1Department of Physiology, College of Medicine, King Saud University, Riyadh, Saudi Arabia;
2Punjab University College of Pharmacy, University of the Punjab, Lahore, Pakistan;
3Department of Biology, Jamoum University College, Umm Al-Qura University, Makkah, 21955, Saudi Arabia;
4Clinical Pharmacy Department, College of Pharmacy, Taif university, Taif, Saudi Arabia;
5Department of Pharmacognosy, Faculty of Pharmacy, Ain Shams University, Abbassia, Cairo, Egypt;
6Center for Drug Discovery Research and Development, Faculty of Pharmacy, Ain Shams University, Abbassia, Cairo, Egypt;
7Department of Pharmacology, Faculty of Pharmaceutical Sciences, Government College University, Faisalabad, Pakistan;
8Department of Chemistry, Faculty of Science, Umm Al-Qura University, Makkah 21955, Saudi Arabia;
9Department of Biological Sciences, College of Science, University of Jeddah, Jeddah, Saudi Arabia;
10Department of Biochemistry, Faculty of Science, University of Tabuk, Saudi Arabi, Arabia;
11Department of Biology, Faculty of Science, Umm Al-Qura University, Makkah, Saudi Arabia;
12Department of Pharmacy, Hazara University, Mansehra, Pakistan;
13University of Coimbra, Faculty of Pharmacy, Polo III, Azinhaga de St. Comba, Coimbra, Portugal;
14Center for Study in Animal Science (CECA), ICETA, University of Porto, Porto, Portugal;
15Associate Laboratory for Animal and Veterinary Sciences (AL4AnimalS), Lisbon, Portugal
Citrus japonica, commonly known as Kumquat, is an economically and pharmacologically important citrus fruit, indigenous to Asia-Pacific and South Asia. The current work seeks to investigate the neuroprotective potential of the essential oil extracted from C. japonica fruit’s peel in a paraquat (PQT)-induced dopaminergic neurodegeneration rat model, as well as the chemical profiling by using gas chromatography-mass spectrometry (GC/MS) analysis. The Parkinson’s disease (PD) rat model was prepared by administering PQT at 5-day intervals of 10 mg/kg i.p. for 3 weeks. Animals were divided into healthy (received normal saline), PD control, standard treated (L-dopa 100 mg/kg + carbidopa 25 mg/kg), and CJ 50 and 100 (received 50 μL and 100 μL C. japonica peel oil). Behavioral studies were performed before biochemical, neurochemical, histopathological, and gene expression analysis. The GC/MS analysis identified seven volatile chemical compounds, predominated by D-limonene (98.17%), followed by β-pinene (0.68%), α-terpineol (0.40%), germacrene D (0.36%), α-pinene (0.17%), terpinen-4-ol (0.15%) and γ-terpinene (0.07%). The behavioral study indicated that C. japonica peel oil treatment significantly improved the motor and cognitive impairments as well as the neuromuscular coordination. Biochemical study indicated a decrease in the oxidative burden; improved hematological, liver, and renal profiles; an increase in the acetylcholinesterase level; and upregulation of the mRNA expression of IL-1α, IL-1β, TNF-α, α–synuclein, and amyloid beta precursor protein. Current findings indicate that this oil mitigates motor and nonmotor PD-aasociated symptoms, reduces oxidatiev stress, and regulates the mRNA expression of pathological genes. Consequently, it is proposed that C. japonica oil may be used as a novel disease-modifying therapeutic remedy in the treatment of PD.
