Download

ORIGINAL ARTICLE

Effect of germinated different colored bean flours as functional ingredients on technological, bioactive and sensory quality of rice flour muffins

Elif Cakir1*, Sibel Kahraman1, Muhammet Ozgolet2, Salih Karasu2

1Istanbul Aydin University, Engineering Faculty, Department of Food Engineering, Küçükçekmece, Istanbul, Turkey;

2Yildiz Technical University, Chemical and Metallurgical Faculty, Department of Food Engineering, Istanbul, Turkey

Abstract

Legumes are seen as an alternative protein source in the future. Germinated bean flours are increasingly incorporated into food formulations owing to their enhanced nutritional profiles. This study focuses on the development of novel gluten-free rice flour muffins enriched with five types of germinated bean flours: haricot bean, kidney bean, black bean, mung bean, and red bean flours. The research examines the impact of these germinated bean flours on the rheological properties of the muffin batter, as well as the physicochemical, bioactive, and sensory characteristics of the resulting muffins. It was found that adding germinated bean flours did not change the water retention capacity of rice flours but increased their oil retention capacity. Moisture content differed with germinated bean flours, and the lowest moisture content was determined in muffins containing kidney beans. The ash and protein ratio was found to be higher in muffins containing germinated legume flour. Protein content ranged between 8.82% and 13.56%, with the highest protein content determined in MMB muffins. The highest total phenolic content (TPC) values were determined in the muffin samples containing germınated mung bean flour, with the lowest observed in the control rıce muffın samples. The germınated harıcot bean and black bean flour-containing samples had similar phenolic content, with the highest determined in the germinated mung bean flour muffin samples. The antioxidant activities of the muffins were found to be statistically significant, with DPPH results in the 8.67 to 50.25 range. All n values of the batters were found below 1, also indicating non-Newtonian shear-thinning behavior. Germinated bean flours increased the consistency and viscoelastic structure of the batters. The batters of MRB muffins showed the highest regeneration and stiffness properties. Although germinated legume flours increased the hardness of the muffins during storage, it was determined that it was lower than the control wheat muffins and contributed positively to chewiness. MHB, MWC, and MBB were liked the most and were checked against MRC muffins, receiving higher scores. Germinated flour addition had a slowing effect on yeast and mold proliferation in muffins.

Key words: germinated, gluten-free, muffin, legume, rice flour

*Corresponding Author: Elif Cakir, Department of Food Engineering, Engineering Faculty, Istanbul Aydin University, PO Box 38, 34295, Kücükcekmece, Istanbul, Turkey. Email: elifcakir@aydin.edu.tr

Academic Editor: Prof. Ana Sanches-Silva—University of Coimbra, Portugal

Received: 5 November 2024; Accepted: 10 January 2025; Published: 1 April 2025

DOI: 10.15586/ijfs.v37i2.2880

© 2025 Codon Publications
This is an Open Access article distributed under the terms of the Creative Commons Attribution-NonCommercial-ShareAlike 4.0 International (CC BY-NC-SA 4.0). License (http://creativecommons.org/licenses/by-nc-sa/4.0/)

Introduction

Currently, sustainability has come to the forefront due to the increasing world population, climate change, drought, and scarcity of productive soils. There is also an increasing demand for foods rich in protein to address nutrient deficiencies among humans (Benítez et al., 2013; Sridhar & Seena, 2006). The growing popularity of vegan consumption styles and the need for innovative products that do not contain gluten for consumers with celiac disease have led to a higher demand for cereal products (Giraje & Hedaoo, 2019). From this perspective, plant proteins appear to be a focus for solutions to the demand for new food types with high nutrient value and functional benefits, linked to scarcity, diseases, and changes in consumption habits (Guajardo-Flores et al., 2017; MacInnis & Hodson, 2021; Movahhed et al., 2020). At the same time, legumes are emerging as an alternative protein source for the future with sustainable production (Benítez et al., 2013; Martín-Cabrejas et al., 2008; Ohanenye et al., 2020). Germination or sprouting, a selective and effective method for grains and legumes, has been shown to increase components like proteins, free amino acids, soluble carbohydrates, minerals, and vitamins (Laila & Murtaza, 2014; Liu et al., 2018; Onimawo & Asugo, 2004). Additionally, germination is an effective approach to reducing or potentially eliminating antinutritional compounds present in legumes (Atudorei, Stroe, & Codina, 2021). Among cereal products, muffins are commonly chosen by consumers and can be prepared with diverse formulations, making them a suitable option to incorporate legumes in a more flavorful way (Bravo-Núñez & Gómez, 2023; Kaur & Kaur, 2018; Köten, 2021). Since gluten plays an important role in product quality, its absence can lead to technological challenges (Torbica et al., 2010; Wesley et al., 2021). Although rice flour is one of the most suitable cereal flours for preparing gluten-free products, it is deficient in terms of technological quality features and nutrients. To improve certain properties of the formulation and address these deficiencies, there is a need to develop new recipes by adding (Lovis, 2003; Rai et al., 2014; Wesley et al., 2021) or combining (Mancebo et al., 2016; Wesley et al., 2021) other agents containing protein or starch. Germinated legume flours have been utilized to improve the nutritional profile and extend the shelf life of wheat flour muffins. The incorporation of guar bean flour into muffins has been shown to enhance sensory attributes and extend shelf life (Sharma et al., 2016). Similarly, the addition of germinated Moringa seed flour has been reported to increase protein, fiber, and mineral content without negatively affecting texture or sensory qualities (Chinma et al., 2014). Limited research has addressed the impact of germinated bean flours on the quality of gluten-free muffins. Previous studies demonstrated that germinated chickpea flour improved the quality and nutritional profile of gluten-free rice flour muffins (Gadallah, 2017). Additionally, the inclusion of germinated mung bean flour increased the specific volume and porosity of gluten-free muffins (Balighi et al., 2024). To date, no comprehensive study has investigated the effects of germinated bean flours in detail. This study aimed to present detailed information about the effect of germinated bean flour addition on gluten-free muffin production. For this purpose, five different germinated bean flours were used to develop novel gluten-free rice muffins, examining both the rheological properties of the batter—using four distinct rheological tests—and the quality attributes of the resulting muffins. The research encompassed physicochemical analyses, bioactive properties, textural characteristics, and sensory evaluations to provide a holistic assessment of the impact of germinated bean flours on gluten-free muffin quality.

Material and Method

Materials

Rice flour (Dola, Ankara), wheat flour, and other muffin ingredients (eggs, baking powder, milk, sugar, hydrogenated oil, vanilla powder), as well as legumes (haricot bean, kidney bean, black bean, mung bean, and red bean) from Reis (Istanbul), were procured from a local supermarket in Istanbul, Turkey. The chemicals used in the study were supplied by Merck (Darmstadt, Germany).

Germination of Legumes

The legumes (haricot bean, kidney bean, black bean, mung bean, and red bean) were drained and cleaned. They were soaked in tap water (25±2 °C) twice a day and left to germinate at room temperature for 5 days. The soaking process was terminated at the end of the 5th day. Germinated grains were placed on blotting papers and dried in an oven (Binder GmbH, Tuttlingen/Germany) at 50 ºC for 20 h until the moisture level dropped below 10%, then ground in a laboratory grinder (Waring, USA). The powder was sieved through a 250 μm sieve to ensure particle uniformity. After grinding, the flour was sifted and stored in airtight zip-lock plastic bags until further analysis (water and oil holding capacity).

Preparation of muffins

Two different control muffins were made with 100% wheat flour and 100% rice flour. Muffin doughs (all percentages are given by flour weight), except for the control, were prepared by substituting 100% rice flour with 20% legume flour. The formulation of all muffins is presented in Supplementary Table S1. The ingredients were added to the mixer (Tefal Mastermix, Türkiye) and the mixture was blended for 2 min at medium speed (Level 4). Then, the dry ingredients—flour, baking powder, and vanilla—were added and mixed (Level 2). The muffin batter was poured into muffin tins (6.5 cm diameter x 3 cm height), each weighing 40 g, and baked in an electric oven (Fimak, Turkey) at 160ºC for 35 min. The muffins were left to cool for 2 h. For analysis, they were placed in plastic bags and stored at room temperature for 7 days.

Physicochemical analysis

Standard methods were used for moisture, protein, and ash analyses. Three repetitions were performed. AACC methods were used to determine ash (method 08-01.01), protein (method 46-12.01), and fat (method 30-25.91) contents (AACC, 2010). The muffin results for moisture and ash analyses were calculated as percentages. For protein analysis using the Kjeldahl method, incineration was completed with 25 mL of sulfuric acid and Kjeldahl incineration tablets. Distillation and titration processes were then performed. The nitrogen factor was calculated as 5.70.

