Download

ORIGINAL ARTICLE

Cyclodipeptides (CDPs), the enzymatic synthesis, and the potential functional properties to exhibit broad varieties of pharmacological properties—A comprehensive review

Chasheen Fizza1,2, Muhammad Israr1, Muhammad Jalal Khan3, Abid Sarwar3, Tariq Aziz2,3, Cui Chun1*, Liqing Zhao2*, Majid Alhomrani4, Walaa F. Alsanie4, Abdulhakeem S. Alamri4, Fahad Al-Asmari5, Fakhria A. Al-Joufi6

1School of Food Science and Engineering South China University of Technology Guangzhou, Guangdong, China;

2Department of Food Science and Technology, College of Chemistry and Environmental Engineering Shenzhen University, Guangdong, China;

3Beijing Advanced Innovation Center for Food Nutrition and Human Health Beijing Technology and Business University Beijing China;

4Department of Clinical Laboratory Sciences, The faculty of Applied Medical Sciences, Taif University, Taif, Saudi Arabia;

5Department of Food and Nutrition Sciences, College of Agricultural and Food Sciences, King Faisal University, Al Ahsa, 31982, Saudi Arabia;

6Department of Pharmacology, College of Pharmacy, Jouf University, 72341 Aljouf, Saudi Arabia

Abstract

Cyclodipeptides (CDPs) are distinct chemical scaffolds that show a wide range of bioactivities pertinent to medicine, agriculture, chemical catalysis, and material sciences. CDPs, also known as diketopiperazines (DKPs), are tiny naturally occurring peptides that have sparked interest due to their various bioactive features and possible applications in the food, pharmaceutical, and medical sectors. CDPs are produced by the intramolecular cyclization of two amino acids and can be found in a variety of environments, such as fungi, plants, animals, bacteria, and processed foods. CDPs are highly stable because of their solid structure and durability against enzymatic degradation, making them appropriate choices for medicinal and functional food applications. CDPs are frequently seen as undesirable byproducts in processed meals, especially those that include dairy, meat, and fermented drinks; new research indicates that they may improve flavor and benefit human health. Bioactive substances having anti-inflammatory, antibacterial, antioxidant, and neuroprotective qualities have been recognized as CDPs. Certain CDPs, such cyclo(Phe-Pro), along with cyclo(Pro-Pro), have shown promise in controlling metabolic and cognitive functions in the body, while others, such as cyclo(His-Pro), have demonstrated anticancer activity by causing cancer cells to undergo apoptosis. In spite of widespread research, little is known about the precise health consequences and ideal levels of CDP intake from dietary sources. Considering this, the present review attempts to compile the most recent information on the occurrence, generation, and biological activity of CDPs. To completely comprehend CDPs’ bioactivity and their significance to human health, more research is required. Additionally, creative approaches for using these peptides for creating functional foods and preventing diseases should be investigated.

Key words: antimicrobial activity, bioactivity, CDPs, food, pharmacological properties

*Corresponding Authors: Cui Chun, School of Food Science and Engineering South China University of Technology Guangzhou, Guangdong, China. Email: cuichun@scut.edu.cn; Liqing Zhao, Department of Food Science and Technology, College of Chemistry and Environmental Engineering Shenzhen University, Email: lqzhao@szu.edu.cn

Academic Editor: Prof. Tommaso Beccari – Università degli Studi di Perugia, Italy

Received: 16 September 2024; Accepted: 2 November 2024; Published: 1 January 2025

DOI: 10.15586/ijfs.v37i1.2829

© 2025 Codon Publications
This is an Open Access article distributed under the terms of the Creative Commons Attribution-NonCommercial-ShareAlike 4.0 International (CC BY-NC-SA 4.0). License (http://creativecommons.org/licenses/by-nc-sa/4.0/)

Introduction

Cyclodipeptides (CDPs), also known as cyclic dipeptides or 2,5-diketopiperazines (2,5-DKPs), are the smallest cyclodipeptides in nature comprising two amino acids and have gained increasing attention for their bioactivity and flavor-enhancing properties (Wahyu and Sonja, 2023; Zhao et al., 2021a). CDPs are found in various sources, such as fungi, bacteria, plants, and animals. The fundamental structure of CDPs is present in several pharmaceuticals as well (Borthwick and Da Costa, 2017). CDPs are synthesized via the intra-molecular condensation of a pair of amino acids in linear peptides or proteins. CDPs possess advantageous characteristics, such as high capacity for hydrogen bonding, structural rigidity, and resistance to enzymatic degradation, rendering them highly desirable for various applications, including pharmaceutical development and food science (Zhao et al., 2021a).

In the food industry, CDPs are often considered unwanted byproducts of oligo- and poly-peptides in processed foods and beverages (Otsuka et al., 2019). They can be formed during chemical and thermal processing (Prasad, 1995), and their presence affects the taste and sensory properties of the final product. However, CDPs are also found in various fermented foods, such as dried bonito, cocoa, pu-erh tea, sake, coffee, and chicken extracts (Otsuka et al., 2019). In these foods, CDPs can contribute to the taste of food, being perceived as astringent, salty, grainy, metallic, or bitter (Borthwick and Da Costa, 2017; Yang et al., 2024). Owing to their unique flavor-enhancing properties, CDPs are widely used in the food and beverage industry as flavor enhancers.

Apart from their flavor-enhancing properties, CDPs are found to have bioactivity and are linked to various human diseases and disorders, such as Parkinson’s disease, Huntington’s disease, and schizophrenia. Simple neuroactive CDPs from dietary sources are shown to play a role in behavior, cognition, and metabolism. However, the levels of CDPs in food and their potential health effects are not well understood (Borthwick and Da Costa, 2017; Malonis et al., 2020). Moreover, CDPs are investigated for their antimicrobial, antioxidant, and anti-inflammatory properties, which have potential applications in the treatment of various diseases (Zhao et al., 2021a). Despite their potential benefits, the levels of CDPs in food and their potential health effects are not well studied. Further research is needed to investigate the bioactivity of CDPs and their potential health effects. In addition to their presence in food, CDPs are synthesized by chemical or enzymatic means. They are hormone-like substances and are widely distributed in nature (Bellezza et al., 2019). Some of the most well-known CDPs include cyclo(Phe-Pro), cyclo(Pro-Pro), and cyclo(Phe-Leu) (Otsuka et al., 2019).

Cyclopeptides are studied extensively for their potential applications in drug design and pharmaceuticals because of their unique structural properties and bioactivity. For example, cyclo(Phe-Pro) has been found to inhibit the activity of enzymes that play a role in the formation of amyloid-beta peptides, which are implicated in Alzheimer’s disease (Borthwick and Da Costa, 2017). Additionally, it has been demonstrated that cyclo(Pro-Pro) possesses anti-inflammatory characteristics, rendering it a viable contender (Zhao et al., 2021a). Overall, CDPs are a promising area of research because of their diverse bioactivity and their potential applications in various fields, such as food technology, drug design, and pharmaceuticals. Although they are often considered unwanted byproducts in processed foods, they are widely distributed in nature and can be found in various fermented foods. Further research is needed to investigate the bioactivity of CDPs and their potential health effects, which could lead to the development of new drugs and therapies to combat various diseases.

Structure of Cyclodipeptides

The CDP molecules comprise two cis-amide bonds that exhibit two H-bond acceptors as well as two H-bond donor sites, which are crucial for their interaction with enzymes and receptors. The 2,5-DKPs ring (Figure 1) offers six possible positions for the addition of substituents, and up to four positions that allow for control of stereochemistry.

Figure 1. 2,5-diketopiperazine (2,5-DKP) ring structure (Borthwick et al., 2012).

This leads to a wide range of structural diversity. The semirigid 2,5-DKPs present in CDP can exist in either a planar or a little puckering boat conformation, as illustrated in (Figure 2). The two forms exhibit only minor difference in energy, with a variance of a few kcal/mol (Bojarska and Wolf, 2020; Milne and Kilian, 2010). Extensive research is conducted on the conformation of unsubstituted CDP, specifically cyclo(Gly-Gly). In 1938, the crystal structure of cyclo(Gly-Gly) was initially resolved, revealing its planar configuration in solid-state (Core, 1993). The current body of research on vibrational spectra analysis and density functional theory (DFT) calculations supports the notion that cyclo(Gly-Gly) assumes a planar conformation in both solution and solid-state. A recent investigation utilizing microwave spectral data of cyclo(Gly-Gly) in its gaseous phase has demonstrated that the molecule, when isolated, assumes a boat conformation possessing C2 symmetry (Bettens et al., 2000). The minimal energy disparity between boat and planar conformations implies that the imposition of a planar configuration is achievable through external forces originating from the crystal or solution environment. A systematic quantum chemical study was conducted on 20 symmetrical cis-disubstituted 2,5-DKP. The study revealed that the boat conformation was the lowest-energy structure in an environment that was not restricted by crystal forces. The majority of the crystal structures that are presently known comprise di-, tri-, and tetrasubstituted chemical compounds. Multiple investigations conducted in both solution and solid-state have demonstrated that the 2,5-DKP rings present in cis-disubstituted and trisubstituted compounds tend to adopt flattened-boat or twist-boat conformations (Figure 2). This behavior is particularly observed when the substituents are aryl methyl groups (Borthwick et al., 2012). The adoption of a boat conformation within the solid-state is confirmed recently through X-ray structures of symmetrically substituted 2,5-DKP with ring geometries (Mendham et al., 2010a, 2010b).

Figure 2. Configurations of cyclodipeptide (CDP) rings (adapted from Borthwick et al., 2012).

The configuration of 2,5-DKP ring in CDP is significantly impacted by the substituents that are present in the ring. The avoidance of steric interaction between the side chains of substituted CDP is observed to exert a strong influence on the conformation of the six-membered ring. The conformation of the ring in CDP molecules bearing aromatic side chains is subjected to the influence of aromatic substituents, which have the propensity to overlap with 2,5-DKP ring. The conformational characteristics of 2,5-DKP rings are influenced by the quantity and positioning of substitutes on the ring. In symmetric CDP, the central ring typically assumes a planar conformation. However, in symmetric trans-disubstituted CDP, the central rings exhibit a range of conformations, from planar to flattened-chair (Borthwick et al., 2012).

Cyclodipeptides Occurring in Food

Cyclodipeptides are small protein-like compounds present in certain foods such as beer, roasted coffee, cocoa, and cheese (Brauns et al., 2004). They are present, especially as polypeptide breakdown products, in foods and beverages, and may influence their taste (Nilov et al., 2018) (Table 1).

Table 1. Cyclodipeptides (CDPs) in food sources.

