and collapse by adjusting microwave power in real-time, leading to a more consistent foam structure with smaller, more evenly distributed pores. Studies have shown that controlled drying conditions, particularly when foam expansion is monitored and regulated, result in better textural outcomes, such as increased crispness and uniformity (Thuwapanichayanan et al., 2012). The lower hardness and higher count peak indicate that the foam was easier to fracture, contributing to a desirable crisp texture without significant collapse. Controlled drying processes like these are key to achieving high-quality dried foams with uniform porosity and textural properties (Thuwapanichayanan et al., 2008).

In conclusion, the results presented in Table 2 demonstrate that implementing puffing control during drying improves the foam’s texture, reducing hardness while increasing crispness (count peak). These findings further emphasize the importance of regulating microwave power during the drying process to achieve optimal textural properties, preventing structural collapse and ensuring a more uniform, high-quality product (Thuwapanichayanan et al., 2008).

Conclusions

This study demonstrated that controlling microwave power and applying puffing control are crucial for improving the structural integrity and textural quality of dried foamed mangoes. High microwave power led to rapid foam expansion and collapse, compromising the final product’s uniformity and crispness. In contrast, moderate microwave power (380 W) combined with puffing control allowed for more consistent pore distribution, resulting in improved structural stability and a crispier texture. The SEM analysis confirmed that puffing control effectively minimized pore irregularities and enhanced product quality.

The findings have important implications for the food drying industry, suggesting that real-time monitoring and control of expansion during microwave-assisted drying can lead to better textural outcomes in foamed products. The implementation of such control mechanisms could optimize drying processes for a variety of foamed food products, enhancing their commercial viability by improving product consistency and consumer satisfaction.

Future research should explore the application of puffing control in other foam-based food systems and investigate the combination of microwave power with other drying techniques, such as vacuum or freeze drying, to further optimize product quality. Additionally, scaling up the use of puffing control in industrial drying processes would be valuable for improving efficiency and uniformity in large-scale production.

Acknowledgment

This research project was financially supported by the Thailand Science Research and Innovation (TSRI). The authors also extend their appreciation to Mahasarakham University, Thailand, for facilities.

AI Declaration Statement

The authors declare that they only use AI-assisted technologies to improve readability and language, not for the creation of images, graphics, tables, or their corresponsing captions.

Authors Ccontributions

Conceptualization, Prarin Chupawa; methodology, Wasan Duangkhamchan; software, Prarin Chupawa; formal analysis, Wasan Duangkhamchan; investigation, Pattamaporn Gaewsondee; data curation, Pattamaporn Gaewsondee; writing−original draft preparation, Wasan Duangkhamchan, Pattamaporn Gaewsondee; writing−review and editing, Wasan Duangkhamchan, Prarin Chupawa; supervision, Prarin Chupawa; project administration, Wasan Duangkhamchan; Funding acquisition, Prarin Chupawa.

Conflicts of Interest

The authors declare no conflict of interest.

Funding

This research project was funded by the Thailand Science Research and Innovation (TSRI).

Data Availability

Data will be made available on request.

Declaration of Interests

The authors declare that they have no known competing financial interests or personal relationships that could have appeared to influence the work reported in this article.

REFERENCES

Azeredo, H.M.C., Brito, E.S., Moreira, G.E.G., Farias, V.L., and Bruno, L.M., 2006. Effect of drying and storage time on the physico-chemical properties of mango leathers. International Journal of Food Science and Technology. 41: 635–638. 10.1111/j.1365-2621.2005.01120.x

Chaux-Gutiérrez, A.M., Santos, A. B., Granda-Restrepo, D.M., and Mauro, M.A., 2017. Foam mat drying of mango: Effect of processing parameters on the drying kinetic and product quality. Drying Technology. 35: 631–641. 10.1080/07373937.2016.1201486

Dong, W., Kitamura, Y., Kokawa, M., Suzuki, T., and Amini, R.K., 2024. Microstructural Modification and Sorption Capacity of Green Coffee Beans. Foods. 13(21): 3398. 10.3390/foods13213398

Du, L., Jiang, Q., Li, S., Zhou, Q., Tan, Y., and Meng, Z., 2021. Microstructure evolution and partial coalescence in the whipping process of oleofoams stabilized by monoglycerides. Food Hydrocolloids. 112: 106245. 10.1016/j.foodhyd.2020.106245

Gao, R., Xue, L., Zhang, Y., Liu, Y., Shen, L., and Zheng, X., 2022. Production of blueberry pulp powder by microwave-assisted foam-mat drying: Effects of formulations of foaming agents on drying characteristics and physicochemical properties. LWT. 154: 112811. 10.1016/j.lwt.2021.112811

Horwitz, W., 2005. Official methods of analysis of AOAC International. In: Horwitz, W., editor. 18th ed. Gaithersburg: AOAC International.