The crumb structure of muffins was analyzed using ImageJ2x version 1.54c software (NIH, USA, https://imagej.nih.gov/ij/, accessed on 15 June 2024). The analysis involved interpreting digital images of the crumbs by examining contrast differences between the solid and pore phases. To quantify the pore area and total pore area within the crumb (in square millimeters), the images were processed through a series of steps: cropping, conversion to grayscale, and binarization following the application of a threshold. Porosity was determined by calculating the ratio of pore area to the total analyzed area. Additionally, a particle’s resemblance to a perfect circle was quantified by its circularity, with values approaching 1 indicating a perfect circle (Sahin et al., 2024). Muffin volumes were determined using the rapeseed displacement method. The specific volume of the muffins, denoted in milliliters per gram (mL/g), was derived as the ratio of volume to weight.

Functional properties of the flours

Water absorption capacity (WAC)

For the water absorption capacity of wheat flour (control), rice flour, and rice flour-legume flour mixture, the flours were transferred to a dried and pre-weighed centrifuge tube containing a 1/10 (w/w) flour-to-distilled water sample. The mixture was then stirred and centrifuged at 3500 rpm for 30 min at room temperature. The water absorption capacity was calculated by subtracting the weight of the empty centrifuge tube plus the sample from the weight of the centrifuge tube plus the sample after centrifugation, following the draining of the upper liquid. The water absorption capacity was then calculated according to the formula below (Adegunwa et al., 2020; Beuchat, 1977).

Water absorbtion capacity %=Weight of water absorbed gSample weightg×100

Oil absorption capacity (OAC)

For the oil absorption capacity of wheat flour, rice flour, and rice flour-legume flour mixture, the flours were transferred to a dried and pre-weighed centrifuge tube containing a known weight of 1/10 (w/w) flour: oil. The mixture was then centrifuged at 3500 rpm for 15 min at room temperature, and the supernatant was discarded. The weight of the absorbed oil was obtained as follows (Abbey & Ibeh, 1988; Adegunwa et al., 2020). Oil absorption capacity (%) was calculated according to the following formula (Abbey & Ibeh, 1988):

Oil absorption capacity %=Weight of oil absorbed gSample weight g×100.

Bulk density

The difference between the empty and full flour weight of the calibrated centrifuge tube was determined and expressed as a proportion of the sample weight.

Extract of muffin samples

Muffin samples were mixed with a 70% ethanol solution (1:10 w/w) and shaken in a mixer for 2 h. They were then left in a mechanical mixer for 1 h, followed by centrifugation in an ultrasonic water bath (300W, Protech 12L, Turkey) at 25°C for 30 min. Afterward, they were centrifuged (Hettich, Rotofix 32 A, England) for 15 min at 4000 rpm. The supernatant was collected, and the obtained extracts were passed through a 0.45μm syringe filter (PTFE) and stored at +4°C for analysis.

Total phenolic content assay

The total phenolic content (TPC) in the extracts of muffin samples was assessed using a method adapted from Slinkard and Singleton (1965) with a few modifications. Each test tube was treated with 0.1 mL of extract, 0.1 mL of Folin-Ciocalteu (Sigma-Aldrich) reagent, and 0.3 mL of 2% sodium carbonate diluted in 4.5 mL of distilled water. These solutions were added to the extract and left in the dark for 2 h before absorbance measurements were made at 760 nm using a T60 UV-visible spectrophotometer (T60UV-PG Instruments, UK). The results are presented as mg gallic acid equivalent (GAE)/g dry matter (Singleton & Rossi, 1965). These measurements were performed in triplicate and then averaged to provide a mean value (Singleton & Rossi, 1965).

DPPH radical scavenging activity

To evaluate the antioxidant activity of various muffin samples, the DPPH (Sigma-Aldrich) (1,1-diphenyl-2-picrylhydrazyl) radical scavenging activity method, adapted from Brand-Williams et al. (1995), was used. In this experiment, 0.1 mL of the samples were mixed with 3.9 mL of DPPH radical solution in methanol. After standing at room temperature for 30 min in the dark, the absorbance was measured at 517 nm. The method calculates the percentage decrease in DPPH absorbance, which indicates the antioxidant activity of the samples, according to the formula: DPPH radical scavenging activity (%) = (A0−A1/A0)×100 where A0 is the absorbance of the DPPH solution without antioxidant and A1 is the absorbance of DPPH in the presence of antioxidant (Jia Zhishen et al., 1999).

ABTS radical scavenging activity assessment

The ABTS radical (Sigma-Aldrich) scavenging test, a method developed by Re et al. (1999), was used to evaluate the antioxidant capacity of muffins. The test was carried out by preparing an ABTS radical cation solution through the reaction of 7 mM ABTS with 2.45 mM potassium persulfate (Re et al., 1999). A 0.1 mL aliquot of the extracts was taken and mixed with 3 mL of the diluted ABTS solution. Then, the change in absorbance of this mixture was measured at 734 nm after 6 min (Re et al., 1999).

The ABTS radical scavenging activity is quantified using a formula that compares the absorbance of the ABTS solution with and without the test sample;

ABTS radical scavenging activity %=A0A1A0×100

where A0 is the absorbance of ABTS radical, and A is the absorbance of ABTS in the presence of an antioxidant. Trolox was used as standard antioxidant.

Total flavonoid content assay

The determination of total flavonoid content (TFC) in the extracts of muffin samples was performed using a modified version of the Zhishen method (1999). In each test tube, 0.25 mL of the extract was mixed with 1.25 mL of distilled water, and then 75 μL of 5% sodium nitrite solution was added and left at room temperature for 6 min. Next, 150 μL of 10% aluminum chloride solution was added to each sample, and an additional 5 min incubation was performed. To terminate the reaction, 0.5 mL of 1 M sodium hydroxide solution and 275 μL of distilled water were added, and the samples were mixed well. The absorbance was measured at 510 nm. Flavonoid content in the extracts was determined using a standard calibration curve with catechin. The results were expressed as mg catechin equivalent (CE)/g dry matter. All measurements were performed in triplicate, and the results were averaged (Jia Zhishen et al., 1999).

Dynamic rheological measurements of muffin batter

The rheological properties of the muffin batters were evaluated using a temperature-controlled rheometer (MCR302; Anton Paar, Sydney, NSW, Austria) through four distinct tests. All measurements, except for the temperature sweep test, were conducted at a constant temperature of 25 °C. The probe diameter was 25 mm, and the gap between the plates was maintained at 1 mm. During the steady shear test, shear rates were varied between 0.1 and 100 s–1, while the corresponding changes in shear stress were recorded. The relationship between shear rate and shear stress was modeled using the Power-law model (Eq. 1).

τ = Kγn (Eq. 1)

In Eq. 1, τ represents the shear stress (Pa), K represents the consistency index (Pa•sn), γ represents the shear rate (1/s), and n represents the flow behavior index.

Before assessing the dynamic rheological properties, the linear viscoelastic region (LVR) was identified using a stress sweep test. Subsequently, a frequency sweep test was conducted within the LVR across an angular velocity range of 0.1 to 64 rad/s. The variations in storage modulus (G') and loss modulus (G") were evaluated as a function of frequency, and the relationship between frequency and the moduli was modeled using the Power-law equations (Eq. 2 and 3).

G' = K'(ω)n' (Eq. 2)

G" = K"(ω)n" (Eq. 3)

In Eq. 2 and Eq. 3, G' represents the storage modulus (Pa), G" represents the loss modulus (Pa), ω represents the angular velocity (rad/s), K' and K" represent the consistency indices, and n represents the flow behavior index.

The 3-interval thixotropy test (3-ITT) was performed to assess how muffin batters respond to structural changes caused by high shear deformation. The test consists of three intervals: in the first interval, a low shear rate (0.5 s–1) was applied for 100 s. In the second interval, a high shear rate (150 s–1) was applied for 40 s to induce deformation in the batters. In the third interval, the conditions of the first interval were restored, and the ability of the batters to retain their structure and recover post-deformation was evaluated (Ozgolet et al., 2024). The degree of deformation caused by the high shear rate (Eq. 4) and the recovery values of the batters (Eq. 5) were used for interpretation. Additionally, long-term recovery was assessed by comparing the equilibrium storage modulus (Ge) in the third interval with the storage modulus (G0) immediately after deformation.

Dr%=GiG0Gi×100 4
Rec %=G30Gi 5

In Eq. 4 and Eq. 5, Gi represents the G' value in the first interval, G0 represents the G' value immediately after exposure to the high shear rate deformation, and G30 represents the G' value 30 s after the high shear rate deformation.

The temperature-dependent behavior of the muffin batters was analyzed using a temperature sweep test. During this test, the temperature was increased from 25°C to 120°C at a rate of 5°C/min, while the change in the storage modulus (G') with respect to temperature was monitored (Toker et al., 2015).