Food CDPs References
Meat Beef Cyclo(Pro-Val), cyclo(Pro-Val), cyclo(Pro-Pro), cyclo(Pro-Pro, cyclo(Ile-Pro), cyclo(Ile-Pro), cyclo(Leu-Pro), cyclo(Leu-Pro), cyclo(Phe-Val), cyclo(Met-Pro), cyclo(Phe-Pro) Chen et al., 2009; Goethals et al., 2020
Chicken Cyclo(Ala-Ser), cyclo(Phe-Pro), cyclo(Pro-Gly), cyclo(Pro-Leu), cyclo(Pro-Thr), cyclo(Pro-Tyr), cyclo(Pro-Val), and cyclo(Phe-Pro) Chen et al., 2004; Ni et al., 2021; Zhang et al., 2022; Zhou et al., 2019
Fish Cyclo(Ile-Tyr), cyclo(Lys-Trp), cyclo(Val-Tyr), and cyclo(Ile-Tyr), Ou et al., 2016
Microorganisms Lactic acid bacteria Cyclo(Phe-Pro), cyclo(Leu-Pro) Kwak et al., 2013
Sourdough and bread Cyclo(Leu-Pro), cyclo(Phe-Pro), cyclo(Leu-Pro), cyclo(LPhe-L-Pro Ryan et al., 2009
Yeast Cyclo(Gly-Met), cyclo(Ala-Met), cyclo(Met-Val), cyclo(Leu-Met),
cyclo-(Ile-Met), cyclo(Met-Pro), cyclo(Met-Met), cyclo(Met-Phe)
Da Costa et al., 2010
Beverages Beer Cyclo(Ala-Pro), cyclo(Val-Pro), cyclo(IlePro), cyclo(Leu-Pro), cyclo(Met-Pro), cyclo(Phe-Pro), and cyclo(Pro-Pro) Gautschi et al., 1997
Pureh tea extract Cyclo(Ser-Ser), cyclo(Asp-Asp), Cyclo(Gly-Gly), cyclo (Glu-Gly), cyclo(Ser-Tyr), cyclo(Asp-Phe), cyclo(Met-Met), cyclo(-Phe-Phe), cyclo(-Pro-Thr), cyclo(-Pro-Pro), cyclo(-Gly-Leu), cyclo(Val-Pro), cyclo(-Leu-Pro), cyclo(Phe-Pro), cyclo(-Leu-Trp), and cyclo(Leu-Leu) Yamamoto et al., 2016
Sake Cyclo(Leu-Leu), cyclo(Met-Pro), cyclo-(Leu-Phe), and cyclo(Phe-Met) Takahashi et al., 2016)
Wines Cyclo(Leu-Leu), cyclo (Leu-Pro), cyclo(Phe-Pro), cyclo Leu-Phe), cyclo(Val-Phe), cyclo(Ala-Phe) Stamatelopoulou et al., 2018
Dairy Cheeses Cyclo(Gly-His), cyclo(Ala-His), cyclo(Ser-Ser), cyclo(Gly-Gly), cyclo(Glu-Gly), cyclo(Asp-Asp), cyclo(Ala-Gln), cyclo(His-Pro), cyclo(Lys-Pro), cyclo(Ala-Ala), cyclo(Asn-Pro), cyclo(Gly-Pro), cyclo(Arg-Pro), cyclo(Asp-Pro), cyclo(Thr-Pro), cyclo(Gln-Pro), cyclo(Ser-Tyr), cyclo(Ala-Pro), cyclo(Glu-Pro), cyclo(Cys-Pro), Cyclo(His-Phe), cyclo(Pro-Pro), cyclo(Phe-Ser), cyclo(Gly-Leu), cyclo(Tyr-Pro), cyclo(Val-Pro), cyclo(Gly-Phe), cyclo(Asp-Phe), cyclo(Met-Pro), cyclol(Gly-Trp), cyclot(Lie-Pro), cyclo(Leu-Pro), cyclo(Ser Pro), cyclo(Met-Melt), cyclo(Phe-Pro), cyclo (Leu-Trp) Coelho et al., 2022; Khorshidian et al., 2022; Otsuka et al., 2021
Powdered milk Cyclo(Thr-Pro), cyclo(Gly-His), cyclo(Lie-Pro), cyclo(Val-Pro), cyclo(Leu-Pro) Coelho et al., 2022
Corn distillers solubles Cyclo(Pro-Gly), cyclo(Phe-Pro) Sharma et al., 2021
Corn oil Cyclo(Pro-Gly), cyclo(Pro-Ala), cyclo(Pro-Pro), cyclo(Pro-Val), cyclo(Pro-Glu), cyclo(Pro-Leu), cyclo(Pro-Phe), cyclo(Leu-Val), cyclo(Ile-Val), cyclo(Leu-Leu), cyclo(Leu-Phe), and cyclo(Phe-Gly) Alberdi-Cedeño et al., 2017, 2019
Cocoa Cyclo(Ala-Leu), cyclo(Ala-Phe), cyclo(Ala-Phe), cyclo(Ala-Pro), cyclo(Ala-Pro), cyclo(Glu-His), cyclo(Gly-Leu), cyclo(Gly-Phe), cyclo(His-Val), cyclo(Leu-Leu), cyclo(Leu-Phe), cyclo(Leu-Tyr), cyclo(Gly-Phe), cyclo(His-Val), cyclo(Phe-Ser) and cyclo(Phe-Tyr) André et al., 2022; Andruszkiewicz et al., 2019; Ginz and Engelhardt, 2001; Stark and Hofmann, 2005
Roasted coffee beans Cyclo(Pro-Gly), cyclo(Pro-Ala), cyclo(Phe-Val), and cyclo(Phe-Leu) Ginz and Engelhardt, 2000
Olives cyclo(Ala-Gly), cyclo-D-(Ala-Pro), cyclo-D-(AlaVal), cyclo(Pro-Val), cyclo(Ala-His), cyclo(Leu-Pro), cyclo(Phe-Pro), cyclo(Leu-Phe), cyclo(Phe-Phe), cyclo(His-Phe), cyclo(Leu-Trp), cyclo(Asp-Gly), cyclo(Asp-Asp), cyclo(Trp-Tyr), cyclo(Val-Val), cyclo(Gly-Leu), cyclo(Ser-Tyr), cyclo(Phe-Ser), and cyclo(Gly-Gly) Bratakos et al., 2016

CDPs: cyclodipeptides.

Meat

Research has shown that CDPs are formed if meat is subjected to high temperatures and cooked for a prolonged period, which leads to the Maillard reaction. The Maillard reaction is a chemical process that takes place between reducing sugars and amino acids, leading to the formation of novel compounds and the characteristic browning of meat. Studies have identified various CDPs in different types of meat, including beef, fish tilapia, and chicken. In stewed and dry-aged beef, CDPs, such as cyclo(Leu-Pro), cyclo(Ile-Pro), cyclo(Pro-Pro), cyclo(Phe-Val), cyclo(Ala-Pro), cyclo(Gly-Pro), cyclo(Met-Pro), cyclo(Gly-Leu), cyclo(Phe-Pro), cyclo(Phe-Val), and cyclo(Pro-Val), are found. The concentrations of these compounds in beef ranges from 2.0 ppm to 54.7 ppm (Chen et al., 2009; Khodorova et al., 2022). In chicken essence, CDPs, such as cyclo(Phe-Phe), cyclo(Pro-Ser), cyclo(Pro-Gly), cyclo(Pro-Thr), cyclo(Pro-Tyr), cyclo(Pro-Asn), and cyclo(Pro-Trp), are identified, with concentrations ranging from 0.06 ppm to 3.55 ppm (Chen et al., 2004; Ni et al., 2021). Moreover, the Maillard reaction commodities derived from the hydrolysate of warm-water fish tilapia are discovered to contain cyclo(Gly-Gly). This implies that the formation of CDPs is not limited to terrestrial animals but can also occur in aquatic animals. Additionally, cyclo(His-Pro) is an indigenous CDP that exhibits structural similarity to thyrotropin-releasing hormone (TRH). The compound in question was first identified in the brains of both animals and humans. It has been postulated that this substance is involved in the regulation of various physiological processes, including energy metabolism and food consumption (Minelli et al., 2008).

Dairy

Cyclodipeptides are found in dairy products, such as whey protein powder, casein meal, and cheese. These are the byproducts of the cleavage of terminal peptides that are formed during dairy processing and have various biological effects (Münger et al., 2018). Whey protein powders contain four CDPs: cyclo(Pro-Thr), cyclo(Ala-Ile), cyclo(Phe-Val), and cyclo(Leu-Val) that can cause a significant increase in CDP levels after consumption in human blood plasma (Stanstrup and Rasmussen, 2014). Milk and fermented products of milk, including yogurt, contain a very prominent CDP, cyclo(His-Pro) (Tulipano, 2020). Cheese varieties that have undergone the ripening process, such as semi-hard, hard, white mold, blue-veined, a combination of white and blue mold, and washed-rind cheeses, exhibit elevated levels of CDPs in comparison to unripened cheese, such as Mozzarella. Cheeses undergo a complex and prolonged ripening process that results in the formation and accumulation of CDPs. The types and concentrations of CDPs can differ depending on the cheese type and duration of ripening. For example, Camembert cheese has the following 20 CDPs: cyclo(His-Pro), 1.77 µg/g dry weight (dw), cyclo(Gly-Pro), 0.57 µg/g dw, cyclo(Thr-Pro), 0.71 µg/g dw, cyclo(Ala-Pro), 1.13 µg/g dw, cyclo(Pro-Pro), 0.49 µg/g dw, cyclo(Tyr-Pro), 2.44 µg/g dw, cyclo(Val-Pro), 4.92 µg/g dw, cyclo(Leu-Pro), 1.20 µg/g dw, cyclo(Phe-Pro), 6.00 µg/g dw, cyclo(Lys-Pro), 1.13, µg/g dw, cyclo(Asn-Pro), 0.44 µg/g dw, cyclo(Arg-Pro), 12.71 µg/g dw, cyclo(Asp-Pro), 0.20 µg/g dw, cyclo(Gln-Pro), 2.12 µg/g dw, cyclo(Glu-Pro), 2.22 g/g dw, cyclo(Met-Pro), 0.18 µg/g dw, cyclo(Ile-Pro), 0.62 µg/g dw, cyclo(Gly-Leu), 0.05 µg/g dw, cyclo(Phe-Ser), 0.08 µg/g dw, and cyclo(Asp-Phe), 0.05 µg/g dw, while the Mozerella cheese has only one CDP, that is, cyclo(Arg-Pro), 0.24 µg/g dw. The types and the concentration of CDPs in Gouda cheese increased from 11 and 5.18 µg/g dw if ripened for 30 days to 13 and 22.45 µg/g dw for the ripening period of 500 days, respectively. Literature demonstrates that the majority of CDPs in cheese varieties are generated from casein, the main protein present in milk (Xiao et al., 2021). This suggests that the cheese-making process plays an important role in the formation and accumulation of CDPs (Jo et al., 2018; Otsuka et al., 2021). While the presence of CDPs in dairy products is intriguing, more research is needed to fully understand their biological effects and to determine the optimal intake levels for achieving their potential health benefits (Hajirostamloo, 2010).

Microorganisms

Researchers from a variety of institutions have isolated a wide variety of CDPs, or chemically defined products, that are manufactured by particular bacteria and yeast. These CDPs are shown to possess powerful therapeutic capabilities. Lactic acid bacteria are well acknowledged for their ability to create a wide array of CDPs that may have positive effects on human health. Kwak et al. (2013) found that CDPs formed by bacteria from the fermented food kimchi in South Korea, specifically cyclo (Phe-Pro) and cyclo (Leu-Pro), have powerful antiviral activities. It has been discovered that the CDP cyclo(Phe-Pro), which was isolated from L. plantarum, P. alcaligenes, and P. fluorescens, possesses powerful antifungal and antibacterial actions (Stro, 2002). Methionine-containing CDPs, namely, cyclo(Met-Pro), cyclo(Gly-Met), cyclo(Met-Val), cyclo(Leu-Met), cyclo(Met-Met), cyclo(Ile-Met), and cyclo(Ala-Met), identified in hydrolyzed yeast provide foods characteristic flavors, such as bitter, creamy, milky, and vegetal (Da Costa et al., 2010). The cyclo (His-Pro) in wasted brewer’s yeast hydrolysate has been proposed as a potential antioxidative and antidiabetic material for manufacturing functional foods. This suggests that the CDPs synthesized by microorganisms have the potential to be a valuable source of novel therapeutic agents and functional food components with potential health advantages (Jung et al., 2011).

Corn oil

Cyclodipeptides are the components of corn oil, and are produced from certain amino acids, specifically proline, leucine/isoleucine, and phenylalanine. These CDPs are not present in other edible oils, such as olive, soybean, sunflower, and linseed oils, hence may also serve as useful markers for corn oil, as well as can be used to differentiate it from other edible oils. The CDPs found in corn oil are believed to act as antioxidants, contributing to the higher oxidative stability of corn oil, compared to other oils with similar levels of unsaturation. This makes corn oil a desirable option for food processing and cooking (Alberdi-Cedeño et al., 2017). Specific CDPs identified in corn oil include cyclo (Phe-Val), cyclo(Leu/Ile-Phe), and cyclo(Pro-Phe). These CDPs are shown to have antioxidant properties and may have potential health benefits, The discovery of CDPs in corn oil and their potential applications in the food industry and medicine provide promising avenues for future research and development (Alberdi-Cedeño et al., 2019).

Cocoa

Cyclodipeptides found in cocoa are accountable for the bitter taste of cocoa and play a significant role in shaping its distinctive flavor profile. Over 34 different CDPs are identified (see Table 1) in cocoa beans after roasting, and their presence and concentration differ based on the factors such as variety of cocoa beans used, processing method, and level of roasting (Andruszkiewicz et al., 2019). Research has indicated that cocoa’s CDPs possess potential health benefits, such as anti-inflammatory and antioxidant properties, as well as positive impacts on cognitive ability and neurodegenerative illnesses. Recent studies have shown that the type of cocoa beans used can significantly impact the content of CDPs in chocolate, regardless of the level of roasting or processing method employed by small producers (André et al., 2022). Researchers have found that the content of CDPs in chocolate can be used as an indicator of cocoa beans and can be influenced by the factor such as bean genotype. Some specific CDPs, such as cyclo(Ile-Pro), cyclo(Ala-Leu), cyclo(Pro-Val), cyclo(Ala-Ile), and cyclo(Val-Leu), have been identified as contributing to the bitter flavor of cocoa, with cyclo(Pro-Val) being the most dominant CDP (McClure et al., 2021; Stark and Hofmann, 2005).

Roasted coffee

Cyclodipeptides have garnered significant attention because of their diverse range of biological activities, with their bitter flavor being particularly noteworthy for their role in defining the bitterness of coffee (Bikaki et al., 2021). CDP derivatives originating from proline were identified in roasted coffee proteins and roasted coffee per se. Their presence in aqueous solutions at concentrations between 10 ppm to 50 ppm is associated with the manifestation of bitter taste (Ginz and Engelhardt, 2001). The most common CDP found in coffee beans is cyclo(Ile-Pro), providing a characteristic aroma and flavor to roasted coffee beans. In addition to cyclo (Ile-Pro), other CDPs found are cyclo(Phe-Ile), cyclo(Pro-Phe), cyclo(Pro-Pro), cyclo(Pro-Gly), cyclo(Phe-Val), cyclo(Pro-Ala), cyclo(Phe-Leu), cyclo(Pro-Leu), and cyclo(Pro-Val) (Ginz and Engelhardt, 2000, 2001).