Key words: Limonene, Citrus japonica, antioxidant, neuroprotective, Parkinson disease, oxidative stress, neuroinflammation, animal behavior
*Corresponding Authors: Uzma Saleem, Punjab University College of Pharmacy, University of the Punjab, Lahore, Pakistan, Email: uzma95@gmail.com . Omayma A. Eldahshan, Department of Pharmacognosy, Faculty of Pharmacy, Ain Shams University, Abbassia, 11566 Cairo, Egypt; Center for Drug Discovery Research and Development, Faculty of Pharmacy, Ain Shams University, Abbassia, 11566 Cairo, Egypt, Email: oeldahshan@pharma.asu.edu.eg ; Muhammad Ajmal Shah, Department of Pharmacy, Hazara University, Mansehra, Pakistan, Email: ajmalshah@hu.edu.pk ; Ana Sanches Silva, University of Coimbra, Faculty of Pharmacy, Polo III, Azinhaga de St. Comba, 3000-548 Coimbra, Portugal; Center for Study in Animal Science (CECA), ICETA, University of Porto, 4501-401 Porto, Portugal; Associate Laboratory for Animal and Veterinary Sciences (AL4AnimalS), 1300-477 Lisbon, Portugal Email: asanchessilva@ff.uc.pt
Academic Editor: Prof. Tommaso Beccari, University of Perugia, Italy
Received: 13 January 2025; Accepted: 24 February 2025; Published: 4 April 2025
© 2025 Codon Publications
This is an Open Access article distributed under the terms of the Creative Commons Attribution-NonCommercial-ShareAlike 4.0 International (CC BY-NC-SA 4.0). License (http://creativecommons.org/licenses/by-nc-sa/4.0/)
Parkinson’s disease (PD) is a pervasive, age-related neurodegenerative disease. James Parkinson initially characterized bradykinesia, stiffness, and tremor—the main motor indications of the condition—in his “Essay on the Shaking Palsy.” Currently, it is generally accepted that these indications point to PD (Saleem et al., 2022). In nigral tissues, Lewy bodies formation with α-synuclein aggregations are distinctive characteristics of PD (Saleem et al., 2019). Degeneration of dopaminergic neurons reduces the facilitation of voluntary movements. The accumulation of α-synuclein in the brain tissues increased with the advancement of disease stages (Iqbal et al., 2022; Lücking, 2000; Shahnawaz et al., 2020). However, most of the research in the last two decades focused on nonmotor symptoms of PD (Magistrelli et al., 2021). However, even with current imaging or laboratory tests to aid the diagnostic challenges, the motor manifestations of the disease which are the most crucial parameters for a diagnosis of PD remain elusive (Giagkou et al., 2020). Clinical manifestation involves rigidity, resting tremors, postural instability, and slowness of movement. In substantia nigra compacta (SNc), the selective and massive loss of dopamine-synthesizing neurons is cardinal neurodegeneration hallmarks. Till now, the etiopathogenesis of PD neuronal degeneration remains mysterious (Hunot and Hirsch, 2003).
Although multiple treatment strategies are in practice to halt the progression of disease, these do not satisfactorily alleviate PD symptoms but could further worsen the disease stage. The available drugs to treat PD are associated with numerous side effects when used for a long duration because of their shorter duration of action and fewer fluctuations in receptor permeability (Maiti et al., 2017). PD susceptibility factors are connected to numerous hereditary and environmental variables. Protein aggregation build-up, mitochondrial malfunction, brain oxidative injury, inflammation, and genetic flaw are the primary pathogenic factors involved in the development of PD. Although the current treatment approaches temporarily alleviate the symptoms, their prolonged usage is linked to serious side effects. Consequently, the creation of disease-modifying, low-cost, exotic drugs with natural origins is constantly needed. (Abdallah et al., 2022). Most of the valuable bioactive compounds are isolated from plants and serve as revolutionary medicaments (Jachak and Saklani, 2007). They exhibit robust antioxidant activity and hold neuroprotective potential at the cellular and molecular levels (Abdallah et al., 2022; Elhawary et al., 2021; Potterat and Hamburger, 2008).
There are a number of medicinal plants with exciting antioxidant and anti-inflammatory properties. The Curcuma longa contains curcuminoids that fight against oxidative stress. Likewise, green tea (Camellia sinensis) shows catechins particularly EGCG which contain free radical scavenging property and prevents oxidative cell harm. Similarly, ginger (Zingiber officinale) exhibits antioxidants and anti-inflammatory potential because of gingerols and shogaols. It has been discovered that Ginkgo Biloba has flavonoids and terpenoids which work against oxidative injury. Other useful plants include ashwagandha (Withania somnifera), withanolides which reveal oxidation and stress release properties. Rosemary (Rosmarinus officinalis) contains carnosic acid and containing rosmarinic, both have antioxidant potentials. Sage (Salvia officinalis) holds sageone and other polyphenols that protect from oxidative stress; St. John’s Wort (Hypericum perforatum) is an antioxidant plant because of hyperforin and flavonoids. These plants have long been used for their therapeutic properties, and new studies are continually learning more about them (Hamedi et al., 2020).