Textural analysis

Texture Profile Analysis (TPA) was conducted using a TA-TX Plus Texture Analyzer (Stable Micro Systems, Surrey, UK) following the proposed method (Akcicek et al., 2024). The muffin samples were prepared by slicing the crumb into 20 mm vertical sections. The test parameters included 40% compression, two compression cycles with a 5-s interval between cycles, a pre-test and post-test speed of 1 mm/s, and a test speed of 3.0 mm/s. A cylindrical probe with a 36 mm diameter and a trigger force of 5 g was used for the analysis. The TPA curves were analyzed to determine resilience, cohesiveness, chewiness, hardness, and springiness. In TPA, hardness is defined as the peak force exerted during the first compression cycle. Cohesiveness quantifies the ability of a product to withstand a second deformation relative to its resistance during the initial deformation. Springiness measures the extent to which a product physically recovers its original shape after being deformed during the first compression, following the specified waiting interval between strokes. Chewiness applies exclusively to solid products and is calculated as the product of hardness, springiness, and cohesiveness. Resilience represents the capacity of a product to recover its original height after deformation. It is determined during the withdrawal phase of the first penetration, prior to the onset of the waiting interval. Measurements were taken at three time points: 2 h post-baking and on the 3rd and 7th days of storage.

Sensory analysis

Thirty trained panelists from İstanbul Aydin University’s Food Engineering Department conducted the sensory evaluation. Sensory analysis was conducted according to the method of Ávila et al. (2017). Participants were informed about the procedures of the study. Samples coded with three random numbers were presented in 10 g portions and served on porcelain plates at room temperature. The test was performed in a laboratory environment with white light, free from noise and odors, away from main meals. Panelists were asked to respond to an acceptability test based on a hedonic scale, evaluating attributes such as crumb and crust color, taste, odor, internal porosity, hardness, friability and general acceptability attributes. Intentional samples were evaluated using a 6-point scale (1: very bad, 2: bad, 3: middle, 4: neither good nor bad, 5: good, 6: very good) (Ávila et al., 2017). Crumb porosity and pore size distribution have been used as quality evaluation parameters to understand the internal structure of bakery products. The desired cakes are attributed to small porosity which provides high volume (Amani et al., 2022; Tsatsaragkou et al., 2015). When determining quality specifications, the relationship between consumer acceptance and descriptive panel responses should be established (Suwonsichon, 2019).

Microbiological analysis

Muffin samples were stored in plastic bags at ambient temperature for 7 days, and total yeast mold counts were determined on days 1, 3, and 5. Total yeast mold counts on muffin samples were determined on Potato Dextrose Agar (PDA) (Merck) spread plates, which were incubated at 25 °C for 48 h according to the spread plate method (Salazar et al., 2021).

Statistical analysis

All experiments were performed in triplicates. The data were subjected to one-way analysis of variance. Significant differences between samples were calculated using the Tukey test (p < 0.05). Statistical analysis was performed with SPSS for Windows version 16 (SPSS Inc., Chicago, IL, USA).

Result and Discussion

Functional properties of germinated legume flour substituted rice flours

The functional properties of the flours used in the production of muffins are presented in Table 1. It was determined that the water-holding capacity of rice flours, when mixed with wheat, rice control flours, and different germinated bean flours, varied between 52.29% and 69.77%, while their oil-holding capacity ranged from 49.51% to 59.14%.

Table 1. Functional properties of wheat, rice, and germinated legume flour fortified rice flours.

Flour samples Water absorption capacity (%) Oil absorption capacity (%) Bulk density (g/mL)
WF 69.77±0.2a 58.63±0.7a 0.72±0.01a
RF 52.29±0.3b 49.51±1.7b 0.59±0.00de
HBF 54.43±0.8b 59.14±0.9a 0.58±0.01e
BBF 53.03±1.2b 57.93±1.4a 0.65±0.00bc
KBF 54.29±0.5b 58.55±0.3a 0.63±0.0bcd
MBF 52.72±0.3b 58.96±2.0a 0.61±0.01cde
RBF 53.06±0.6b 56.87±0.4a 0.67±0.01b

WF: Wheat Flour; RF: Rice Flour; HBF: %20 Haricot bean flour %80 Rice Flour; BBF: %20 Black bean flour %80 Rice Flour; KBF: %20 Kidney bean flour %80 Rice Flour; MBF: %20 Mung bean flour %80 Rice Flour; RBF: %20 Red bean flour %80 Rice Flour.

The water retention capacities of rice flour containing legume flours were statistically lower than those of wheat flour (Table 1). The oil-binding capacity of wheat flour and flours containing other legume flours was statistically similar to each other but higher than that of rice flour. The bulk density of the flours was determined to be in the range of 0.8–1.7 g/ml Thanks to the proteins they contain, legumes can exhibit various functional properties such as water retention, gel formation, emulsification, oil absorption, and foaming capacity (Adebiyi & Aluko, 2011; Barac et al., 2015; Gupta et al., 2018; Wang et al., 2020). It has also been reported that the water retention capacity of flours influences their baking properties, which are affected by the flour’s polysaccharide content and protein quality (Hodge, 1976; Kaur & Singh, 2005).

Moisture, ash, and protein results of muffin samples

The calculated moisture, ash, and protein contents are given in Table 2. Moisture values fluctuated within the range of 26.6–32.51%. The lowest moisture values were determined in the MKB muffin. Ash contents ranged from 2.29% to 2.88%.

Table 2. Moisture, ash, and protein content of the muffins, their volume, and crumb porosity values.

Muffin samples Moisture % Ash % Protein % Specific volume g/mL Porosity %
MWC 32.51±0.02a 1.30±0.05b 10.16±0.13c 2.25±0.03a 46.14
MRC 29.53±2.03b 1.12±0.07c 8.82±0.10d 2.01±0.03c 35.86
MHB 30.96±0.09ab 1.79±0.01a 12.29±0.31b 2.09±0.06b 34.71
MBB 32.45±0.56a 1.85±0.05a 12.68±0.38ab 2.09±0.01b 39.08
MKB 26.6±0.99c 1.82±0.04a 12.15±0.66b 2.17±0.05ab 39.36
MMB 30.43±0.12ab 1.81±0.07a 13.56±0.24a 2.19±0.14ab 43.85
MRB 31.22±0.87ab 1.83±0.04a 11.92±0,54b 2.04±0.07bc 32.53

The abbreviations represent the muffins produced with wheat flour (MWC), rice flour (MRC), and fortified with black bean (MBB), kidney bean (MKB), mung bean (MMB), haricot bean (MHB), red bean (MRB) flours. The different lowercase letters in the same column indicate statistical significance (p < 0.05).

The lowest ash percentage was determined in the MRC and MWC samples. All legume-enriched muffins showed higher ash content than the control muffins. In addition, protein content was higher in muffins containing sprouted bean flour compared to the control muffins. Studies have shown that the rich mineral content of legumes is effective in ash content (Jeong & Chung, 2019; Jood et al., 1988). Protein content ranged from 8.82% to 13.56%, with the highest found in MMB muffin samples and the lowest in MRC rice muffins. In a study, the protein, fat, crude fiber, ash, mineral content, total phenolic content, total flavonoid content, and antioxidant activity of composite flour muffins made with finger millet flour, germinated black soybean meal, and kenaf leaf powder at different concentrations were significantly (p ≤ 0.05) higher than the control cake (Mitharwal & Chauhan, 2022). It was reported that the protein content in breads containing 5%–25% sprouted bean flour (Phaseolus vulgaris) increased from 9.22% to 12.69% (Atudorei et al., 2021). The protein level in wheat flour noodles containing up to 20% germinated mung beans increased from 11.37% to 15.56% (Yaver & Bilgiçli, 2020). In another study, the protein content of germinated kidney bean flour increased from 20.77% to 23.36% (Sibian & Riar, 2023). It was observed that the protein content in breads containing different levels of 5%–25% sprouted black beans increased from 8.80% to 12.69% (Atudorei et al., 2021). The previous studies mentioned above suggest that the increase in protein levels with the addition of germinated legume flours is associated with the protein content of legume flours and the germination process. The specific volume of muffins was determined to be between 2.01% and 2.25%, as shown in Table 2. The specific volumes of muffins containing different germinated flours were found to be lower than the control wheat muffins (MWC) but higher than the control rice flour muffins (MRC). However, the specific volumes of MKB and MMB muffins were statistically similar to MWC. The pore area was determined to be between 32.53% and 46.14% (Table 2). Additionally, the pore structures of the muffin crumbs are illustrated in Figure 1. The control wheat muffins have the highest pore area, followed by MMB muffins. Porosity values are consistent with the specific volumes of the muffins, as a high porous structure leads to a high volume of muffins.

Figure 1. The crumb appearance, binarized, and % pore area of muffins. The abbreviations represent the muffins made with wheat flour (MWC), rice flour (MRC), and fortified with black bean (MBB), kidney bean (MKB), mung bean (MMB), haricot bean (MHB), red bean (MRB) flours. Different lowercase letters in the same column indicate statistical significance (p < 0.05).