Beverages

The amount and types of CDPs present in beverages vary depending on the brewing or fermenting process used. For example Gautschi et al. (1997) discovered the following seven proline-based CDPs in beer: cyclo(Ile-Pro), cyclo(Val-Pro), cyclo(Leu-Pro), cyclo(Pro-Pro), cyclo(Ala-Pro), cyclo(Met-Pro), and cyclo(Phe-Pro). A detection limit of 24 ppm is characterized as bitter, mouth-coating, drying, astringent, salty, metallic, and gritty in beer (Gautschi et al., 1997). Sakamura et al. (1978) discovered the following five CDPs in roasted malt-based black beer: cyclo(Phe-Pro), cyclo(Pro-Pro), cyclo(lIe-Pro), cyclo(Val-Pro), and cyclo(Leu-Pro). On the other hand, Takahashi et al. (2016) identified several CDPs and chemicals related to amino acids that contribute to unique taste and flavor in sake. The most noticeable CDPs identified were as follows: cyclo (Met-Pro), cyclo(Leu-Phe), cyclo(Phe-Met), and cyclo(Phe-Met). Similarly, another study identified the following CDPs in bottled wines derived from different plant types: cyclo(Leu-Leu), cyclo(Val- Phe), cyclo(Leu-Pro), cyclo(Leu-Phe), and cyclo(Phe-Pro); cyclo(Leu-Pro), ranging from 0.1 mg/L to 1 mg/L, was noticed in every wine sample (Stamatelopoulou et al., 2018).

In addition, CDPs possess biological activity and may contribute to the health benefits of microbially fermented tea. More than 15 types of CDPs were discovered in Pu-erh tea (Table 1), and their concentrations ranged from 0.0017 to 0.11 ppm. Among the targeted CDPs, Cyclo(-Ala-Pro) was prominent (Yamamoto et al., 2016). Additional research is required to enhance comprehension of the biological functionality and prospective health advantages of CDPs present in these beverages.

Pharmacological Properties

Cyclodipeptides exhibit remarkable biological activity, captivating the attention of researchers across various scientific disciplines. Understanding and harnessing the biological activity of CDPs holds great promise for the development of novel therapeutic interventions and drug discovery.

Anticancer cyclodipeptides

Cancer has been a prominent cause of death in developed nations, leading to continuous efforts to identify novel therapies that can improve patient outcomes. In this regard, proteins and peptides, especially CDPs and their derivatives (isomers of CDPs), have received significant attention as potential anticancer agents (van der Merwe et al., 2008). CDPs, specifically those containing proline, have demonstrated the ability to induce apoptosis, with cyclo(Pro-Phe) being the most potent in this regard. By activating caspase-3, these CDPs induce cell death in cancer cells and are being investigated as a possible cancer therapy (Semon, 2014). Various CDPs and their derivatives are tested for their cytotoxicity in diverse cancer cell lines. For instance, cyclo(Tyr-Cys) showed the best antitumor activity against Hela, MCF-7, and HT-29 cells at a concentration of >100 μM, while cyclo(Phe-Pro) inhibited cancer cell growth in MCF-7, Hela, and HT-29 cells at a concentration of 1–5 µM and initiated apoptosis in HT-29 cells. Cyclo(Pro-Arg) displayed antitumor activity in Hela cells by an IC50 value of 50 μg/mL, and cyclo(Tyr-Phe) significantly inhibited the growth of A549 cells by inducing apoptotic cell death with DNA fragmentation. Some CDPs, such as cyclo(Trp-Trp) and cyclo(Phe-Pro), enhanced the differentiation of HT-29 cells at unspecified concentrations (Zhao et al., 2021a). Cyclo(Pro-Tyr) has demonstrated the ability to treat liver cancer. Derivatives of cyclo(Pro-Tyr) are found to inhibit the growth of certain cancer cells, including HepG2 cells, with an IC50 value of 140 µM (Karanam and Arumugam, 2000; Karanam et al., 2020). A study done by KGK et al. (2021) indicates that cyclo(Leu-Pro) has the potential to mediate oxidative stress-induced cellular damage, which could help prevent breast malignant cells, MCF-7, and SF-268 cell lines. However, additional studies are required to better understand the effectiveness of cyclo(Leu-Pro) in treating cancer (Bennur et al., 2016). Another exciting discovery is that CDPs inhibit HCT-116 cells, a form of colon cancer, with little to no negative effects on normal colon cells, suggesting that CDPs could be used to develop chemopreventive treatments for colorectal cancer. In terms of anticancer activity, cyclo(Val-Pro) exhibited a comparable or even superior inhibitory effect on growth of cancer cells when compared to the commonly used anticancer drug doxorubicin. The IC50 value of 117.70 μM for cyclo(Val-Pro) was lower than that of doxorubicin on Ht-29 cell line (Yusuf et al., 2020), which exhibited a significantly higher inhibitory effect on cancer cell proliferation, compared to the chemotherapeutic drug paclitaxel used for corectoral cell line (Balachandra et al., 2021). Overall, CDPs and their derivatives hold great promise as cancer therapies and require further investigation (Tan et al., 2019).

Antibacterial cyclodipeptides

Cyclodipeptides are found to exhibit antimicrobial properties. Proline (Pro), arginine (Arg), and tryptophan (Trp) are some of the amino acids commonly found in CDPs that contribute to their antimicrobial effects (Table 2) (Zhao et al., 2021a). Studies have demonstrated that CDPs having proline residues, such as cyclo (Pro-Met), cyclo (Pro-Tyr), cyclo (Pro-Leu), and cyclo(Pro-Phe), have strong antibacterial potential against a wide variety of pathogenic bacteria, namely P. aeruginosa, S. aureus, B. subtilis, and E. coli, with minimum inhibitory concentration (MIC) ranging from 16 to 128 µg/mL. These CDPs are effective in both medical and agricultural settings, suggesting their potential for use as natural antimicrobial agents (Kumar et al., 2013). Intrestingly the peptides containing proline-based CDP prolyly hydroxyproline (Pro-Hyp) demomstrated antimicrobial and nutraceutical properties as compared to others (Kwak et al., 2018). CDP cyclo (Leu-Pro) is found to have significant antimicrobial activity against a wide range of bacterial pathogens, such as E. fergusonii (MIC = 230 µg/mL), S. enterica (MIC = 11 µg/mL), E.faecalis (MIC = 12 µg/mL), B. cereus (MIC = 16 µg/mL), S. aureus (MIC = 30 µg/mL). Therefore, CDP cyclo(Leu-Pro) has a great potential for being used as a natural antibacterial agent in medicinal and agri-food applications (Cui et al., 2024; Rasheed et al., 2024; Aziz et al., 2024; Gowrishankar et al., 2016; Saadouli et al., 2020). In addition, cyclo(Leu-Arg) and cyclo(Trp-Arg) have exhibited potent antibacterial activity, which further highlights the potential of CDPs as natural antimicrobial agents (Zhao et al., 2021a).

Table 2. Antimicrobial activity of cyclodipeptides (CDPs).

CDP Microbial species MIC value References
Cyclo(Pro-Met) S. aureus 2.81 × 10–4 Kumar et al., 2013
E. coli 1.40 × 10–4
B. subtilis 2.81 × 10–4
P. aeruginosa 5.61 × 10–4
A. flavus 5.61 × 10–4
C. albicans 2.81 × 10–4
F. oxysporum 3.51 × 10–5
R. solani 7.02 × 10–5
Cyclo(Pro-Leu) B. subtilis 7.62 × 10–5 Kumar et al., 2013; Zhao et al., 2021a
S. aureus 1.52 × 10–4
E. coli x 1.52 × 10–3
A. flavus 7.62 × 10–5
C albicans 3.05 × 10–4
F. oxysporum 7.62 × 10–5
R. solani 3.81 × 10–5
P. expansum 1.90 × 10–5
V. anguillarum 6.19 × 10–7
Cyclo(Pro-Phe) B. subtilis 1.31 × 10–4 Kumar et al., 2013; Zhao et al., 2021a
E. coli 1.31 × 10–4
S. aureus 6.56 × 10–5
P. expansum 1.64 × 10–5
V. anguillarum 1.23 × 10–7
R. solani 1.31 × 10–4
C. albicans 2.62 × 10–4
F. oxysporum 6.56 × 10–5
Cyclo(Pro-Tyr) B. subtilis 2.46 × 10–4 Kumar et al., 2013
S. aureus 1.23 × 10–4
E. coli 1.23 × 10–4
P. expansum 1.54 × 10–5
R. solani 3.08 × 10–5
F. oxysporum 3.08 × 10–5
C. albicans 1.23 × 10–4
Cyclo(Pro-Ile) V. anguillarum 5.71 × 10–7 Zhao et al., 2021a
Cyclo(Leu-His)[ V. anguillarum 2.80 × 10–7 Zhao et al., 2021a
Cyclo(Pro-Val) V. anguillarum 5.61 × 10–7 Zhao et al., 2021a
Cyclo(Leu-Arg) B. subtilis 2.97 × 10–5 Deepa et al., 2015
S. typhi 2.38 × 10–4
S. aureus 5.95 × 10–5
K. pneumonia 9.29 × 10–4
S. epidermidis 5.95 × 10–5
P. aeruginosa 4.65 × 10–4
S. faecalis 1.19 × 10–4
Cyclo(Val-Leu) V. anguillarum 1.90 × 10–7 Zhao et al., 2021a
Cyclo(Trp-Arg) S. typhi 9.36 × 10–5 Deepa et al., 2015
B. subtilis 1.17 × 10–5
K. pneumonia 5.85 × 10–6
S. aureus 1.46 × 10–6
P. mirabilis 1.87 × 10–4
S. epidermidis 2.34 × 10–5
P. vulgaris 1.17 × 10–5
S. faecalis 1.17 × 10–5
P. aeruginosa 1.46 × 10–6
E. faecium 5.85 × 10–6
Cyclo(Trp-Trp) A. baumannii 6.72 × 10–5 Lee et al., 2010
C. albicans 1.34 × 10–4
B. subtilis 1.34 × 10–4
A. niger 6.72 × 10–5
S. aureus 2.15 × 10–6
S. cerevisiae 6.72 × 10–5

MIC: minimum inhibitory concentration.

Antiviral cyclodipeptides

Cyclodipeptides have been evaluated for their known potential to inhibit viral replication of viruses, such as viral hemorrhagic septicemia virus (HSV) and human immunodeficiency virus (HIV) (Zhao et al., 2021a). The mechanism of their antiviral activity is not understood completely, but it is believed to inhibit specific stages of viral life cycle, such as attachment, entry, and replication (Winyakul et al., 2022). Additionally, CDPs may interfere with the functioning of viral enzymes, such as proteases and reverse transcriptases, which are necessary for viral replication (Zhao et al., 2021a). Cyclo (Pro-Val) and cyclo(Phe-Pro) are two examples of CDPs that have demonstrated antiviral activity against various viruses. Cyclo(Phe-Pro) was found to inhibit HIV replication by preventing the virus from entering human cells, while Cyclo(Pro-Val) exhibited antiviral activity against HSV, influenza virus, and HIV (Kwak et al., 2018; Qader et al., 2021).

Antifungal cyclodipeptides

Chemical preservatives used to inhibit fungal growth in feed and food have raised concerns regarding potential adverse health effects. As a result, researchers are exploring alternative methods to control fungal growth, and one promising method involves the use of CDPs produced by lactic acid bacteria . L. plantarum, a common type of lactic acid bacteria found in fermented vegetables, has been found to produce CDPs with excellent antifungal properties. Studies have shown that specific CDPs (Table 2), such as cyclo(Phe-Pro) and cyclo(Val-Pro), demonstrate excellent antifungal action against G. boninense and C. albicans at a concentration of 20–60 µg/mL (Yuan et al., 2020). Cyclo(Pro-Trp) is also found to aid in the eradication of microbial deterioration in feed and food at a concentration of approximately 16 µg/mL. (Kumar et al., 2014). Cyclo(Pro-Ser) is found to have stronger mycocidal seed treatment action than synthetic toxic fungicides for rice at a concentration of 320 µg/mL (Poonia et al., 2022). Furthermore, these CDPs are effective against agriculturally relevant fungi, such as F. oxysporum, R. solani, and P. expansum, which cause post-harvest deterioration of preserved fruits and vegetables (Kumar et al., 2013). For example, cyclo(Phe-Pro) showed great potential to stop the proliferation of rotting fungus in bakery goods, as it demonstrated the highest level of activity against P. expansum at a concentration of approximately 20 µg/mL (Kumar et al., 2013; Muhialdin et al., 2018).

Neuroprotective cyclodipeptides

Food-derived CDPs and intestinal yeast CDPs may help to avoid mental conditions such as schizophrenia (Semon, 2014). CDPs, particularly cyclo(His-Pro) and cyclo(Pro-Phe), have demonstrated protective effects in various models of experimental nervous system lesions and could be a promising treatment option for conditions such as schizophrenia and Alzheimer’s disease (Minelli et al., 2008). Cyclo(Pro-Phe), which is sourced from A. flavus fungus is found to decrease the production of reactive oxygen species and prevent apoptosis triggered by hydrogen peroxide. In addition, it possesses the capacity to hinder neurodegeneration caused by oxidative stress through the preservation of mitochondrial membrane potential and inhibition of apoptotic protein activation (Li et al., 2021; Misiura and Miltyk, 2019). Cyclo(His-Pro) is also investigated as a potential treatment for Alzheimer’s disease because of its mild toxicity in cultured human whole blood cells. This implies that CDPs may have therapeutic potential in treating neurological disorders. However, more research is required to completely comprehend their mechanism of action and potential benefits (Turkez et al., 2020).