Citrus japonica, commonly known as Kumquat, is a small-size fruit with an elliptical shape, having sweet rind and acidic pulp (Lou et al., 2015). Indigenous to the Indian subcontinent and Southeast Asia, kumquat is grown as an ornamental in gardens and parks in southern Turkey (Lin et al., 2021). It can be consumed as fresh fruits or as pickles, candies, marmalade, or jelly (Ozcan-Sinir et al., 2018). Raw kumquat dietary content was previously reported by the United States Department of Agriculture’s Agricultural Research Service to include water, carbohydrates, total sugars, total dietary fiber, protein, total lipid, minerals (potassium, calcium, magnesium, phosphate, and sodium), and vitamin C (Ozcan-Sinir et al., 2018). This fruit was found to be enriched with monoterpenes, especially limonene (Baky et al., 2024; El-Nashar et al., 2021). Medicinally bioactive compounds, terpenoids and flavonoids, are present in favorable amounts in the peel of this fruit (Nouri and Shafaghatlonbar, 2016b). It is well known because of its multiple therapeutic activities and expectorant, deodorant, carminative, antivirus, and antiphlogistic properties (Nouri and Shafaghatlonbar, 2016b). The major compound fruit peel oil is d-limonene that possesses several pharmacological characteristics, including anti-carcinogenic, anti-inflammatory, and antioxidant activity (Farasati Far et al., 2024). These bioactive compounds also have neuroprotective and antioxidant potential (Abdelghffar et al., 2021; Eddin et al., 2021).
Paraquat (PQT, a herbicide, also known as 1,1-dimethyl-4, 4-bipyridine, has the potential to induce PD. This compound derived from redox-cycling substances is neurotoxic via progressive degradation of dopamine-producing neurons, which is the main hallmark of PD (Tangamornsuksan et al., 2019). It can perpetuate oxidative insult to brain tissues by deposition of α-synuclein aggregates, dopaminergic neurodegeneration, nigrostriatal pathway injury, and Lewy body formation (Ahmad et al., 2021; Brooks et al., 1999). PQT infiltrates the brain through neutral amino acid transporters, involved in redox cycling, resulting in oxidative stress, and depletion of ATP and production of reactive oxygen species (ROS), specifically targeting nigrostriatal pathways (Kumar et al., 2016). The current study is designed to characterize the volatile oil isolated from C. japonica peel via GC/MS analysis and estimation of neuroprotective potential in PQT-induced PD rat model.
Sulfuric acid, atropine, sodium bicarbonate, gallic acid, acetylthiocholine iodide, 5,5′,dithiobis-(2-nitro benzoic acid), tricholoroacetic acid, pyrogallol, bovine serum albumin, HCl, heptanes, sodium acetate, acetic acid, formaldehyde solution, haematoxylin-eosin stain, 5,5′-dithio-bis (2-nitrobenzoic acid) (DTNB), hydrogen peroxide (H2O2), potassium dihydrogen phosphate, and sodium tartarate were purchased from Sigma-Aldrich (St. Louis, MO, USA). Pentylenetetrazole, sodium valproate were purchased from Reko Pharmacia (Lahore, Pakistan). All the chemicals used were of analytical grade.
Fresh C. japonica fruits were acquired in May 2023 at Seoudi Hypermarket in Dokki, Giza, Egypt. Classification expert Mrs. Tereize Labib of El-Orman Botanical Garden in Giza, Egypt, identified the fruits according to their classification. A voucher specimen (PHG-P-CJ-480) has been deposited in the botanical museum collection at the Faculty of Pharmacy, Ain Shams University, Cairo, Egypt, for future reference and verification. The Clevenger apparatus was used to hydrodistill about 750 g of peels during a 4 h period. The volatile oil was isolated via steam distillation and preserved at −2ºC in a tightly sealed glass vial for subsequent GC/MS examination and biological evaluation.
The volatile oil extracted from the peel was subjected to examination by GC/MS at the Department of Pharmacy, Ain Shams University, Cairo, Egypt. The analysis utilized a Shimadzu GCMS-QP 2010 instrument, coupled with a TRACE GC ultra gas chromatograph and a thermo mass detector. The examination employed a TG-5MS capillary column, with helium as the carrier gas, at a split ratio of 1:15 and a constant flow rate of 1.0 mL/min. The temperature of the oven was programmed to rise by 5.0°C/min, with an initial isothermal period of 2 min at 80°C. The constituents of the extracted oil were provisionally characterized by matching their GC/MS spectra, fragmentation profiles, molecular weights, and Kovats retention indices with those in the Wily and NIST databases and published literature. The retention indices were calculated relative to a homologous series of n-alkanes (C8-C28) analyzed under identical conditions. The relative abundance of each compound was determined as a percentage of the total peak area in the flame ionization detection (FID) chromatogram.