Total phenolic content (TPC) and antioxidant capacity (ABTS, and DPPH), flavonoid

Table 3 presents the phenolic, antioxidant, and total flavonoid contents of muffins containing different types of germinated flour. Samples containing different beans were found to have significantly different phenolic, antioxidant, and total flavonoid contents (p<0.05). The total phenolic content (TPC) of muffins ranged from 1.84 to 3.09 GAE g–1. The highest TPC values were found in the MMB muffin samples, with the lowest observed in the MRC control samples. The MHB and MBB samples had similar phenolic content, with the highest value identified in the MMB muffin samples. As a result of the DPPH analysis, the MMB sample (50.25 mg GAE/g) exhibited significantly higher scavenging activity (p<0.05). The antioxidant activities of the muffins were statistically significant, with DPPH results ranging from 8.67 to 50.25. The lowest value was observed in the rice control muffin, while the highest was found in the MMB muffin. According to the ABTS analysis results, the highest values were found in the MBB samples, with the lowest in the MRC control samples. The MHB, MBB, MMB, and MRB muffin samples exhibited the highest antioxidant activity, but were statistically similar. The lowest phenolic and antioxidant values were identified in the control samples.

Table 3. Total phenolic, antioxidant and flavonoid content of muffin samples.

Muffin samples TPC GAE g-1 DPPH inhibition % ABTS mg TEAC /100g sample Total Flavonoid mg ECAT/g
MWC 1.84±0.01c 16,74±0.15bc 45.76±0.01c 1.76±0.02ab
MRC 1.42±0.02d 8.67±0.12d 36.11±0.03d 1.34±0.08b
MHB 2.42±0.03b 14.75±0.24c 61.71±0.00a 1.43±0.01b
MBB 2.22±0.06b 27.06±0.17b 61.46±0.02a 2.10±0.00ab
MKB 2.20±0.08b 18.81±0.15bc 54.91±0.05b 2.01±0.01ab
MMB 3.09±0.04a 50.25±0.61a 62.51±0.03a 2.65±0.02a
MRB 2.74±0.07b 22.1±0.09b 60.26±0.01a 2.33±0.03ab

The abbreviations represent the muffins produced with wheat flour (MWC), rice flour (MRC), and fortified with black bean (MBB), kidney bean (MKB), mung bean (MMB), haricot bean (MHB), red bean (MRB) flours. The different lowercase letters in the same column indicate statistical significance (p < 0.05).

Germinated and sprouted foods may be used to improve phytochemical and functional quality (Dueñas et al., 2015). Germination has been shown to increase the total flavonoid content in varying amounts in chickpeas and red lentils (Singh et al., 2017). Most of the phenolic content found in legume seeds is located in the shell (Magalhaes et al., 2017). The total flavonoid content was identified to range from 1.34 to 2.65 mg ECAT/g with the highest content in the MMB sample and the lowest in the MRC control sample. In a study comparing soybeans with germinated starter beans, the total phenolic content was higher on the 1st, 2nd, 3rd, and 5th days of germination, and it was stated that germination increased the antioxidant capacity of mung beans (Huang et al., 2014). Various studies on legumes have reported that different germination process conditions can alter the phenolic and antioxidant content of legumes (Aguilera et al., 2011; Lin & Lai, 2006; López et al., 2013). One study explained that dark-colored beans, in addition to having phenolic compounds, contained high levels of anthocyanins responsible for the seed color (Lin et al., 2008). In a similar study, increases in phenolic acids such as caffeic acid, cumaric acid, and ferulic acid, as well as myricetin and flavonoids, were identified in red rice grains after 16 h of germination. Additionally, the germination duration did not create a significant difference in antioxidants (p<0.05) (Müller et al., 2021). In our study, compared to the control muffins containing wheat and rice flour, muffins containing germinated legume flour were found to have higher TPC, antioxidant, and total flavonoid content. The germination process has been investigated for a variety of grain types and has been reported to have beneficial effects, such as increased bioactive compounds and improved protein digestibility (Cornejo et al., 2015).

Rheological characteristics of the muffin batters

The consistency of muffin batters directly affects the gas retention capacity of muffins, as an adequate batter consistency helps retain CO2 during baking. Fast-rising bubbles in a runny batter may escape, leading to a reduction in the final volume. The graph of shear rate versus shear stress is illustrated in Figure 2A. From Figure 2A, it can be seen that shear stress increases with increasing shear rate. The shear rate increases faster than shear stress, indicating a shear-thinning behavior of the muffin batters.

Figure 2. Rheological characteristics of the muffin batters. A: steady-shear, B: frequency sweep, C: 3-ITT, D: temperature sweep. The abbreviations represent muffins made with wheat flour (MWC), rice flour (MRC), and fortified with black bean (MBB), kidney bean (MKB), mung bean (MMB), haricot bean (MHB), red bean (MRB) flours.

The power-law model was applied to describe the relationship between shear stress and shear rate (R2 > 0.98). The parameters (K and n) are presented in Table 4. All n values of the batters were found to be below 1, indicating non-Newtonian shear-thinning behavior. Adding bean flour increased the batter consistency index in all muffin batters. MWC and MRC showed the lowest K values, indicating their low viscosity and more liquid-like structure. Higher K values in the bean-flour batters likely provide greater resistance to bubbles floating up and favor the stability of bubbles in the batter. As shown in Table 4, bean-flour-enriched muffins exhibited higher specific volumes than muffins produced solely from rice flour. This may be due to the low consistency of the MRC batter. However, MWC muffins displayed higher specific volumes than the other muffins. MWC muffins performed better in baking and had more air bubbles, despite their low consistency. Although the increase in the consistency index due to bean-flour addition contributed to higher volume compared to MRC, it did not fully compensate for the functional properties of wheat flour. The low consistency of MWC might be associated with wheat flour’s high water absorption capacity (Table 4). The higher rate of water in the muffin batter may facilitate the movement of the particles (Shevkani & Singh, 2014). In contrast, rice flour absorbs a lower amount of oil, which may cause the easier movement of flour particles and other ingredients in the muffin, thanks to the lubrication effect of non-absorbed oil. Additionally, adding bean flour increases the protein content of the batters. For bean-flour-enriched batters, the increase in protein content may cause an increase in batter consistency, which may be attributed to the interaction of proteins with starches (Kaur et al., 2022). A frequency sweep test was conducted to characterize the dynamic rheological properties and viscoelasticity of muffin batters. Figure 2B shows the storage modulus (G') and loss modulus (G") as functions of frequency. All muffin batters exhibited soft gel behavior, as evidenced by their higher G' values compared to G". All gluten-free batters, including MRC, had higher K' values and lower n' values compared to MWC. The increased viscoelasticity of bean-flour-enriched batters indicates the formation of a complex structure. The power-law model and non-linear regression were employed to analyze the changes in G' and G" with respect to angular velocity. The dynamic flow characteristics of the batters were defined by the derived parameters K', K", n', and n" (Table 1). The K' values of the muffin batters containing bean flour ranged from 1659.03 to 3991.23 Pa•sn, while the K' values varied from 464.77 to 1075.40 Pa•sn. The consistently higher K' values compared to K' in all batters suggest a viscoelastic solid nature. The higher K' of bean flour-enriched muffin batters may be due to increased non-gluten proteins. Matos, Sanz & Rosell (Matos et al., 2014) reported that the addition of different protein sources showed diverse effects on batter consistency depending on the protein source. Vegetable proteins like soy and pea proteins increased G' and G" in gluten-free muffin batters. These two proteins added batters had much higher G' values than no-protein added rice flour-based and vital gluten-added muffin batters, consistent with our study. The 3-ITT test displays the thixotropic behavior of muffin batters (Figure 2C). All batters lost their structures under large deformation applied in the second interval. Although they regained storage modulus to some extent, all G' values of batters were lower compared to G' values in the initial conditions. All muffin batters showed deformation greater than 90%, indicating very high deformation under high shear deformation. Recovery rates of muffin batters indicate the regeneration ability of the batters. The MRB batter showed the highest regeneration ability, with a 34.6% recovery value, followed by the MWC batter (24.6%). At the end of the third interval, the total recovery of batters was given as the ratio of G' values at the beginning and end of the third interval. MWC and MRB recovered their structures more effectively than other batters, with recovery ratios of 44.6% and 46.3%, respectively. The bean-flour-enriched muffin batters, which had low consistency indices in the steady shear test, also showed lower recovery rates. The MRB batter had the highest consistency index and recovery rates among all batters. Conversely, the MWC batter had a lower consistency index, but its recovery rate was higher than the other batters except MRB. A temperature sweep test was used to determine the temperature-dependent rheological behavior of muffin batters. For this reason, G' values versus temperature ranging from 20 to 110 °C were illustrated in Figure 1D. The flow behavior of muffin batters in response to temperature variations provides insights into their pasting characteristics. This behavior is primarily influenced by the flour composition, as well as the inherent properties of starches and proteins present in the batter. The storage modulus (G') increases as starch granules absorb water and swell due to gelatinization during heating. However, G' subsequently decreases when the starch granules begin to break down at elevated temperatures. All muffin batters exhibited the same behavior patterns. The storage modulus (G') of all muffins decreased initially. The muffin batters exhibited a thermal transition between 35 and 55 °C, attributed to protein folding, which led to a loss of structural integrity and a subsequent decrease in the storage modulus (G'). Singh et al. (2016) and Matos et al. (2014) also found that protein addition caused a decrease in storage modulus at low temperatures, which is attributed to protein-protein interactions. Moreover, another study reported that the formation of CO2 caused the expansion of air bubbles, leading to a decrease in batter density and, consequently, a decrease in batter consistency during the heating process (Taberner et al., 2007). When the temperature exceeds 80°C, both storage and loss moduli increase for all muffin batters as a result of starch gelatinization. These batters exhibited a significant increase in the storage modulus (G'), indicating an enhancement in the solid-like and rigid structure with rising temperature. For all muffin batters, the onset temperature of gelatinization is approximately 80°C. At all temperatures, the MRB batter showed the highest G'.