Antioxidant/Anti-inflammatory cyclodipeptides

Cyclodipeptides that contain the dihydroxyphenylalanine (DOPA) catechol moiety, such as cyclo(Tyr-Phe), are identified as having potent antioxidant activity because of their strong radical-scavenging abilities (Nishanth Kumar et al., 2014a; Zhao et al., 2021a). Other CDPs, such as cyclo(Gly-Pro), are discovered in awamori (traditional Okinawan rice wine; Zhao et al., 2021b) distillation byproducts, and are shown to possess antioxidant activity (Sánchez et al., 2017). In particular, cyclo(Gly-Pro) has shown promise as a potential therapy for inflammation-induced nociception and damage because of its potent antioxidant properties (Ferro et al., 2015). Cyclo(Val-Pro) has demonstrated anti-inflammatory properties and is currently being studied for its potential therapeutic use in treating renal injuries (Begum et al., 2020). Similarly, cyclo(His-Pro) is identified as having the ability to protect against oxidative stress, which suggests its potential therapeutic use in treating diseases associated with oxidative stress. cyclo(His-Pro) displayed a higher radical scavenging activity compared to commonly consumed antioxidants, such as vitamin C and resveratrol (Minelli et al., 2009).

Sensory Properties of Cyclodipeptides

Peptides, including CDPs, have a taste that can range from sweet, bitter, umami, and sour to salty. The taste features of peptides are divided into three groups based on their acidic and hydrophobic residue content. Compounds containing acidic residues are characterized by a sour taste whereas those containing hydrophobic residues are associated with a bitter taste. Peptides exhibiting a more equilibrated constitution demonstrate minimal or absent gustatory perception (Temussi, 2012). The mechanism regarding the taste action of CDPs is not yet fully comprehended, but it is believed to involve their interaction with taste receptors located on the tongue. While some CDPs are reported to have a bitter taste, others are found to enhance the flavor of food products. The taste properties of CDPs are heavily influenced by their structural characteristics. Factors such as the presence of specific functional groups or stereochemistry can impact the intensity of bitterness or the ability to enhance flavors. In addition to interacting with bitter receptors, CDPs may also have interactions with other taste receptors, such as sweet or umami receptors, which contribute to their overall taste perception. This suggests that CDPs have the potential to influence various aspects of taste perception.

The presence of CDPs plays an important role in shaping the final flavor profile of both food and beverages. CDPs can contribute to astringency, saltiness, bitterness, and even metallic flavors in comestibles and potables. Further research is required to gain a comprehensive understanding of the taste formation mechanism for CDPs and their interactions with different taste receptors in the mouth (Maehashi and Huang, 2009; Schmeda-Hirschmann et al., 2020). Andruszkiewicz et.al. (2019) described in their study that CDPs responsible for the specific bitter taste of cocoa formed during roasting are degradation products of thermally processed peptides or proteins, which cyclize at their N-termini, preferably at either acidic or basic conditions. During roasting of cocoa beans, short-chain peptide precursors undergo thermal degradation and form CDPs, which contribute to the bitter taste of cocoa.

The relative concentrations of CDPs were found to be correlated with their putative peptide precursors in unroasted cocoa bean samples (Andruszkiewicz et al., 2019). The significance of hydrophobic amino acid residue in bitterness manifestation of CDPs is indispensable. However, the overall hydrophobic nature of peptide does not exhibit a direct correlation with its bitterness. Peptide’s hydrophobic moiety provides a binding site for the bitter-tasting receptor. Specific CDPs have bitter taste determinant sites that depend on the chemical structure and disposition of the sites (Harken and Li, 2021). Several studies have explored the taste properties of CDPs, specifically their bitterness, and have identified key factors that influence their taste perception. In 1988, Ishibashi suggested that the presence and arrangement of two bitter taste determinant sites in CDPs were crucial for their bitterness and the intensity of bitterness was influenced by the chemical structure and distance between these sites. Cyclo(Pro-Pro) was found to possess multiple determinant sites, but its bitterness was only perceived when these sites were arranged suitably. Figure 3 illustrates the model aimed for the mechanism of taste formation by CDP. Comparison of CDPs antioxidant activity to the existing foods showed that cyclo(His-Pro) displayed a higher oxygen radical absorbance capacity (Ishibashi et al., 1988).

Figure 3. Scheme of binding of bitter peptide with bitter taste (adopted from Ishibashi et al., 2016).

Furthermore, Yotmanee et al. (2018) observed that four CDPs contributed to the bitter and metallic taste of rice wine, but their concentration was below the threshold required for taste perception, suggesting that threshold concentration plays a role in taste formation. Similarly, Yotmanee et al. (2018) identified cyclo(Pro-Leu) anhydride, a CDP with a bitter taste, in sake, indicating that CDPs below the threshold level may still contribute to the overall flavor of food and beverages. Finally, the degradation of glutathione during cooking results in the production of cyclo (Gly-Cys), which is found to enhance significantly the taste of cooked pork. This highlights the role of CDPs not only in bitterness but also in enhancing the overall flavor of food (Ueda et al., 2014; Zhou, 2016). Table 3 provides some CDPs and their specific taste at certain threshold concentrations.

Table 3. Cyclodipeptides (CDPs) and their characteristic flavor at certain concentrations.

CDPs Taste Concentration (ppm) References
Cyclo(Leu-Met) Weak, vegetal, metallic, and creamy 200 Da Costa et al., 2010
Cyclo(Ala-Met) Milky, creamy, and cheesy 1,000 Da Costa et al., 2010
Cyclo(Phe-Pro) Savory, fishy, bitter, and meaty 200 Chen et al., 2009
Cyclo(Leu-Met) Weak taste 100 Da Costa et al., 2010
Cyclo(Ala-Met) Milky and creamy 400 Da Costa et al., 2010
Cyclo(Leu-Pro) Glue and pineapple 10 Chen et al., 2009
Cyclo(Met-Val) Metallic, vegetative, and milky 50 Da Costa et al., 2010
Cyclo(Gly-Leu) Isopropanol, asparagus, and dirty 1,000 Chen et al., 2009
Cyclo(Ala-Met) Creamy and milky 200 Da Costa et al., 2010
Cyclo(Pro-Val) Mouthfeel 200 Chen et al., 2009
Cyclo(Met-Phe) Creamy, vegetative, and milky 20 Da Costa et al., 2010
Cyclo(Gly-Met) Rotten, bitter, and stinky 1,000 Da Costa et al., 2010
Cyclo(Pro-Pro) Mettalic, green, and brothy 1,000 Chen et al., 2009
Cyclo(Ile-Met) Creamy, celery, and vegetable 100 Da Costa et al., 2010
Cyclo(Ile-Pro) Potato and bitter 1,000 Chen et al., 2009
Cyclo-(Met-Pro) Bitter, chalky 50 Da Costa et al., 2010
Cyclo(Ala-Pro) Beefy and bitter 400 Chen et al., 2009
Cyclo(Phe-Val) Band-aid, sweating, formaldehyde, and phenolic 100 Chen et al., 2009

CDPs: Cyclodipeptides

Health Risks Associated with CDP

Although many CDPs are considered safe for consumption (Brauns et al., 2005), certain members of this group are associated with potential health risks. It is crucial to note that research in this field is still advancing, and further investigations are required to comprehend the implications comprehensively. Presented below are examples of health risks associated with specific CDPs:

Cyclo(Pro-Tyr) is identified in diverse foods, including fermented products. Some studies have indicated that it may possess immunosuppressive properties, potentially affecting the immune system’s ability to respond to infections or diseases (Novak et al., 2019). Cyclo(Pro-Leu) is another CDP found in various foods, particularly in fermented products. Animal studies have suggested that cyclo(Pro-Leu) might exhibit nephrotoxic effects, potentially leading to kidney damage (Nishanth Kumar et al., 2014b). Also, cyclo(His-Pro) isolated from microbial sources may demonstrate cytotoxic and genotoxic effects, potentially impacting cellular health and DNA stability (Minelli et al., 2008; Zhao et al., 2021a). Nonetheless, additional research is necessary to establish the relevance and significance of these findings in a broader context.

Preparation of Cyclodipeptides

Cyclodipeptides are organic compounds identified in a range of foods and beverages. These compounds are increasingly becoming more common in the food industry because of their prevalence in protein-rich processed foods. These are formed due to thermal reactions that occur during the degradation of polypeptides. Specifically, these are produced when two amino acids are condensed together, forming a cyclic molecule that contains two carbonyl groups. This reaction occurs at high temperatures and can be accelerated by the presence of acids, bases, or metal ions (Borthwick and Da Costa, 2017).

The CDPs are produced through various methods, including chemical synthesis using solid phases or refluxing in a solution. However, these are synthesized naturally as well by specialized biosynthetic enzymes known as CDP synthases (CDPSs) and non-ribosomal peptide synthetases (NRPSs) (Bellezza et al., 2019; Gang et al., 2018).

Formation cyclodipeptides in foods

In 1989, Rizzi published a paper detailing their experimental work on the formation of CDPs in foods. They found that the formation of these compounds was dependent on temperature and acidity, and they conducted several experiments to support this hypothesis.

One of the conducted experiments entailed subjecting equimolar quantities of amino acids to heat, which did not yield the formation of CDPs. However, CDPs were generated upon subjecting acyclic dipeptides to acidic conditions. Furthermore, Rizzi noted that the application of heat to a tripeptide, specifically Ala-Leu-Gly, resulted in the production of cyclo(Ala-Leu), a distinct CDP. The findings suggest that the existence of specific amino acid sequence played a crucial role in the development of CDPs (Rizzi, 1989).

It is noteworthy that a considerable number of CDPs are generated as a secondary outcome of the Maillard reaction, a widely recognized origin of flavor and fragrance constituents in manufactured food products. The Maillard reaction occurs between reducing sugars and amino acids, and it is favored by high temperatures and low pH. The formation of CDPs as a byproduct of this reaction contributes to the overall flavor and aroma profile of processed foods. Nonenzymatic browning of food is attributed to this reaction, which is subjected to the influence of a type of amino acid/peptide and sugar/carbohydrate employed. Under alkaline conditions, the reaction is accelerated by the increased nucleophilicity of amino groups. The Maillard reaction is important in the food industry for creating unique flavor profiles in various products (Ho, 1996).

Recent research has indicated that the quantity of CDP generated through the reaction between peptides and reducing sugars is similar to the amount produced through the thermal generation of CDPs from peptides in the absence of other reactive species. In other words, the formation of CDPs does not appear to be significantly affected by the presence of reducing sugars. This suggests that the formation of CDPs during the Maillard reaction may be primarily driven by the thermal degradation of peptides, rather than the reaction with reducing sugars. However, it should be noted that the type of peptide and reducing sugar used still impacts the specific CDPs produced, as the Maillard reaction can generate a range of complex flavor compounds depending on the specific reactants involved (Jakas and Horvat, 2003).

Aspartame, chemically known as N-L-α-Asp-L-Phe-1-methyl ester, is a synthetic sweetening agent widely utilized in various food items. Nonetheless, upon exposure to elevated temperatures or extreme pH conditions during food preparation, it has the potential to decompose into diverse degradation byproducts. One of these degradation products is the CDP cyclo (Asp-Phe). Moreover, it has been found that after being stored in carbonated beverages for 6 months, approximately 25% of the initial amount of aspartame was converted into a CDP degradation product. This conversion may have implications on the safety and quality of food products containing aspartame as well as on the interpretation of analytical results of aspartame content in food and beverage samples The compound cyclo (Asp-Phe) is recognized for its bitter flavor, which stands in contrast to the saccharine taste of aspartame. However, limited research is conducted on the effects of this compound in humans. A one-day exposure study found that it was well-tolerated without any adverse effects. Nonetheless, the safety of prolonged or repeated exposure to this compound is yet to be understood completely. On the other hand, in a study conducted on mice, administering a large dosage of aspartame, concerns were raised about the potential health risks associated with its consumption, particularly its alleged link to brain tumors (Geha et al., 1993; Hiroyuki, 1981; Ishii et al., 1981; Mallikarjun and Sieburth, 2015).

Nonenzymatic synthesis

Nonenzymatic cyclization of peptides and proteins occurs spontaneously through the formation of CDPs, such as cyclo(His-Pro), which is identified in mammalian central nervous system (Yuan et al., 2020). CDPs may develop due to nonenzymatic dehydration and condensation of two N-terminal amino acid residues of linear proteins or peptides during storing or food sterilization. These processes result in the formation of various CDPs having different physiological effects on the human body (Otsuka et al., 2019). Tripeptides can also form CDPs through degradation (Rizzi, 1989). The reactivity of glutathione (GSH) may be related to its long peptide chain length and/or the formation of CDPs (Lu, 2006). When GSH undergoes thermal degradation, it degrades to half its amount and forms pyroglutamic acid (PCA) and cyclo (Cys-Gly). Cyclo(Cys-Gly) may be formed from GSH through 5-oxo proline or PCA and then react to form cyclo(Cys-Gly) during reaction (Ueda et al., 2014).