Joardder, M.U.H., and Karim, A., 2023. Pore evolution in cell walls of food tissue during microwave-assisted drying: An in-depth investigation. Foods. 12(13): 2497. 10.3390/foods12132497

Prachayawarakorn, S., Sukserm, S., and Thuweapanichayanan, R., 2024. Changes in mango foam morphology and its effects on texture and selected phenolics during foam mat drying. Drying Technology. 1–17. 10.1080/07373937.2024.2336606

Prawiranto, K., Defraeye, T., Derome, D., Bühlmann, A., Hartmann, S., Verboven, P., et al., 2019. Impact of drying methods on the changes of fruit microstructure unveiled by X-ray micro-computed tomography. RSC Advances. 9: 10606. 10.1039/c9ra00648f

Qadri, O.S., and Srivastava, A.K., 2014. Effect of microwave power on foam-mat drying of tomato pulp. Agricultural Engineering International: CIGR Journal. 16: 238–244.

Qadri, O.S., and Srivastava, A.K., 2017. Microwave-assisted foam mat drying of guava pulp: Drying kinetics and effect on quality attributes. Journal of Food Process Engineering. 40: e12295. 10.1111/jfpe.12295

Qadri, O.S., Srivastava, A.K., and Yousuf, B., 2020. Trends in foam mat drying of foods: Special emphasis on hybrid foam mat drying technology. Critical Reviews in Food Science and Nutrition. 60(10): 1667–1676. 10.1080/10408398.2019.1588221

Rajkumar, P., Kailappan, R., Viswanathan, R., Parvathi, K., Raghavan, G., and Orsat, V., 2007a. Thin layer drying study on foamed mango pulp. Agricultural Engineering International: CIGR Journal. 6: 1–14.

Rajkumar, P., Kailappan, R., Viswanathan, R., Raghavan, G., and Ratti, C., 2007b. Foam mat drying of alphonso mango pulp. Drying Technology. 25(2): 357–365. 10.1080/07373930601120126

Rakesh, V., and Datta, A.K., 2011. Microwave puffing: Determination of optimal conditions using a coupled multiphase porous media—Large deformation model. Journal of Food Engineering. 107(2): 152–163. 10.1016/j.jfoodeng.2011.06.031

Sansomchai, P., Sroynak, R., and Tikapunya, T., 2023. Powder qualities of foam-mat dried mango. Trends in Sciences. 20(5): 5308. 10.48048/tis.2023.5308

Taşova, M., Polatcı, H., and Dursun, S.K., 2023. Comparison of the performance of a modified temperature-controlled microwave dryer to improve heat-mass transfer, increase energy efficiency and preserve quality characteristics of shad (Alosa fallax Nilotica). International Communications in Heat and Mass Transfer. 144(2): 106772. 10.1016/j.icheatmasstransfer.2023.106772

Thuwapanichayanan, R., Prachayawarakorn, S., and Soponronnarit, S., 2008. Drying characteristics and quality of banana foam mat. Journal of Food Engineering. 86: 573–583. 10.1016/j.jfoodeng.2007.11.008

Thuwapanichayanan, R., Prachayawarakorn, S., and Soponronnarit, S., 2012. Effects of foaming agents and foam density on drying characteristics and textural property of banana foams. LWT–Food Science and Technology, 47: 348–357. 10.1016/j.lwt.2012.01.030

Tran, N.T.Y., Le, T.T.T., Nghia, N.H., Nhu, D.B., Huynh, L.B., Nguyen, T.X.T., et al., 2023. Developing mango powders by foam mat drying technology. Food Science and Nutrition. 11: 4084–4092. 10.1002/fsn3.3397

Xie, Y., Liu, Q., Mao, C., Pang, H., Ye, P., Cui, B., et al., 2024. Radio frequency puffing of purple sweet potato nutritious snacks. Journal of Food Engineering. 367: 111894. 10.1016/j.jfoodeng.2023.111894