Table 4. Model parameters defining steady shear and dynamic rheological properties of muffin batters and 3-ITT characteristics.

Sample Name Steady-shear characteristics Dynamic rheological characteristics 3-ITT rheological characteristics
K n R2 K' n' R2 K" n" R2 Def (%) Rec (%) Ge/Go
MWC 45.21±0.94e 0.32±0.02ab 0.995 602.33±5.52g 0.19±0.02a 0.999 246.91±4.36f 0.21±0.02a 0.972 95.8±0.8b 24.6±1.1b 44.6±1.1a
MRC 46.44±1.38e 0.23±0.02c 0.982 1831.05±8.70e 0.10±0.02b 0.999 460.42±5.36e 0.11±0.01b 0.977 99.3±0.6a 5.8±0.4e 11.9±0.9e
MBB 54.61±2.04d 0.21±0.01c 0.993 1659.03±4.94f 0.11±0.02b 0.999 464.77±6.17e 0.12±0.01b 0.979 98.0±0.6ab 19.6±0.5c 27.0±0.5b
MKB 72.44±1.28c 0.22±0.03c 0.984 2382.26±11.46c 0.11±0.02b 0.999 670.96±2.38c 0.10±0.01b 0.939 98.5±1.1a 9.5±0.3d 14.2±0.5d
MMB 58.80±1.00d 0.29±0.02b 0.998 2170.94±5.29d 0.10±0.02b 0.999 619.16±5.50d 0.10±0.01b 0.920 99.4±0.5a 6.0±0.4e 9.6±0.3f
MHB 78.41±1.11b 0.35±0.02a 0.999 2793.90±10.66b 0.12±0.02b 0.999 838.64±8.25b 0.11±0.01b 0.939 98.5±1.1a 10.0±0.3d 16.9±0.5c
MRB 93.31±2.27a 0.32±0.02ab 0.999 3991.23±11.23a 0.11±0.02b 0.998 1075.40±13.22a 0.10±0.01b 0.933 92.7±1.6c 34.6±1.1a 46.3±1.3a

The abbreviations represent the muffins produced with wheat flour (MWC), rice flour (MRC), and fortified with black bean (MBB), kidney bean (MKB), mung bean (MMB), haricot bean (MHB), red bean (MRB) flours. The different lowercase letters in the same column indicate statistical significance (p < 0.05).

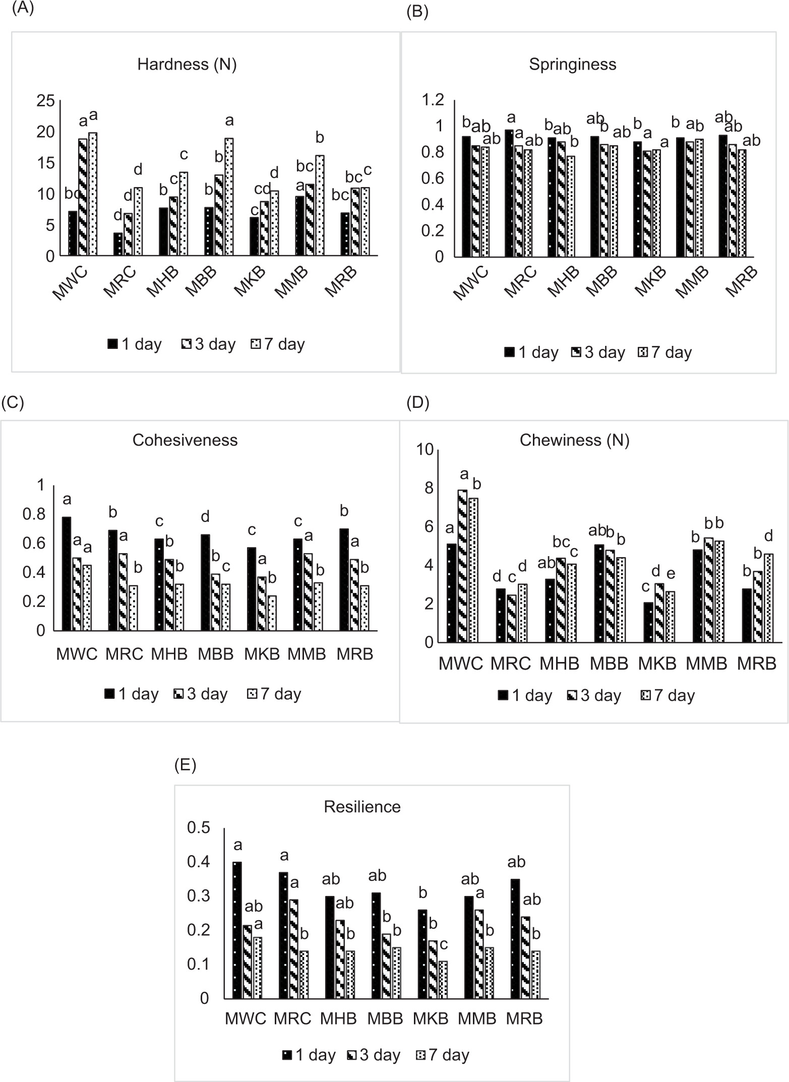
Textural properties of muffins

The hardness values of the muffins ranged from 3.61 to 9.49 N on the first day, with the rice-based control muffin (MRC) exhibiting the lowest hardness and the muffin made with germinated legumes (MMB) displaying the highest. This increase in hardness with the addition of germinated legumes in gluten-free muffins is likely attributed to the higher protein content. The MRC had the lowest protein levels among all muffin samples. Previous studies have shown that higher levels of chickpea protein result in a firmer crumb structure, with increased hardness attributed to the formation of cross-linked molecules between polysaccharides and proteins (Shaabani et al., 2018). Similarly, Dhillon and Kour (2023) utilized oyster mushroom powder (OMP) as a novel protein source in rice-based gluten-free muffins and reported an increase in hardness with the addition of OMP. Additionally, the inclusion of whey protein has been shown to enhance hardness, likely due to protein denaturation and aggregation, which leads to the formation of a solid protein network during high-temperature baking (Ammar et al., 2021; Dhillon et al., 2023). As expected, the hardness of the muffins increased over the seven-day storage period. Notably, the hardness of the wheat-based control muffins (MWC) increased more than that of the gluten-free muffins on both the 3rd and 7th days. Zhang et al. (2021) noted that proteins can mitigate starch retrogradation, as proteins in starchy food matrices can either encapsulate the starch or adsorb onto its surface at the micron scale, interacting with starch chains through non-covalent (e.g., hydrogen bonding, hydrophobic interactions, electrostatic forces) and covalent bonds (e.g., via Maillard reactions) (Zhang et al., 2021). On the other hand, the high hardness of the MWC muffins may be due to the promoting effect of wheat proteins (gliadin, globulins, albumins) on starch retrogradation. Xijun et al. (2014) found that wheat proteins can form glucosidic bonds with starch, affecting how α-amylase hydrolyzes starch during retrogradation. Springiness values across the different muffin formulations were similar, with a general decline observed during storage (Xijun et al., 2014). Higher springiness values indicate better quality muffins, as springiness is associated with a fresh, aerated, and elastic texture. All muffins exhibited high springiness values on the first day (>0.90), with no significant differences in springiness values after seven days of storage (p > 0.05), except that the springiness of MMB was higher than MHB. The greater protein content and porosity of MMB may contribute to its more elastic nature. In a similar context, Matos et al. (2014) reported that the addition of egg white and casein proteins increased muffin springiness, which was attributed to a more aerated structure and higher specific volume (Matos et al., 2014). The cohesiveness of muffin crumbs ranged from 0.57 to 0.78, with the highest value in MWC on the first day. All muffins experienced a loss in cohesiveness during storage. Greater cohesiveness indicates a more intact muffin crumb structure that is less prone to crumbling. During the seven-day storage period, MWC maintained a compact structure and showed the highest cohesiveness values. In starch-containing batters, amylose undergoes a transformation from an amorphous to a more ordered crystalline state during optimal starch gel formation. The decrease in cohesiveness of legume-enriched muffins may be related to proteins inhibiting amylose’s ability to reorder and retrograde (Bravo-Núñez et al., 2020). Chewiness is the energy required to masticate a product until it reaches a swallowable consistency and is calculated by multiplying cohesiveness, springiness, and hardness. The chewiness values of MWC and MMB were the highest on the first day due to the increased hardness of the muffin crumbs. On the seventh day, lower cohesiveness and hardness in MKB resulted in the lowest chewiness value. The resilience values of the legume-enriched muffins and the control muffins did not show significant differences (p > 0.05), except that MKB muffins exhibited lower resilience than the control muffins (p < 0.05). Resilience is the ability of a material to recover its original height after being compressed or deformed. Over seven days of storage, the resilience values of all muffins decreased. The MWC muffin demonstrated the highest resilience, while the MKB muffin exhibited the lowest resilience. The other muffins did not differ significantly from each other (p > 0.05). The lower resilience of MKB may be attributed to the batter’s thixotropic behavior, as the MKB batter showed the lowest recovery values after high shear deformation in the 3-ITT test (Table 4). Additionally, MKB muffins had less moisture compared to the other muffins, resulting in limited water availability for starch gelatinization, which in turn led to lower starch gel formation and resilience values.