Liquid-phase synthesis

Liquid-phase synthesis of CDPs involves the cyclization of linear dipeptides in solution. This method is advantageous as it does not require solid support and the process exhibits favorable scalability characteristics, enabling efficient upscaling for mass production. The process of synthesis entails the creation of a linear dipeptide through the coupling of two amino acids via the conventional peptide coupling reaction. Subsequently, the linear dipeptide undergoes cyclization employing a cyclization agent or catalyst in an appropriate solvent (Wong et al., 2020). The cyclization of dipeptide esters is a frequently utilized method for obtaining a diverse array of symmetrical, unsymmetrical, and functionalized CDPs. The present methodology commences with the conjugation of two amino acids that are orthogonally protected, utilizing the conventional peptide coupling reaction, thereby resulting in the formation of a linear dipeptide. After the removal of amine-protecting group (N-PG), the dipeptide is cyclized under basic pH or in a buffer. The process of cyclization is conducted through thermal means, typically involving the refluxing of reactants in high-boiling solvents, such as toluene and xylene, for 24 h (Bellezza et al., 2019).

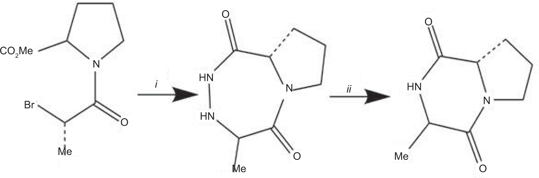
The methodology involves the utilization of bromoester 1 as a starting material, which undergoes treatment with hydrazine to yield cyclic hydrazide 2. Subsequently, a metal reductive cleavage yields an intermediate that undergoes spontaneous cyclization, ultimately resulting in the formation of CDP 3 cyclo (L-Pro-L-Ala) as shown in Figure 4 (Ortiz and Sansinenea, 2017).

Figure 4. Liquid-phase preparation of cyclo(Pro-Ala), where i (toluene) and ii (xylene) are reagents (Ortiz and Sansinenea, 2017).

Solid-phase synthesis

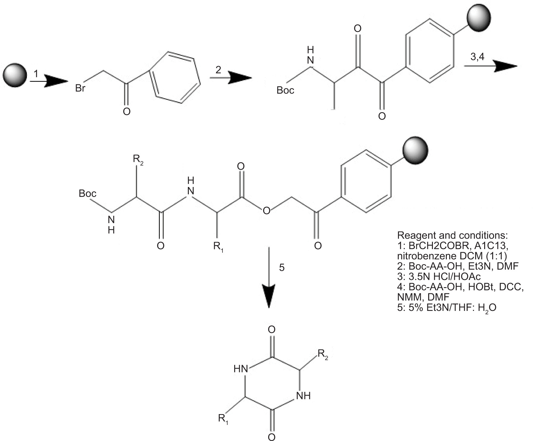
Solid-phase synthesis is a well-established method for synthesizing CDPs with a solid support. The methodology entails the covalent attachment of the C-terminus of a linear dipeptide to resin through an ester linkage. Upon immobilization of a linear dipeptide onto the solid aid, the N-protecting group is subsequently eliminated, leading to the cyclization of dipeptide and the formation of intended CDP (Balachandra et al., 2021). Figure 5 shows the schematic mechanism of CDP production by solid support phase method by using different conditions and reagents (Sharafeldin, 2022). This method has several advantages over liquid-phase synthesis, such as improved yield and purity, and the ability to generate diverse libraries of CDPs in a short time frame (Borthwick et al., 2012). One of the significant advantages of solid-phase synthesis is its efficiency in generating arrays of CDPs for screening purposes. By using solid-phase synthesis, researchers can quickly generate large numbers of CDPs for screening, which can be useful for drug discovery or other applications instead of using the spot method for screening. However, solid-phase synthesis has some limitations. Although it is an efficient method for small-scale production, it is expensive and challenging to scale up to larger quantities. In addition, the solid-phase synthesis of CDPs requires specialized equipment and expertise, which could be a barrier for some researchers (Scarel and Marchesan, 2021).

Figure 5. Schematic diagram of solid phase (Sharafeldin, 2022).

Cyclization of dipeptides into CDP

Microwave-assisted cyclization

Microwave-assisted cyclization in water is a promising method for quick and efficient synthesizing of CDPs. This method has several advantages, such as high yield and simplicity in workup procedures, making it a greener alternative to traditional synthesis methods that use petroleum-derived solvents and require multiple steps (Tullberg et al., 2006). This method is not limited to deprotection of the tert-butyloxycarbonyl (Boc) group but can also be used for N-Boc deprotection and cyclization in a single step for methyl esters and C-terminal tert-butyl (Pérez-Picaso et al., 2009). The current investigations report the successful synthesis of hydrophobic CDPs lacking a methyl ester moiety at the C-terminus, with high-to-quantitative yield, utilizing microwave-assisted cyclization in an aqueous medium (Figure 6). The present technique involves the retention of any unreacted dipeptide within the solution whereas the hydrophobic CDPs undergo precipitation as white solids, thereby obviating the requirement of workup protocols (Kurbasic et al., 2019; Thaqi et al., 2008). The utilization of microwave-assisted cyclization in an aqueous medium is a highly encouraging and environment-friendly approach for producing CDPs, resulting in substantial yields and requiring minimal workup procedures.

Figure 6. Microwave-assisted cyclization (Kurbasic et al., 2019; Thaqi et al., 2008).

Dipeptide cyclization is a commonly used strategy for the synthesis of CDPs, which are biologically important molecules with numerous therapeutic applications. This method involves the cyclization of a dipeptide, which is a molecule composed of two amino acids linked together by a peptide bond. To perform dipeptide cyclization, a C-terminally protected dipeptide is typically used. The C-terminal protection is often achieved using a methyl ester group. The presence of this group allows the N-terminal amine to act as a nucleophile during the cyclization process, while the methoxy functionality serves as the leaving group.

The process under consideration is an aminolysis reaction, wherein the carbonyl carbon of the C-terminal methyl ester group is attacked by N-terminal amine. The aforementioned process culminates in the establishment of a cyclic amide linkage, thereby giving rise to the formation of a CDP. In certain instances, it may be necessary to deprotect N-terminal amine before commencing of the reaction. One possible approach involves the concomitant deprotection of N-terminal amine and cyclization, which is achieved in a single reaction vessel. The reaction can be performed with various solvents, including organic solvents, such as dimethylsulfoxide (DMSO) and water (Yin et al., 2021). The choice of a solvent influences the rate and yield of reaction. An aminolytic reaction can lead to the spontaneous cyclization of dipeptides that possess a methoxy group at C-terminus when they are present in an aqueous environment (Pappas et al., 2020).

Solid-state cyclization

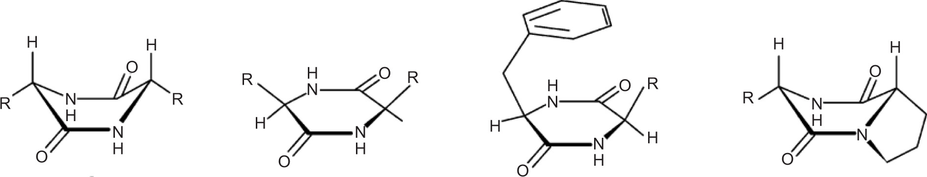
Powder samples are subjected to heat treatment to synthesize CDPs in a solid-state (Safiullina et al., 2020; Ziganshin et al., 2017). Determination of a suitable reaction temperature is contingent upon peptide sequence, whereby the minimum reaction temperature is subjected to variation based on the steric hindrance of amino acid side chain. For example, Gly-Gly requires a higher reaction temperature of 230°C, while Phe-Phe requires a lower temperature of either 147°C (Ziganshina et al., 2019) or 125°C (Pérez-mellor et al., 2020), indicating an association between the nature of side chain and reaction temperature.

The process of cyclization necessitates molecular mobility, which is contingent upon the characteristics of side chains present in the solid-state. The melting points of Gly-Gly and Phe-Phe are reported to be 262–264°C and 288–290°C, respectively. These values suggest that the reaction takes place in the solid-state and presumably over the glass transition temperature (Tg). The glass transition temperature is influenced by the preparation of sample during the manufacturing process. It is defined as the temperature at which a material undergoes a transition from a rigid and glassy state to a more pliable and malleable state. Following the process of synthesis, CDP molecules undergo reorganization within the solid framework, as the rotation and translations become feasible, thereby deviating from their initial random conformations. The solid-state manufacturing of CDPs presents a straightforward and efficient approach for their production, exhibiting prospective uses in the fields of materials science, pharmaceutical research, and biomaterials development based on peptides (Ziganshina et al., 2019).

Vapor-deposited cyclization

The research conducted by Adler-Abramovich et al. (2009) involved subjecting diphenylalanine (Phe-Phe) to a temperature of 220°C and subsequently evaporating it within a vacuum chamber. Upon encountering a surface with a lower temperature of 80°C, the dipeptides that had undergone evaporation underwent a process of cyclization, ultimately resulting in the formation of nanotubes. The facilitation of nanotube formation was attributed to the stacking interactions that occurred between the aromatic rings of Phe-Phe side chains. The self-assembly of Phe-Phe molecules facilitated the intermolecular recognition and templating of cyclization to form CDPs. The self-assembly process was initiated by the intermolecular inter-CDPs actions between diphenylalanine molecules. The synthesis of CDPs and the growth of their self-assembled nanostructures were facilitated by the intermolecular interactions between the aromatic rings of side chains. The vapor deposition process used in this study allowed for the controlled deposition of Phe-Phe onto a surface, which led to the formation of nanotubes. The process of vapor deposition provides a way to control deposition rate and temperature of molecules, which in turn allows for the control of growth and the morphology of self-assembled structures (Adler-Abramovich et al., 2009).

Enzymatic synthesis

Enzymatic pathways that produce natural compounds containing CDPs are classified into two types: non-ribosomal peptide synthetases and CDP synthases (Wang et al., 2018; Yuan et al., 2020).

Cyclodipeptide synthases (CDPSs)

Cyclodipeptide synthases are a type of enzymes found mainly in bacteria that catalyze the formation of CDPs from aminoacyl-tRNAs. CDPSs are characterized by their modest size, typically composed of 200–300 amino acids. These enzymes have the ability to commandeer activated aminoacyl-tRNAs from ribosomal machinery, which they utilize to catalyze the synthesis of CDPs. This process allows for the direct link between primary and secondary metabolism in bacteria (Figure 7; Harken and Li, 2021; Yao et al., 2018). In 2002, the AlbC protein expressed by the albC gene in the genome of Streptomyces noursei was discovered to catalyze the production of CDPs by a non-ribosomal peptide pathway, which was the first time the CDPS pathway was proposed (Huan et al., 2020). The biosynthesis of CDPs involves the use of additional enzymes, such as CDP oxidases, S-adenosyl-methionine-dependent O-methyltransferases, and S-adenosyl-methionine-dependent N-methyltransferases, to further modify CDPs (Bennur et al., 2016). The dehydrogenation of CDPs to introduce C-C double bonds is accomplished via catalysis mediated by oxidases whereas the catalysis of N-alkylation is facilitated by methyltransferases (Scarel and Marchesan, 2021).

Figure 7. General mechanism of CDP synthesis by cyclodipeptide synthase (CDPS) enzymes (Harken and Li, 2021; Yao et al., 2018).

Only a few CDPS-dependent biosynthetic pathways have been identified so far. These are the biosynthetic routes that lead to antibiotics albonoursin and mycocyclosin, as well as siderochrome pulcherrimin, the nocazine family, and, lastly, methylated ditryptophan CDPs (Giessen and Marahiel, 2014).

Non-ribosomal peptide synthetases (NRPSs)

Non-ribosomal peptide synthetases are the enzymes with a modular structure and are involved in the biosynthesis of non-ribosomal peptides, which have a huge array of applications in various fields (Camus et al., 2022). NRPSs are in charge of the biosynthesis of a wide array of naturally occurring compounds having medicinal use (Pourmasoumi et al., 2022). These enzymes are present in all three domains of life, but they are particularly prevalent in bacteria (Abbood et al., 2022). CDPs are also biosynthesized by NRPSs and can be used as pharmaceuticals, food additives, and agrochemicals (Martínez-Núñez and López, 2016). NRPSs are the enzymes that are responsible for the assembly of DKPs in a multimodular manner. The modular structure of NRPSs enables the stepwise assembly of amino acid or amino acid-like building blocks into a CDP molecule (Rüschenbaum et al., 2022). NRPSs involve the incorporation of building blocks into a growing chain through catalytic domains (Figure 8). Adenylation domains (A) for recognition and activation of substrates, thiolation domains (T) for transfer, condensation domains (C) for elongation, and thioesterase domains (TE) for release are present in each NRPS module (Adrover-Castellano et al., 2021). The relevant building block is selectively activated by adenylation domains and transferred to a nearby thiolation domain (Chu et al., 2019; Gao et al., 2012). Fungal NRPSs that make CDPs feature adenylation domains that directly stimulate -hydroxy acids in addition to the normal substrate of adenylation domains, which are amino acids (Camus et al., 2022). In a successful experiment done by Qi et al. (2022), the criC gene from E. Cristatum NWAFU-1 was expressed in A. oryzae using NRPSs to produce efficiently CDP compounds. This indicates that the A. oryzae heterologous expression system is an effective method for the biosynthesis of fungal CDPs (Qi et al., 2022).

Figure 8. Domains of non-ribosomal peptide synthetases (NRPSs) (Chu et al., 2019; Gao et al., 2012).