Sensory properties of muffins

The results for crust and crumb color, taste, odor, internal porosity, hardness, friability, and general acceptability for the muffins containing different legume flours are provided in Table 5. Additionally, the muffins presented to the panelists are visually depicted in Figure 4.

Figure 3. Textural change of muffins during storage (A) Hardness, (B) Springess, (C) Cohesiveness, (D) Chewiness, (E) Resilience.

Figure 4. Appearance of control wheat, control rice flour, and sprouted legume flour substitute muffins.

Table 5. Sensory properties of muffins.

Muffin samples Crumb color Crust color Taste Odor Internal porosity Hardness Friability General acceptability
MWC 4.77±0.93a 4.62±0.62a 4.97±0.97a 5.00±0.78a 4.62±0.84a 4.54±1.15a 5.00±0.78a 5.08±0.73a
MRC 4.09±0.32ab 4.09±0.32ab 3.94±0.32ab 4.16±0.01a 4.24±0.07ab 4.48±0.14a 4.52±0.02ab 4.44±0.06b
MHB 4.44±0.06a 4.46±0.04ab 4.63±0.04a 4.75±0.17a 4.82±0.19a 4.48±0.10a 4.48±0.31ab 4.92±0.00a
MBB 3.97±0.20ab 3.96±0.12ab 3.81±0.19ab 4.08±0.08a 4.00±0.08c 4.29±0.02ab 4.21±0.21ab 4.61±0.13a
MKB 4.44±0.10a 4.03±0.20ab 4.12±0.04a 4.21±0.29a 4.53±0.22ab 4.44±0.06ab 4.05±0.20ab 4.00±0.06b
MMB 4.35±0.35ab 4.20±0.05ab 3.96±0.12ab 4.00±0.0a 4.04±0.12bc 3.89±0.2ab 4.36±0.03ab 3.88±0.04c
MRB 3.19±0.05b 3.15±0.11b 3.04±0.38b 4.12±0.27a 3.19±0.27d 3.62±0.11c 3.73±0.27c 3.00±0.11c

The abbreviations represent the muffins produced with wheat flour (MWC), rice flour (MRC), and fortified with black bean (MBB), kidney bean (MKB), mung bean (MMB), haricot bean (MHB), red bean (MRB) flours. The different lowercase letters in the same column indicate statistical significance (p < 0.05).

Significant differences in sensory attributes were observed for muffins made with different legume flours (p < 0.05). The crumb colors of muffins did not differ significantly from each other, except for the MRB muffins, which received the lowest sensory score. Similarly, the lowest likeness in crust color was observed in MRB muffins.

The muffins with the least favorite color were those containing germinated red legume flour (MRB). Significant differences in taste were observed between the muffins (p<0.05), with the most liked muffins being MWC, MHB, and MKB, while the least liked were MRB. No statistically significant differences were found in terms of odor (p>0.05). In terms of internal porosity structure, the highest approval was given to the MWC and MHB muffins, while MRB muffins received the lowest scores for porosity structure. The highest liking for friability was for the control wheat muffin (MWC), and this was statistically similar to the muffins containing sprouted legume flour, except for the MRB muffins. Regarding general acceptability, panelists rated MHB, MWC, and MBB the highest, giving them higher scores compared to the control MRC muffins.

Total mold and yeast growth during storage

The microbial growth in muffin samples during the 7-day storage period is shown in Figure 5. On the first day, the total count varied between 1.48-2.57 log cfu/mL, increasing on the third day to a range of 2.70-6.57 log cfu/mL, and further rising on the seventh day to 6.35-8.52 log cfu/mL. Yeast and mold growth were observed in all muffin samples during the storage period, with the highest increase recorded in the control muffins made with wheat flour (MWC), which reached 8.52 log cfu/mL. In contrast, the muffins made with mung bean flour (MMB) exhibited the lowest increase in microbial growth, with a final count of 6.35 log cfu/mL. Muffins containing germinated legume flour demonstrated lower yeast and mold counts compared to the wheat-based control muffins. This difference is likely attributed to the antimicrobial properties of germinated legume flours. The germination process enhances the presence of bioactive compounds, such as antimicrobial peptides and polyphenolic compounds, which play a key role in inhibiting the growth of bacterial and fungal pathogens. Previous studies have shown that the germination of seeds, such as Lupinus luteus, increases antioxidant activity and polyphenol content, which contribute to the antimicrobial effects (Navarro-Vozmediano et al., 2024). Furthermore, it has been reported that germination of mung bean seeds boosts phenolic compound levels, enhancing their antimicrobial activity (Hafidh et al., 2011). Consequently, the higher phenolic content, increased polyphenols, and protein content in the muffins containing germinated legume flours may explain their better inhibition of mold and yeast growth compared to the wheat control muffins.

Figure 5. Total mold yeast count of muffins during storage cfu/ml.

Conclusions

This study evaluated the effects of enriching gluten-free muffins with five different germinated bean flours, focusing on their influence on nutritional, functional, and textural properties. The addition of bean flours significantly improved the nutritional profile of the muffins by increasing protein, ash, total phenolic content, antioxidant capacity, and flavonoid levels. Rheological analysis revealed that all muffin batters exhibited a viscoelastic solid nature, and the inclusion of bean flour enhanced batter consistency. All bean-flour-enriched muffins, except for MRB, demonstrated a higher specific volume than the gluten-free control muffin (MRC). Furthermore, the bean-flour-enriched muffins had a softer crumb texture than the wheat flour-based muffin (MWC). In terms of textural properties, MKB exhibited the lowest hardness on both the first and seventh days, comparable to MRC. Sensory evaluation revealed that MHB and MBB received higher overall acceptability scores than MRC. Among all formulations, the mung bean flour-enriched muffin (MMB) had the highest protein content, flavonoid concentration, and antioxidant activities (DPPH and ABTS). MMB also maintained the highest springiness after seven days of storage and showed the highest specific volume, comparable to MWC. Additionally, MMB exhibited the lowest microbial growth during the storage period. While MMB muffins had lower sensory scores than MRC and MWC, they offered superior nutritional and functional qualities. Future research should focus on improving the sensory attributes of MMB to enhance its overall acceptability, making it a more viable option for consumers seeking both health benefits and pleasant sensory experiences in gluten-free bakery products.

Author Contributions

All authors contributed equally to this article.

Conflict of Interest

The authors declare no conflict of interest.

Funding

The authors declare that they have no known competing financial interests or personal relationships that could have appeared to influence the work reported in this paper. There is no funding.

REFERENCES

AACC. (2010). American Association of Cereal Chemists In. St. Paul, MN, USA. In.

Abbey, B. W., & Ibeh, G. (1988). Functional properties of raw and heat processed cowpea (Vigna unguiculata, Walp) flour. Journal of Food Science, 53(6), 1775–1777. 10.1111/j.1365-2621.1988.tb07840.x

Adebiyi, A. P., & Aluko, R. E. (2011). Functional properties of protein fractions obtained from commercial yellow field pea (Pisum sativum L.) seed protein isolate. Food Chemistry, 128(4), 902–908. 10.1016/j.foodchem.2011.03.116

Adegunwa, M. O., Kayode, B. I., Kayode, R., Akeem, S. A., Adebowale, A. A., & Bakare, H. A. (2020). Characterization of wheat flour enriched with cashew apple (Anacardium occidentale L.) fiber for cake production. Journal of Food Measurement and Characterization, 14, 1998–2009. 10.1007/s11694-020-00446-9

Aguilera, Y., Estrella, I., Benitez, V., Esteban, R. M., & Martín-Cabrejas, M. A. (2011). Bioactive phenolic compounds and functional properties of dehydrated bean flours. Food Research International, 44(3), 774–780. 10.1016/j.foodres.2011.01.004

Amani, H., Baranyai, L., Badak-Kerti, K., & Mousavi Khaneghah, A. (2022). Influence of baking temperature and formulation on physical, sensorial, and morphological properties of pogácsa cake: an image analysis study. Foods, 11(3), 321. 10.3390/foods11030321

Ammar, I., Gharsallah, H., Brahim, A. B., Attia, H., Ayadi, M., Hadrich, B., & Felfoul, I. (2021). Optimization of gluten-free sponge cake fortified with whey protein concentrate using mixture design methodology. Food Chemistry, 343, 128457. 10.1016/j.foodchem.2020.128457

Atudorei, D., Atudorei, O., & Codină, G. G. (2021). Dough rheological properties, microstructure and bread quality of wheat-germinated bean composite flour. Foods, 10(7), 1542. 10.3390/foods10071542

Ávila B. P., Braganca, G. C. M., Rockenbach, R., Alves, G. D., Monks, J., Gularte, M. A., & Elias, M. C. (2017). Physical and sensory characteristics of cake prepared with six whole-grain flours. Journal of Food Measurement and Characterization, 11, 1486–1492. 10.1007/s11694-017-9527-0

Balighi, F., Alami, M., & Sadeghi, A. (2024). Effect of replacing rice flour with raw and sprouted mung bean flour on the physico-chemical characteristics of gluten-free batter and cake. Food Research Journal, 34(3), 117–132.

Barac, M. B., Pesic, M. B., Stanojevic, S. P., Kostic, A. Z., & Bivolarevic, V. (2015). Comparative study of the functional properties of three legume seed isolates: adzuki, pea and soy bean. Journal of Food Science and Technology, 52, 2779–2787. 10.1007/s13197-014-1298-6

Benítez, V., Cantera, S., Aguilera, Y., Mollá, E., Esteban, R. M., Díaz, M. F., & Martín-Cabrejas, M. A. (2013). Impact of germination on starch, dietary fiber and physicochemical properties in non-conventional legumes. Food Research International, 50(1), 64–69. 10.1016/j.foodres.2012.09.044

Beuchat, L. R. (1977). Functional and electrophoretic characteristics of succinylated peanut flour protein. Journal of Agricultural and Food Chemistry, 25(2), 258–261. 10.1021/jf60210a044

Bravo-Núñez, Á., & Gómez, M. (2023). Enrichment of cakes and cookies with pulse flours. A review. Food Reviews International, 39(5), 2895–2913. 10.1080/87559129.2021.1983591

Bravo-Núñez, Á., Sahagún, M., Bravo-Núñez, A., & Gómez, M. (2020). Optimisation of protein-enriched gluten-free layer cakes using a mixture design. International journal of food science & technology, 55(5), 2171–2178. 10.1111/ijfs.14470

Cornejo, F., Caceres, P. J., Martínez-Villaluenga, C., Rosell, C. M., & Frias, J. (2015). Effects of germination on the nutritive value and bioactive compounds of brown rice breads. Food Chemistry, 173, 298–304. 10.1016/j.foodchem.2014.10.037

Dhillon, G. K., Kour, A., & Salazar, B. M. (2023). Potential of Pleurotus ostreatus as a novel protein source in rice-millet-based gluten-free muffins. Cogent Food & Agriculture, 9(1), 2191888. 10.1080/23311932.2023.2191888

Dueñas, M., Martínez-Villaluenga, C., Limón, R. I., Peñas, E., & Frias, J. (2015). Effect of germination and elicitation on phenolic composition and bioactivity of kidney beans. Food Research International, 70, 55–63. 10.1016/j.foodres.2015.01.018

Giraje, N., & Hedaoo, R. (2019). Serving Vegan Palates Nutritiously: Fortification of Vegan Cake with Garden Cress Seeds and Rose Petal Preserve as Functional Ingredients. Indian Journal of Public Health Research & Development, 10(7). 10.5958/0976-5506.2019.01822.9

Guajardo-Flores, D., Pérez-Carrillo, E., Romo-López, I., Ramírez-Valdez, L. E., Moreno-García, B. E., & Gutiérrez-Uribe, J. A. (2017). Effect of dehulling and germination on physicochemical and pasting properties of black beans (Phaseolus vulgaris L.). Cereal Chemistry, 94(1), 98–103. 10.1094/CCHEM-02-16-0017-FI

Gupta, S., Chhabra, G. S., Liu, C., Bakshi, J. S., & Sathe, S. K. (2018). Functional properties of select dry bean seeds and flours. Journal of Food Science, 83(8), 2052–2061. 10.1111/1750-3841.14213

Hafidh, R. R., Abdulamir, A., Vern, L. S., Bakar, F. A., Abas, F., Jahanshiri, F., & Sekawi, Z. (2011). Novel in-vitro antimicrobial activity of Vigna radiata (L.) R. Wilczek against highly resistant bacterial and fungal pathogens. J. Med. Plants Res, 5(16), 3606–3618.

Hodge, J. (1976). Carbohydrate. Principles of Food Science Part I. Food Chemistry.

Huang, X., Cai, W., & Xu, B. (2014). Kinetic changes of nutrients and antioxidant capacities of germinated soybean (Glycine max L.) and mung bean (Vigna radiata L.) with germination time. Food Chemistry, 143, 268–276. 10.1016/j.foodchem.2013.07.080

Jeong, D., & Chung, H.-J. (2019). Physical, textural and sensory characteristics of legume-based gluten-free muffin enriched with waxy rice flour. Food Science and Biotechnology, 28(1), 87–97. 10.1007/s10068-018-0444-8

Jood, S., Chauhan, B., & Kapoor, A. (1988). Contents and digestibility of carbohydrates of chickpea and black gram as affected by domestic processing and cooking. Food Chemistry, 30(2), 113–127. 10.1016/0308-8146(88)90149-5

Kaur, M., Singh, B., & Kaur, A. (2022). Influence of different oilseed cake incorporation on batter rheology, proximate composition, texture, antioxidant and sensory properties of wheat flour muffins. International Journal of Food Science & Technology, 57(11), 7107–7115. 10.1111/ijfs.16050

Kaur, M., & Singh, N. (2005). Studies on functional, thermal and pasting properties of flours from different chickpea (Cicer arietinum L.) cultivars. Food Chemistry, 91(3), 403–411. 10.1016/j.foodchem.2004.06.015

Kaur, R., & Kaur, M. (2018). Microstructural, physicochemical, antioxidant, textural and quality characteristics of wheat muffins as influenced by partial replacement with ground flaxseed. Lwt, 91, 278–285. 10.1016/j.lwt.2018.01.059

Köten, M. (2021). Influence of raw/roasted terebinth (Pistacia terebinthus L.) on the selected quality characteristics of sponge cakes. International Journal of Gastronomy and Food Science, 24, 100342. 10.1016/j.ijgfs.2021.100342

Laila, O., & Murtaza, I. (2014). Seed sprouting: a way to health promoting treasure. Int. J. Curr. Res. Rev, 6, 70–74.

Lin, L.-Z., Harnly, J. M., Pastor-Corrales, M. S., & Luthria, D. L. (2008). The polyphenolic profiles of common bean (Phaseolus vulgaris L.). Food Chemistry, 107(1), 399–410. 10.1016/j.foodchem.2007.08.038

Lin, P.-Y., & Lai, H.-M. (2006). Bioactive compounds in legumes and their germinated products. Journal of Agricultural and Food Chemistry, 54(11), 3807–3814. 10.1021/jf060002o

Liu, Y., Xu, M., Wu, H., Jing, L., Gong, B., Gou, M., Zhao, K., & Li, W. (2018). The compositional, physicochemical and functional properties of germinated mung bean flour and its addition on quality of wheat flour noodle. Journal of Food Science and Technology, 55, 5142–5152. 10.1007/s13197-018-3460-z

López, A., El-Naggar, T., Dueñas, M., Ortega, T., Estrella, I., Hernández, T., Gómez-Serranillos, M. P., Palomino, O. M., & Carretero, M. E. (2013). Effect of cooking and germination on phenolic composition and biological properties of dark beans (Phaseolus vulgaris L.). Food Chemistry, 138(1), 547–555. 10.1016/j.foodchem.2012.10.107

Lovis, L. (2003). Alternatives to wheat flour in baked goods. Cereal Foods World, 48(2), 61.