Limitations and Future Recommendations

This review provided detailed insights into CDPs and their different pharmacological properties and uses in various fields on the basis of latest scientific and patent literature available. With the increasing number of studies being conducted globally, the generation of multiple CDPs platforms is expected with a vast range of biomedical applications. Generally, CDPs’ molecular framework offers a wide structural diversity and functional utility in both biomedicine and pharmaceutical sectors, as a huge scope exists to explain structure and functional properties in the field of medicinal chemistry and functional biomaterials. In spite of diverse and substantial progress in the field of CDPs, it is relatively at the emerging stage and further research is needed to exploit its widespread beneficial properties.

Conclusions

This review discusses many bioactivities and self-assembly features of CDPs and their derivatives, with a focus on their possible applications in biomedicine and the food sector. CDPs have a variety of bioactivities, such as neuroprotective, antibacterial, and antioxidant properties, making them ideal for functional food applications. Their self-assembly properties allow for the development of supramolecular structures appropriate for medication administration and innovative food compositions. Despite their promise, limitations are there in turning CDP features into practical applications. Future studies must focus on optimising enzymatic synthesis to increase yield and efficiency as well as comprehensively characterizing CDP bioactivities and mechanisms of action. Identifying particular CDPs with strong antibacterial activity toward foodborne pathogens is critical, as is assessing their efficacy as naturally occurring preservatives in various food systems. Furthermore, studying the ability of CDPs to suppress biofilm development in the processing of food items can improve food safety. To achieve regulatory compliance, human food safety assessments, such as toxicity and allergenicity tests, must be conducted. The sustainability of CDP manufacturing deserves more exploration, with a focus on environment-friendly processes and the application of agricultural leftovers. To assist market introduction, considerable study into formulation development for enhanced bioavailability stability and efficacy is required. By solving these difficulties, CDPs can be used to create creative and sustainable food items that meet consumer health and safety standards.

Conflict of Interest

The authors declare no conflict of interest.

Acknowledegment

This work was supported by the National Natural Science Foundation of China (No. 31201416), The Guangdong Province General Colleges and Universities Characteristic Innovation Category Project (No. 2021KTSCX003). The authors express their gratitude to Deanship of Scientific Research (DSR) at King Faisal University under project no. [KFU242175].

REFERENCES

Abbood N., Tien Duy Vo, Jonas Watzel K.A.J.B., and Bode H.B. 2022. S Non-ribosomal peptide synthetases for the rapid generation of tailormade. Chem Eur J. 28(26):1–9. 10.1002/chem.202103963

Adler-Abramovich L., Aronov D., Beker P., Yevnin M., Stempler S., Buzhansky L., Rosenman G., and Gazit E. 2009. Self-assembled arrays of peptide nanotubes by vapour deposition. Nature Nanotechnol. 4(12):849–854. 10.1038/nnano.2009.298

Adrover-Castellano M.L., Schmidt J.J., and Sherman, D.H. 2021. Biosynthetic cyclization catalysts for the assembly of peptide and polyketide natural products. Chem Cat Chem. 13(9):2095–2116. 10.1002/cctc.202001886

Alberdi-Cedeño J., Ibargoitia M.L., and Guillén M.D. 2017. Bioactive compounds detected for the first time in corn oil: cyclic dipeptides and other nitrogenated compounds. J Food Comp Anal. 62(June):197–204. 10.1016/j.jfca.2017.06.005

Alberdi-Cedeño J., Ibargoitia M.L., and Guillén M.D. 2019. Monitoring of minor compounds in corn oil oxidation by direct immersion-solid phase microextraction-gas chromatography/mass spectrometry. New oil oxidation markers. Food Chem. 290(March):286–294. 10.1016/j.foodchem.2019.04.001

André A., Casty B., Ullrich L., and Chetschik I. 2022. Use of molecular networking to identify 2,5-diketopiperazines in chocolates as potential markers of bean variety. Heliyon. 8(9):1–9. 10.1016/j.heliyon.2022.e10770

Andruszkiewicz P.J., D’Souza R.N., Altun I., Corno M., and Kuhnert N. 2019. Thermally induced formation of taste-active 2,5-diketopiperazines from short-chain peptide precursors in cocoa. Food Res Int. 121(March):217–228. 10.1016/j.foodres.2019.03.015

Aziz T., Qadir R., Anwar F., Naz S., Nazir N., Nabi G., Haiying C., Lin L., Alharbi M., Alasmari A.F. (2024). Optimal Enzyme-Assisted Extraction of Phenolics from Leaves of Pongamia pinnata via Response Surface Methodology and Artificial Neural Networking. Appl Biochem Biotechnol. 2024,1-14. 10.1007/s12010-024-04875-w.

Balachandra C., Padhi D., and Govindaraju T. 2021. Cyclic dipeptide: a privileged molecular scaffold to derive structural diversity and functional utility. Chem Med Chem. 16(17):2558–2587. 10.1002/cmdc.202100149

Begum S., Hira K., Basha A., Paramita P., Prakash O., Araya H., and Fujimoto Y. 2020. International immunopharmacology dipeptides from pseudomonas sp. (ABS-36) inhibit pro-in flammatory cytokines and alleviate crystal-induced renal injury in mice L-proline-based-cyclic. Int Immunopharmacol. 73(February):395–404. 10.1016/j.intimp.2019.05.044

Bellezza I., Peirce M.J., and Minelli A. 2019. Cyclic peptides in neurological disorders: the case of cyclo(His-Pro). In Tommonaro, G., (Ed): Quorum sensing: molecular mechanism and biotechnological application. Elsevier, pp. 257–286. 10.1016/B978-0-12-814905-8.00010-1

Bennur T., Ravi Kumar A., Zinjarde S.S., and Javdekar V. 2016. Nocardiopsis species: a potential source of bioactive compounds. J App Microbiol. 120(1):1–16. 10.1111/jam.12950

Bettens F.L., Bettens R.P.A., Brown R.D., and Godfrey P.D. 2000. The microwave spectrum, structure, and ring-puckering of the cyclic dipeptide diketopiperazine. J Am Chem Soc. 122(24):5856–5860. 10.1021/ja000042n

Bikaki M., Shah R., Müller A., and Kuhnert N. 2021. Heat-induced hydrolytic cleavage of the peptide bond in dietary peptides and proteins in food processing. Food Chemi. 357(March):129621. 10.1016/j.foodchem.2021.129621

Bojarska, J., and Wojciech M.W. 2021. Ultra-Short Cyclo-Peptides as Bio-Inspired Therapeutics: Proline-Based 2,5-Diketopiperazines (DKP). Proceedings 79, no. 1: 10. 10.3390/IECBM2020-08804

Borthwick A.D., and Da Costa N.C. 2017. 2,5-Diketopiperazines in food and beverages: taste and bioactivity. Crit Rev Food Sci Nutr. 57(4):718–742. 10.1080/10408398.2014.911142

Borthwick A.D., Grove T., and Nw L. 2012. 2,5-Diketopiperazines: synthesis, reactions, medicinal chemistry, and bioactive natural products. Chem Rev. 112(7):3641–3716. 10.1021/cr200398y

Bratakos S.M., Zoumpoulakis P., Siapi E., Riganakos K., and Sinanoglou V.J. 2016. Determination of 2,5-diketopiperazines in Greek processed olives by liquid chromatography/mass spectrometry analysis. Curr Res Nutr Food Sci. 4(special issue 2):63–76. 10.12944/CRNFSJ.4.Special-Issue-October.09

Brauns S.C., Dealtry G., Milne P., Naudé R., and Van De Venter M. 2005. Caspase-3 activation and induction of PARP cleavage by cyclic dipeptide cyclo(Phe-Pro) in HT-29 cells. Anticancer Res. 25(6 B):4197–4202.

Brauns S.C., Milne P., Naudé R., and Van De Venter M. 2004. Selected cyclic dipeptides inhibit cancer cell growth and indace apoptosis in HT-29 colon cancer cells. Anticancer Res. 24(3 A):1713–1719.

Camus A., Truong G., Mittl P.R.E., Markert G., and Hilvert D. 2022. Reprogramming nonribosomal peptide synthetases for site-specific insertion of α-hydroxy acids. J Am Chem Soc. 144(38):17567–17575. 10.1021/jacs.2c07013

Chen M.Z., Dewis M.L., Kraut K., Merritt D., Reiber L., Trinnaman L., and Da Costa N.C. 2009. 2,5-Diketopiperazines (cyclic dipeptides) in beef: identification, synthesis, and sensory evaluation. J Food Sci. 74(2):100–105. 10.1111/j.1750-3841.2009.01062.x

Chen Y.H., Liou S.E., and Chen C.C. 2004. Two-step mass spectrometric approach for the identification of diketopiperazines in chicken essence. Eur Food Res Technol. 218(6):589–597. 10.1007/s00217-004-0901-x

Chu J., Vila-Farres X., and Brady S.F. 2019. Bioactive synthetic-bioinformatic natural product cyclic peptides inspired by nonribosomal peptide synthetase gene clusters from the human microbiome. J Am Chem Soc. 141(40):15737–15741. 10.1021/jacs.9b07317

Coelho M.C., Malcata F.X., and Silva C.C.G. 2022. Lactic acid bacteria in raw-milk cheeses: from starter cultures to probiotic functions. Foods. 11(15):1–32. 10.3390/foods11152276

Core R.B. 1993. The crystal structure of diketopiperazine. Jap Circul J. 57:1109.

Cui H., Chen Y., Aziz T., Asmari F.A., Alwethayanu S.A., Shi C., Lin L. (2024). Antibacterial mechanisms of diacetyl on Listeria monocytogenes and its application in Inner Mongolian cheese preservation via gelatin-based edible films. Food Control. 168,110920,1-14. 10.1016/j.foodcont.2024.110920

Da Costa N.C., Chen M.Z., Merritt D., and Trinnaman L. 2010. Methionine-containing cyclic dipeptides: occurrence in natural products, synthesis, and sensory evaluation. ACS Symp Series. 1042:111–120. 10.1021/bk-2010-1042.ch011

Deepa I., Kumar S.N., Sreerag R.S., Nath V.S., and Mohandas C. 2015. Purification and synergistic antibacterial activity of arginine derived cyclic dipeptides, from Achromobacter sp. associated with a rhabditid entomopathogenic nematode against major clinically relevant biofilm forming wound bacteria. Front Microbiol. 6(Aug):1–16. 10.3389/fmicb.2015.00876

Ferro J.N. de S., de Aquino F.L.T., de Brito R.G., dos Santos P.L., Quintans J., de S.S., de Souza L.C., de Araújo A.F., Diaz B.L., et al. 2015. Cyclo-gly-pro, a cyclic dipeptide, attenuates nociceptive behaviour and inflammatory response in mice. Clin Exper Pharmacol Physiol. 42(12):1287–1295. 10.1111/1440-1681.12480

Gang D., Kim D.W., and Park H.S. 2018. Cyclic peptides: promising scaffolds for biopharmaceuticals. Genes. 9(11):557. 10.3390/genes9110557

Gao X., Haynes S.W., Ames B.D., Wang P., Vien L.P., Walsh C.T., and Tang Y. 2012. Terminal condensation-like domain. Nature Chem Biol. 8(10):823–830. 10.1038/nchembio.1047

Gautschi M., Schmid J.P., Peppard T.L., Ryan T.P., Tuorto R.M., and Yang X. 1997. Chemical characterization of diketopiperazines in beer. J Agr Food Chem. 45(8):3183–3189. 10.1021/jf9700992

Geha R., Buckley C.E., Greenberger P., Patterson R., Polmar S., Saxon A., Rohr A., Yang W., and Drouin M. 1993. Aspartame is no more likely than placebo to cause urticaria/angioedema: results of a multicenter, randomized, double-blind, placebo-controlled, crossover study. J Allergy Clin Immunol. 92(4):513–520. 10.1016/0091-6749(93)90075-Q

Giessen T.W., and Marahiel M.A. 2014. The tRNA-dependent biosynthesis of modified cyclic dipeptides. Int J Mol Sci. 15(8):14610–14631. 10.3390/ijms150814610

Ginz M., and Engelhardt U.H. 2000. Identification of proline-based diketopiperazines in roasted coffee. J Agr Food Chem. 48(8):3528–3532. 10.1021/jf991256v

Ginz M., and Engelhardt U.H. 2001. Identification of new diketopiperazines in roasted coffee. Eur Food Res Technol. 213(1):8–11. 10.1007/s002170100322

Goethals S., Rombouts C., Hemeryck L.Y., Van Meulebroek L., Van Hecke T., Vossen E., Van Camp J., De Smet S., and Vanhaecke L. 2020. Untargeted metabolomics to reveal red versus white meat–associated gut metabolites in a prudent and western dietary context. Mol Nutr Food Res. 64(12):1–30. 10.1002/mnfr.202000070

Gowrishankar S., Sivaranjani M., Kamaladevi A., Ravi A.V., Balamurugan K., and Pandian S.K. 2016. Cyclic dipeptidecyclo (l-leucyl-l-prolyl) from marine Bacillus amyloliquefaciens mitigates biofilm formation and virulence in listeria monocytogenes. FEMS Pathog Dis. 74(4):1–12. 10.1093/femspd/ftw017

Hajirostamloo B. 2010. Bioactive component in milk and dairy product. Int J Agr Biosyst Eng. 4(12):870–874.

Harken L., and Li S.M. 2021. Modifications of diketopiperazines assembled by cyclodipeptide synthases with cytochrome P450 enzymes. Appl Microbiol Biotechnol. 105(6):2277–2285. 10.1007/s00253-021-11178-1

Hiroyuki I. 1981. Incidence of brain tumors in rats fed aspartame. Toxicol Lett. 7(6):433–437. 10.1016/0378-4274(81)90089-8

Ho C.T. 1996. Thermal generation of Maillard aromas. In: J.W., and S.L. Ikan, R. (Eds.) The Maillard reaction: consequences for the chemical and life sciences. pp. 27−53.

Huan Y., Kong Q., Mou H., and Yi H. 2020. Antimicrobial peptides: classification, design, application and research progress in multiple fields. Front Microbiol. 11:1–21. 10.3389/fmicb.2020.582779

Ishibashi N., Kouge K., Shinoda I., Kanehisa H., and Okai H. 1988. A mechanism for bitter taste sensibility in peptides. Agric Biol Chem. 52(3):819–827. 10.1080/00021369.1988.10868743

Ishii H., Koshimizu T., Usami S., and Fujimoto T. 1981. Toxicity of aspartame and its diketopiperazine for Wistar rats by dietary administration for 104 weeks. Toxicology. 21(2):91–94. 10.1016/0300-483X(81)90119-0

Jakas A., and Horvat Š. 2003. Study of degradation pathways of amadori compounds obtained by glycation of opioid pentapeptide and related smaller fragments: stability, reactions, and spectroscopic properties. Biopolymers. 69(4):421–431. 10.1002/bip.10338

Jo Y., Benoist D.M., Ameerally A., and Drake M.A. 2018. Sensory and chemical properties of Gouda cheese. J Dairy Sci. 101(3):1967–1989. 10.3168/jds.2017-13637

Jung E.Y., Lee H., Choi J.W., Ra K.S., Kim M., and Suh H.J. 2011. Glucose tolerance and antioxidant activity of spent brewer’s yeast hydrolysate with a high content of cyclo-his-pro (CHP). J Food Sci. 76(2):272–278. 10.1111/j.1750-3841.2010.01997.x

Karanam G., and Arumugam M.K. 2020. Reactive oxygen species generation and mitochondrial dysfunction for the initiation of apoptotic cell death in human hepatocellular carcinoma HepG2 cells by a cyclic dipeptide cyclo(-pro-tyr). Mol Biol Rep. 47(5):3347–3359. 10.1007/s11033-020-05407-5

Karanam G., Arumugam M.K., and Sirpu Natesh N. 2020. Anticancer effect of marine sponge-associated bacillus pumilus AMK1 derived dipeptide cyclo (-pro-tyr) in human liver cancer cell line through apoptosis and G2/M phase arrest. Int J Pept Res Therap. 26(1):445–457. 10.1007/s10989-019-09850-2

KGK D., Kumari S., and Malla R.R. 2021. Marine cyclic dipeptide cyclo (L-Leu-L-Pro) protects normal breast epithelial cells from tBHP-induced oxidative damage by targeting CD151. Arch Breast Cancer. 8(3):162–173. 10.32768/abc.202183162-173

Khodorova N.V., Jouan-Rimbaud Bouveresse D., Pilard S., Cordella C., Locquet N., Oberli M., and Gaudichon C. 2022. Consumption of boiled, but not grilled, roasted, or barbecued beef modifies the urinary metabolite profiles in rats. Mol Nutr Food Res. 66(12). 10.1002/mnfr.202100872

Khorshidian N., Ghasemzadeh-Mohammadi V., Yousefi M., and Mortazavian A.M. 2022. Comparison of antifungal properties of lactobacillus rhamnosus and lactobacillus reuteri with potassium sorbate in the Iranian Uf-Feta cheese. J Microbiol Biotechnol Food Sci. 11(5):1–5. 10.55251/jmbfs.3318

Kumar N., Mohandas C., Nambisan B., Kumar D.R.S., and Lankalapalli R.S. 2013. Isolation of proline-based cyclic dipeptides from Bacillus sp. N strain associated with rhabitid entomopathogenic nematode and its antimicrobial properties. World J Microbiol Biotechnol. 29(2):355–364. 10.1007/s11274-012-1189-9

Kumar S.N., Sreekala S.R., Chandrasekaran D., Nambisan B., and Anto R.J. 2014. Biocontrol of Aspergillus species on peanut kernels by antifungal diketopiperazine producing Bacillus cereus associated with entomopathogenic nematode. PLoS One. 9(8):1–14. 10.1371/journal.pone.0106041

Kurbasic M., Semeraro S., Garcia A.M., Kralj S., Parisi E., Deganutti C., De Zorzi R., and Marchesan S. 2019. Microwave-assisted cyclization of unprotected dipeptides in water to 2,5-piperazinediones and self-assembly study of products and reagents. Synthesis (Germany). 51(14):2839–2844. 10.1055/s-0037-1612376

Kwak M.K., Liu R., and Kang S.O. 2018. Antimicrobial activity of cyclic dipeptides produced by Lactobacillus plantarum LBP-K10 against multidrug-resistant bacteria, pathogenic fungi, and influenza A virus. Food Control. 85:223–234. 10.1016/j.foodcont.2017.10.001

Kwak M.K., Liu R., Kwon J.O., Kim M.K., Kim A.H.J., and Kang S.O. 2013. Cyclic dipeptides from lactic acid bacteria inhibit proliferation of the influenza a virus. J Microbiol. 51(6):836–843. 10.1007/s12275-013-3521-y

Lee K.H., Kim G.W., and Rhee K.H. 2010. Identification of Streptomyces sp. KH29, which produces an antibiotic substance processing an inhibitory activity against multidrug-resistant Acinetobacter baumannii. J Microbiol Biotechnol. 20(12):1672–1676. 10.4014/jmb.1007.07035

Li D., Wang Y., Kim E. La and Hong J. 2021. Neuroprotective effect of cyclo-(L-Pro-L-Phe) isolated from the jellyfish-derived fungus Aspergillus flavus. Marine Drugs. 19(8):1–18.

Lu C.-Y. 2006. Peptides as flavor precursors in maillard reaction.

Maehashi K., and Huang L. 2009. Bitter peptides and bitter taste receptors. Cell Mol Life Sci. 66(10):1661–1671. 10.1007/s00018-009-8755-9

Mallikarjun S., and Sieburth R.M.N. 2015. Aspartame and risk of cancer: a meta-analytic review. Arch Environ Occupat Health. 70(3):133–141. 10.1080/19338244.2013.828674

Malonis R.J., Lai J.R., and Vergnolle O. 2020. Peptide-based vaccines: current progress and future challenges. Chem Rev. 120(6):3210–3229. 10.1021/acs.chemrev.9b00472

Martínez-Núñez M.A., and López V.E.L.y. 2016. Nonribosomal peptides synthetases and their applications in industry. Sustain Chem Proc. 4(1):1–8. 10.1186/s40508-016-0057-6

McClure A.P., Spinka C.M., and Grün I.U. 2021. Quantitative analysis and response surface modeling of important bitter compounds in chocolate made from cocoa beans with eight roast profiles across three origins. J Food Sci. 86(11):4901–4913. 10.1111/1750-3841.15924

Mendham A.P., Palmer R.A., Potter B.S., Dines T.J., Snowden M.J., Withnall R., and Chowdhry B.Z. 2010a. Vibrational spectroscopy and crystal structure analysis of two polymorphs of the di-amino acid peptide cyclo(L-Glu-L-Glu). J Raman Spectrosc. 41(3):288–302. 10.1002/jrs.2467

Mendham A.P., Potter B.S., Palmer R.A., Dines T.J., Mitchell J.C., Withnalld R., and Chowdhry B.Z. 2010b. Vibrational spectra and crystal structure of the di-amino acid peptide cyclo(L-Met-L-Met): comparison of experimental data and DFT calculations. J Raman Spectrosc. 41(2):148–159. 10.1002/jrs.2426

Milne P.J., and Kilian G. 2010. The properties, formation, and biological activity of 2,5-diketopiperazines. Comp Natural Prod Chem Biol. 5:657–698. 10.1016/b978-008045382-8.00716-4

Minelli A., Bellezza I., Grottelli S., and Galli F. 2008. Focus on cyclo(His-Pro): history and perspectives as antioxidant peptide. Amino Acids. 35(2):283–289. 10.1007/s00726-007-0629-6

Minelli A., Conte C., Grottelli S., Bellezza I., Cacciatore I., and Bolaños J.P. 2009. Cyclo(His-Pro) promotes cytoprotection by activating Nrf2-mediated up-regulation of antioxidant defence. J Cell Mol Med. 13(6):1149–1161. 10.1111/j.1582-4934.2008.00326.x

Misiura M., and Miltyk W. 2019. Proline-containing peptides—new insight and implications: a review. BioFactors. 45(6):857–866. 10.1002/biof.1554

Muhialdin B.J., Hassan Z., and Saari N. 2018. In vitro antifungal activity of lactic acid bacteria low molecular peptides against spoilage fungi of bakery products. Ann Microbiol. 68(9):557–567. 10.1007/s13213-018-1363-x

Münger L.H., Garcia-Aloy M., Vázquez-Fresno R., Gille D., Rosana A.R.R., Passerini A., et al. 2018. Biomarker of food intake for assessing the consumption of dairy and egg products. Genes Nutr. 13(1):1–18. 10.1186/s12263-018-0615-5

Ni L., Zhuge F., Yang S., Ma L., Zheng A., Zhao Y., Hu L., Fu Z., and Ni Y. 2021. Hydrolyzed chicken meat extract attenuates neuroinflammation and cognitive impairment in middle-aged mouse by regulating M1/M2 microglial polarization. J Agric Food Chem. 69(34):9800–9812. 10.1021/acs.jafc.1c03541

Nilov D.K., Yashina K.I., Gushchina I.V., Zakharenko A.L., Sukhanova M.V., Lavrik, O.I., and Š, V.K. 2018. 2,5 Diketopiperazines : a new class of poly (ADP ribose) polymerase inhibitors. Biochemistry (Mosc). 83(2):152–158. 10.1134/S0006297918020074

Nishanth Kumar S., Dileep C., Mohandas C., Nambisan B., and Ca J. 2014a. Cyclo(D-Tyr-D-Phe): a new antibacterial, anticancer, and antioxidant cyclic dipeptide from Bacillus sp. N strain associated with a rhabditid entomopathogenic nematode. J Peptide Sci. 20(3):173–185. 10.1002/psc.2594

Nishanth Kumar S., Mohandas C., and Nambisan B. 2014b. Purification, structural elucidation and bioactivity of tryptophan containing diketopiperazines, from Comamonas testosteroni associated with a rhabditid entomopathogenic nematode against major human-pathogenic bacteria. Peptides. 53:48–58. 10.1016/j.peptides.2013.09.019

Novak B., Rainer V., Sulyok M., Haltrich D., Schatzmayr G., and Mayer E. 2019. Twenty-eight fungal secondary metabolites detected in pig feed samples: their occurrence, relevance and cytotoxic effects in vitro. Toxins. 11(9):1–20. 10.3390/toxins11090537

Ortiz A., and Sansinenea E. 2017. Cyclic dipeptides: secondary metabolites isolated from different microorganisms with diverse biological activities. Curr Med Chem. 24(25):2773–2780. 10.2174/0929867324666170623092818

Otsuka Y., Arita H., Sakaji M., Yamamoto K., Kashiwagi T., Shimamura T., and Ukeda H. 2019. Investigation of the formation mechanism of proline-containing cyclic dipeptide from the linear peptide. Biosci Biotechnol Biochem. 83(12):2355–2363. 10.1080/09168451.2019.1659718

Otsuka Y., Sakaji M., Arita H., and Kashiwagi T. 2021. Determination of cyclic dipeptides in various types of cheeses. Milk Sci. 70(2):63–73.