MacInnis, C. C., & Hodson, G. (2021). Tensions within and between vegans and vegetarians: Meat-free motivations matter. Appetite, 164, 105246. 10.1016/j.appet.2021.105246

Magalhaes, S. C., Taveira, M., Cabrita, A. R., Fonseca, A. J., Valentão, P., & Andrade, P. B. (2017). European marketable grain legume seeds: Further insight into phenolic compounds profiles. Food Chemistry, 215, 177–184. 10.1016/j.foodchem.2016.07.152

Mancebo, C. M., Rodriguez, P., & Gomez, M. (2016). Assessing rice flour-starch-protein mixtures to produce gluten free sugar-snap cookies. LWT–Food Science and Technology, 67, 127–132. 10.1016/j.lwt.2015.11.045

Martín-Cabrejas, M. A., Díaz, M. F., Aguilera, Y., Benítez, V., Mollá, E., & Esteban, R. M. (2008). Influence of germination on the soluble carbohydrates and dietary fibre fractions in non-conventional legumes. Food Chemistry, 107(3), 1045-1052. 10.1016/j.foodchem.2007.09.020

Matos, M. E., Sanz, T., & Rosell, C. M. (2014). Establishing the function of proteins on the rheological and quality properties of rice based gluten free muffins. Food Hydrocolloids, 35, 150–158. 10.1016/j.foodhyd.2013.05.007

Mitharwal, S., & Chauhan, K. (2022). Physicochemical, nutritional, and sensory characteristics of gluten-free muffins prepared from finger millet, germinated black soybean, and kenaf leaves composite flour. Journal of Food Processing and Preservation, 46(11), e16967. 10.1111/jfpp.16967

Movahhed, M. K., Mohebbi, M., Koocheki, A., Milani, E., & Ansarifar, E. (2020). Application of TOPSIS to evaluate the effects of different conditions of sonication on eggless cake properties, structure, and mass transfer. Journal of Food Science, 85(5), 1479–1488. 10.1111/1750-3841.15117

Müller, C. P., Hoffmann, J. F., Ferreira, C. D., Diehl, G. W., Rossi, R. C., & Ziegler, V. (2021). Effect of germination on nutritional and bioactive properties of red rice grains and its application in cupcake production. International Journal of Gastronomy and Food Science, 25, 100379. 10.1016/j.ijgfs.2021.100379

Navarro-Vozmediano, P., Bou, R., García-Pérez, J. V., Dalmau, E., & Benedito, J. J. (2024). Impact of seed germination on the physicochemical properties of lupin flours and the physicochemical and techno-functional properties of their protein isolates. Food and Bioprocess Technology, 1–17. 10.1007/s11947-024-03546-2

Ohanenye, I. C., Tsopmo, A., Ejike, C. E., & Udenigwe, C. C. (2020). Germination as a bioprocess for enhancing the quality and nutritional prospects of legume proteins. Trends in Food Science & Technology, 101, 213–222. 10.1016/j.tifs.2020.05.003

Onimawo, I., & Asugo, S. (2004). Effects of germination on the nutrient content and functional properties of pigeon pea flour.

Rai, S., Kaur, A., & Singh, B. (2014). Quality characteristics of gluten free cookies prepared from different flour combinations. Journal of Food Science and Technology, 51, 785–789. 10.1007/s13197-011-0547-1

Re, R., Pellegrini, N., Proteggente, A., Pannala, A., Yang, M., & Rice-Evans, C. (1999). Antioxidant activity applying an improved ABTS radical cation decolorization assay. Free radical biology and medicine, 26(9–10), 1231–1237. 10.1016/S0891-5849(98)00315-3

Salazar, D., Arancibia, M., Silva, D. R., López-Caballero, M. E., & Montero, M. P. (2021). Exploring the potential of andean crops for the production of gluten-free muffins. Agronomy, 11(8), 1642. 10.3390/agronomy11081642

Shaabani, S., Yarmand, M. S., Kiani, H., & Emam-Djomeh, Z. (2018). The effect of chickpea protein isolate in combination with transglutaminase and xanthan on the physical and rheological characteristics of gluten free muffins and batter based on millet flour. Lwt, 90, 362–372. 10.1016/j.lwt.2017.12.023

Sharma, P., Kaur, A., & Alam, M. (2016). Effect of processing on physico-chemical and functional properties of flours from cluster or guar bean (Cyamopsis tetragonoloba) varieties. Journal of Applied and Natural Science, 8(4), 2120–2127. 10.31018/jans.v8i4.1101

Shevkani, K., & Singh, N. (2014). Influence of kidney bean, field pea and amaranth protein isolates on the characteristics of starch-based gluten-free muffins. International journal of food science & technology, 49(10), 2237–2244. 10.1111/ijfs.12537

Sibian, M. S., & Riar, C. S. (2023). Effect of germination on chemical composition, antinutritional factors, functional properties and nutritional value of kidney bean (Phaseolus vulgaris). Carpathian Journal of Food Science & Technology, 15(1).

Singh, B., Singh, J. P., Kaur, A., & Singh, N. (2017). Phenolic composition and antioxidant potential of grain legume seeds: A review. Food Research International, 101, 1–16. 10.1016/j.foodres.2017.09.026

Singh, J. P., Kaur, A., & Singh, N. (2016). Development of eggless gluten-free rice muffins utilizing black carrot dietary fibre concentrate and xanthan gum. Journal of Food Science and Technology, 53, 1269–1278. 10.1007/s13197-015-2103-x

Singleton, V. L., & Rossi, J. A. (1965). Colorimetry of total phenolics with phosphomolybdic-phosphotungstic acid reagents. American journal of Enology and Viticulture, 16(3), 144–158. 10.5344/ajev.1965.16.3.144

Sridhar, K., & Seena, S. (2006). Nutritional and antinutritional significance of four unconventional legumes of the genus Canavalia–A comparative study. Food Chemistry, 99(2), 267–288. 10.1016/j.foodchem.2005.07.049

Suwonsichon, S. (2019). The importance of sensory lexicons for research and development of food products. Foods, 8(1), 27. 10.3390/foods8010027

Taberner S. T., Salvador, A., & Fiszman, S. (2007). Evaluation of four types of resistant starch in muffin baking performance and relationship with batter rheology.

Toker, O. S., Karasu, S., Yilmaz, M. T., & Karaman, S. (2015). Three interval thixotropy test (3ITT) in food applications: A novel technique to determine structural regeneration of mayonnaise under different shear conditions. Food Research International, 70, 125–133. 10.1016/j.foodres.2015.02.002

Torbica, A., Hadnađev, M., & Dapčević, T. (2010). Rheological, textural and sensory properties of gluten-free bread formulations based on rice and buckwheat flour. Food Hydrocolloids, 24(6–7), 626–632. 10.1016/j.foodhyd.2010.03.004

Tsatsaragkou, K., Papantoniou, M., & Mandala, I. (2015). Rheological, physical, and sensory attributes of gluten-free rice cakes containing resistant starch. Journal of Food Science, 80(2), E341–E348. 10.1111/1750-3841.12766

Wang, N., Maximiuk, L., Fenn, D., Nickerson, M. T., & Hou, A. (2020). Development of a method for determining oil absorption capacity in pulse flours and protein materials. Cereal Chemistry, 97(6), 1111–1117. 10.1002/cche.10339

Wesley, S. D., André, B. H. M., & Clerici, M. T. P. S. (2021). Gluten-free rice & bean biscuit: characterization of a new food product. Heliyon, 7(1). 10.1016/j.heliyon.2021.e05956

Xijun, L., Junjie, G., Danli, W., Lin, L., & Jiaran, Z. (2014). Effects of protein in wheat flour on retrogradation of wheat starch. Journal of Food Science, 79(8), C1505–C1511. 10.1111/1750-3841.12525

Yaver, E., & Bilgiçli, N. (2020). Effect of transglutaminase on quality attributes of noodle enriched with germinated mung bean flour. Gıda, 45(6), 1097–1108. 10.15237/gida.GD20069

Zhang, B., Qiao, D., Zhao, S., Lin, Q., Wang, J., & Xie, F. (2021). Starch-based food matrices containing protein: Recent understanding of morphology, structure, and properties. Trends in Food Science & Technology, 114, 212–231. 10.1016/j.tifs.2021.05.033

Zhishen, J., Mengcheng, T., & Jianming, W. (1999). The determination of flavonoid contents in mulberry and their scavenging effects on superoxide radicals. Food Chemistry, 64(4), 555-559. 10.1016/S0308-8146(98)00102-2

Zhishen, J., Mengcheng, T., & Jianming, W. (1999). Research on antioxidant activity of flavonoids from natural materials. Food Chem, 64(555), e9. 10.1016/S0308-8146(98)00102-2

Supplementary

Table S1. Muffin samples composition ratios.

Ingredients MWC MRC MBB MKB MMB MHB MRB
Rice flour (%) 0 100 80 80 80 80 80
Wheat flour (%) 100 0 0 0 0 0 0
Germinated legume flour (%)
(Black/kidney/mung/haricot/redbean)
0 0 20 20 20 20 20
Sugar (%) 25 25 25 25 25 25 25
Egg (%) 25 25 25 25 25 25 25
Milk (%) 25 25 25 25 25 25 25
Sunflower oil (%) 20 20 20 20 20 20 20
Baking powder (%) 4 4 4 4 4 4 4
Vanilin (%) 1 1 1 1 1 1 1