Ou Y.X., Huang J.F., Li X.M., Kang Q.J., and Pan Y.T. 2016. Three new 2,5-diketopiperazines from the fish intestinal Streptomyces sp. MNU FJ-36. Natural Prod Res. 30(15):1771–1775. 10.1080/14786419.2015.1137570

Pappas C.G., Wijerathne N., Sahoo J.K., Jain A., Kroiss D., Sasselli I.R., Pina A.S., Lampel A., and Ulijn R.V. 2020. Spontaneous aminolytic cyclization and self-assembly of dipeptide methyl esters in water. Chem Syst Chem. 2(5). 10.1002/syst.202000013

Pérez-Mellor A., Barbu-debus K. Le and Zehnacker A. 2020. Solid-state synthesis of cyclo LD-diphenylalanine: a chiral phase built from achiral subunits. Chirality.;32(5):693-703. 10.1002/chir.23195

Pérez-Picaso L., Escalante J., Olivo H.F., and Rios M.Y. 2009. Efficient microwave-assisted syntheses of 2,5-diketopiperazines in aqueous media. Molecules. 14(8):2836–2849. 10.3390/molecules14082836

Poonia B.K., Sidhu A., and Sharma A.B. 2022. Cyclo(l-proline-l-serine) dipeptide suppresses seed borne fungal pathogens of rice: altered Cellular Membrane Integrity of Fungal Hyphae and Seed Quality Benefits. Journal of Agricultural and Food Chemistry, 70(7):2160–2168. 10.1021/acs.jafc.1c07659

Pourmasoumi F., De S., Peng H., Trottmann F., Hertweck C., and Kries H. 2022. Proof-reading thioesterase boosts activity of engineered nonribosomal peptide synthetase. ACS Chem Biol. 17(9):2382–2388. 10.1021/acschembio.2c00341

Prasad C. 1995. Bioactive cyclic dipeptides. Peptides. 16(1):151–164. 10.1016/0196-9781(94)00017-Z

Qader M.M., Hamed A.A., Soldatou S., Abdelraof M., Elawady M.E., Hassane A.S.I., Belbahri L., Ebel R., and Rateb M.E. 2021. Antimicrobial and antibiofilm activities of the fungal metabolites isolated from the marine endophytes epicoccum nigrum m13 and alternaria alternata 13a. Marine Drugs. 19(4):1–13. 10.3390/MD19040232

Qi J., Han H., Sui D., Tan S., Liu C., Wang P., Xie C., Xia X., Gao J. Ming and Liu C. 2022. Efficient production of a cyclic dipeptide (cyclo-TA) using heterologous expression system of filamentous fungus Aspergillus oryzae. Microb Cell Factories. 21(1):1–9. 10.1186/s12934-022-01872-8

Rasheed HA, Rehman A, Chen X, Aziz T, Alasmari FA, Alamri SA, Alhomrani M, Cui H, Lin L. (2024). Unveiling the anti-listerial effect of Citrus bergamia essential oil: Mechanism of membrane disruption and anti-hemolytic activity. Food Bioscience, 61, 104742, 1-10. 10.1016/j.fbio.2024.104742

Rizzi G.P. 1989. Heat-induced flavor formation from peptides. Therm Gen Aromas. 16:172–181. 10.1021/bk-1989-0409.ch016

Rüschenbaum J., Steinchen W., Mayerthaler F., Feldberg A.L., and Mootz H.D. 2022. FRET monitoring of a nonribosomal peptide synthetase elongation module reveals carrier protein shuttling between catalytic domains. Angewandte Chemie Int Ed. 202212994:1–10. 10.1002/anie.202212994

Ryan L.A.M., Fabio D.B., Arendt E.K., and Koehler P. 2009. Detection and quantitation of 2,5-diketopiperazines in wheat sourdough and bread. J Agric Food Chem. 57(20):9563–9568. 10.1021/jf902033v

Saadouli I., Euch E., Trabelsi E., and Mosbah A. 2020. Isolation, characterization and chemical synthesis of large spectrum antimicrobial cyclic dipeptide (l-leu-l-pro) from streptomyces misionensis v16r3y1 bacteria extracts. A novel 1 h NMR metabolomic approach. 1:1–13. Antibiotics (Basel). 21;9(5):270. 10.3390/antibiotics9050270.

Safiullina A.S., Buzyurov A.V, Ziganshina S.A., Gerasimov A.V, Schick C., Gorbatchuk V.V and Ziganshin M.A. 2020. Thermochimica acta using fast scanning calorimetry to study solid-state cyclization of dipeptide. Thermochimica Acta. 692(July):178748. 10.1016/j.tca.2020.178748

Sakamura S., Furukawa K., and Kasai T. 1978. Bitter diketopiperazines in roasted malts for beer brewing. Agric Biol Chem. 42(3):607–612. 10.1080/00021369.1978.10863026

Sánchez A., Vázquez A. (2017). Bioactive peptides: A review. Food Quality and Safety. 1(1):29–46. 10.1093/fqsafe/fyx006

Scarel M., and Marchesan S. 2021. Diketopiperazine gels: new horizons from the self-assembly of cyclic dipeptides. Molecules. 26(11):3376. 10.3390/molecules26113376

Schmeda-Hirschmann G., de Andrade J.P., Jiménez-Aspee F., and Mieres-Castro D. 2020. A cyclic dipeptide from the Chilean hazelnut cotyledons (Gevuina avellana Mol., Proteaceae). Sci Rep. 10(1):1–5. 10.1038/s41598-020-63983-9

Semon B.A. 2014. Dietary cyclic dipeptides, apoptosis and psychiatric disorders: a hypothesis. Med Hypotheses. 82(6):740–743. 10.1016/j.mehy.2014.03.016

Sharafeldin N.A. 2022. Polyketopiperazines: triketopiperazines, tetraketopiperazines synthesis, reactions, bioactivities and applications. Arkivoc. 2022(1):221–261. 10.24820/ark.5550190.p011.735

Sharma S., Pradhan R., Manickavasagan A., Thimmanagari M., and Dutta A. 2021. Evaluation of nitrogenous pyrolysates by Py–GC/MS for impacts of different proteolytic enzymes on corn distillers solubles. Food Bioprod Proc. 127(March):225–243. 10.1016/j.fbp.2021.03.004

Stamatelopoulou E., Agriopoulou S., Dourtoglou E., Chatzilazarou A., Drosou F., Marinea M., and Dourtoglou V. 2018. Diketopiperazines in wines. J Wine Res. 29(1):37–48. 10.1080/09571264.2018.1433137

Stanstrup J., and Rasmussen J.E. 2014. Intakes of whey protein hydrolysate and whole whey proteins are discriminated by LC–MS metabolomics. Metabolmics. 10:719–736. 10.1007/s11306-013-0607-9

Stark T., and Hofmann T. 2005. Structures, sensory activity, and dose/response functions of 2,5-diketopiperazines in roasted cocoa nibs (Theobroma cacao). J Agric Food Chem. 53(18):7222–7231. 10.1021/jf051313m

Stro K. 2002. Lactobacillus plantarum MiLAB 393 produces the antifungal cyclic dipeptides-4-OH-l-Pro and 3-phenyllactic acid. Appl Environ Microbiol. 68(9):4322–4327. 10.1128/AEM.68.9.4322

Takahashi K., Kabashima F., and Tsuchiya F. 2016. Comprehensive two-dimensional gas chromatography coupled with time-of-flight mass spectrometry reveals the correlation between chemical compounds in Japanese sake and its organoleptic properties. J Biosci Bioeng. 121(3):274–280. 10.1016/j.jbiosc.2015.06.016

Tan L.T., Chan C., Chan K., Pusparajah P., Khan T.M., Ser H., Lee L., and Goh B. 2019. Streptomyces sp. MUM256: a source for apoptosis inducing and cell cycle-arresting bioactive compounds against colon cancer cells. Cancers. 11(11):1742. 10.3390/cancers11111742

Temussi P.A. 2012. The good taste of peptides. J Peptide Sci. 18(2):73–82. 10.1002/psc.1428

Thaqi A., McCluskey A., and Scott J.L. 2008. A mild Boc deprotection and the importance of a free carboxylate. Tetrahedron Lett. 49(49):6962–6964. 10.1016/j.tetlet.2008.09.027

Tulipano G. 2020. Role of bioactive peptide sequences in the potential impact of dairy protein intake on metabolic health. Int J Mol Sci. 21(22):8881.

Tullberg M., Grøtli M., and Luthman K. 2006. Efficient synthesis of 2,5-diketopiperazines using microwave-assisted heating. Tetrahedron. 62(31):7484–7491. 10.1016/j.tet.2006.05.010

Turkez H., Cacciatore I., Arslan M.E., Fornasari E., Marinelli L., Stefano A.Di and Mardinoglu A. 2020. Histidyl-proline diketopiperazine isomers as multipotent anti-Alzheimer drug candidates. Biomolecules. 10(5):737.

Ueda Y., Yonemitsu M., Tsubuku T., Sakaguchi M., Ueda Y., Yonemitsu M., Tsubuku T., and Sakaguchi M. 2014. Flavor characteristics of glutathione in raw and cooked foodstuffs. Biosci Biotechnol Biochem. 16(12):1977–1980. 10.1271/bbb.61.1977

van der Merwe E., Huang D., Peterson D., Kilian G., Milne P.J., Van de Venter M., and Frost C. 2008. The synthesis and anticancer activity of selected diketopiperazines. Peptides. 29(8):1305–1311. 10.1016/j.peptides.2008.03.010

Wahyu S.W., and Sonja B. 2023. Natural and engineered cyclodipeptides: biosynthesis, chemical diversity, and engineering strategies for diversification and high-yield bioproduction. Engg Microbiol. 3(1):1–18. 10.1016/j.engmic.2022.100067

Wang D., Zhan Y., Cai D., Li X., Wang Q., and Chen S. 2018. Regulation of the synthesis and secretion of the iron chelator cyclodipeptide pulcherriminic acid in Bacillus licheniformis. Appl Environ Microbiol. 84(13):1–14. 10.1128/AEM.00262-18

Winyakul C., Phutdhawong W., Tamdee P., Sirirak J., Taechowisan T., and Phutdhawong W.S. 2022. 2,5-Diketopiperazine derivatives as potential anti-influenza (H5N2) agents: synthesis, biological evaluation, and molecular docking study. Molecules. 27(13):1–17. 10.3390/molecules27134200

Xiao Z., Cui Y.J., Bai S.S., Yang Z.J., Miao-Cai>, Megrous S., Aziz T., Sarwar A., Li D., Yang Z.N. (2021. Antioxidant Activity of Novel Casein-Derived Peptides with Microbial Proteases as Characterized via Keap1-Nrf2 Pathway in HepG2 Cells. J Microbiol Biotechnol. 31(8):1163-1174. 10.4014/jmb.2104.04013

Wong F.C., Xiao J., Wang S., Ee K.Y., and Chai T.T. 2020. Advances on the antioxidant peptides from edible plant sources. Trends Food Sci Technol. 99(January):44–57. 10.1016/j.tifs.2020.02.012

Yamamoto K., Hayashi M., Murakami Y., Araki Y., Otsuka Y., Kashiwagi T., Shimamura T., and Ukeda H. 2016. Development of LC-MS/MS analysis of cyclic dipeptides and its application to tea extract. Biosci Biotechnol Biochem. 80(1):172–177. 10.1080/09168451.2015.1075865

Yang G., Tang Y., Liu X., Wang L., Qin L., Li D., Shen X., Kong C., Zhai W., Fodjo E.K., et al. 2024. Determination of free glycidol and total free monochloropropanediol in fish and krill oil with simple aqueous derivatization and high-performance liquid chromatography–tandem mass spectrometry. Foods. 13(15):2340. 10.3390/foods13152340

Yao T., Liu J., Liu Z., Li T., Li H., Che Q., Zhu T., Li D., Gu Q., and Li W. 2018. Genome mining of cyclodipeptide synthases unravels unusual tRNA-dependent diketopiperazine-terpene biosynthetic machinery. Nature Commun. 9(1):1–12. 10.1038/s41467-018-06411-x

Yin H., Takada K., Kumar A., Hirayama T., and Kaneko T. 2021. Synthesis and solvent-controlled self-assembly of diketopiperazine-based polyamides from aspartame. RSC Adv. 11(11):5938–5946. 10.1039/d0ra10086b

Yotmanee S., Oruna-concha M.J., and Parker J.K. 2018. Influence of the brewing process and degree of milling on the taste characteristics of pigmented rice wine. Flavour Sci. 155–158. 10.3217/978-3-85125-593-5-34

Yuan S., Yong X., Zhao T., Li Y., and Liu J. 2020. Cyclic dipeptides from lactic acid bacteria inhibit the proliferation of pathogenic fungi. Molecules. 25(23):5611.

Yusuf H., Satria D., Suryawati S., and Fahriani M. 2020. Combination therapy of eurycomanone and doxorubicin as anticancer on T47D and MCF-7 cell lines. Syst Rev Pharm. 11(10):335–341. 10.31838/srp.2020.10.55

Zhang J., Wang X., Li H., Chen C., and Liu X. 2022. Immunomodulatory effects of chicken broth and histidine dipeptides on the cyclophosphamide-induced immunosuppression mouse model. Nutrients. 14(21):4491. 10.3390/nu14214491

Zhao Z., Sugimachi M., Yoshizaki Y., Yin X., Han X.-L., Okutsu K., Futagami T., Tamaki H., Takamine K. 2021b. Correlation between key aroma and manufacturing processes of rice-flavor baijiu and awamori, Chinese and Japanese traditional liquors. Food Biosci. 44:101375. 10.1016/j.fbio.2021.101375

Zhao K., Xing R., and Yan X. 2021a. Cyclic dipeptides: biological activities and self-assembled materials. Peptide Sci. 113(2). 10.1002/pep2.24202

Zhou R. 2016. Elucidating the role of low molecular weight peptides as Maillard reactant flavor precursors in chicken meat. Revista CENIC. Ciencias Biológicas. 152(3).

Zhou R., Grant J., Goldberg E.M., Ryland D., and Aliani M. 2019. Investigation of low molecular weight peptides (<1 kDa) in chicken meat and their contribution to meat flavor formation. J Sci Food Agric. 99(4):1728–1739. 10.1002/jsfa.9362

Ziganshin S.A., Gerasimov A.V, Klimovitskii A.E., Khayarov K.R., Mukhametzyanov T.A., and Gorbatchuk V.V. 2019. Thermally induced cyclization of L-isoleucyl-L-alanine in solid state: effect of dipeptide structure on reaction temperature and self-assembly. J Pep Sci. 25(e3177):1–11. 10.1002/psc.3177

Ziganshin M.A., Safiullina A.S., Gerasimov A.V., Sufia A., Klimovitskii A.E., Khayarov K.R., and Gorbatchuk V.V. 2017. Thermally induced self-assembly and cyclization of l-leucyl-l-leucine in solid state. J. Phys. Chem. B. 121(36):8603–8610. 10.1021/acs.jpcb.7b06759