Rats of either sex were used in this investigation. Before the trial, to acclimate the animals, they were housed in the GCUF animal house for a period of 7 days. The typical conditions, 12 h, day/night cycle, a room temperature between 25 and 30°C, and a relative humidity between 30 and 60% were met. A balanced diet and individual attention were also given.
Prior to initiating animal experiments, the Ethics Committee of Government College University Faisalabad (Reference no. GCUF/ERC/54) granted approval for the use of animals in research.
PQT (10 mg/kg) was injected intraperitoneally at 5-day intervals for a total of 3 weeks, inducing symptoms reminiscent of PD (Ahmad et al., 2021).
Five groups (n = 6) of healthy animals were formed, with six rats in each group. Group I was given normal saline and declared to be in good health. Group II received PD control treatment with PQT 10 mg/kg administered intravenously every 5 days for 3 weeks. Group III received standard treatment with levodopa 100 mg/kg and carbidopa 25 mg/kg (p.o.) in addition to PQT 10 mg/kg (Saeed et al., 2017), Group IV (CJ100) received treatment with PQT 10 mg/kg, intraperitoneal injection every 5 days for 3 weeks, and 100 µL oral C. japonica peel essential oil. Group V (CJ50) received treatment with PQT 10 mg/kg, an intraperitoneal injection every 5 days for 3 weeks, coupled with 50 µL oral C. japonica essential oil.
Every animal was given the recommended treatment for a period of 21 days. Behavioral studies were carried out after a 3-week trial period to evaluate locomotor activity and cataleptic activity. Animals were euthanized under inhalant anesthesia of isoflurane by decapitation, and blood samples were obtained for hematological and biochemical analysis. Brian tissues were divided and kept so that expression analyses could be performed.
Using a standard bar test, the cataleptic reaction of animals induced with PQT was assessed every 30 min for a maximum of 120 min. The cataleptic score was determined by placing the front limbs in an enforced position on a wooden bar that measured 3 cm in height and 1 cm in width. The animal moving its head, removing both front paws off the bar, or climbing the bar can all be considered the endpoint. Using a standard bar test, the cataleptic reaction of animals induced with PQT was assessed every 30 min for a maximum of 120 min. The front limbs were forced into an awkward posture on a wooden bar that measured 3 cm in height and 1 cm in width. If an animal moves normally, then the resulting catalepsy score was 0.5. If the animal was unable to alter its posture, forcefully imposed on the wooden box for 10 sec, the catalepsy score was 02 (Chitra et al., 2017).
This task was performed to evaluate the trait of exploration in animals. A wooden square box of 45 cm height, 100 cm in length, and 100 cm width, with the floor divided into equal 25 squares was used. Animals were carefully introduced at the center of the box and monitored there for 2 min. The number of squares that were sniffed and looked around in, including both the center and the edges (horizontal exploration), and the number of squares that were reared (vertical investigation) were noted (Saleem et al., 2021a).
This task was performed to investigate gait impairment and motor coordination. The apparatus was devised of two wooden platforms at both edges of a 100 cm narrow beam. Animals were gently placed at one end of the beam and movement to the other end was observed. The time to traverse the apparatus from one end to the other was noted, and foot slips were observed (Saleem et al., 2021a).
This task was designed to investigate the nonmotor symptoms like anxiety, cognitive decline, and depression. The apparatus consisted of a 50×50×50 cm Plexiglas box with multiple 3 cm holes evenly distributed across the floor. After completion of the experimental treatment, animals in each group were individually placed in this apparatus and observed for 5-10 minutes for head drippings. Head dipping was scored when both eyes were under the level of the hole (Saleem et al., 2021b).
It is a specific test for identifying animal depression. This test was conducted in a water-filled container that was 40 cm deep and 25 cm wide; it was maintained at an ambient temperature. Rats were gently placed in the swimming apparatus and allowed to swim for 5 min and scored as follows: 0 = when the animal was unable to swim and immersed its head, 1 = animal swam occasionally by hind paw, 2 = animals float alternately, and swam occasionally, 3 = animal swims constantly (Saleem et al., 2021b).
Using rodents’ innate tendency to avoid open, elevated spaces, this task is the gold standard for examining anxiety-like behavior in mice. The equipment used for this exercise was made up of two 50 cm by 10 cm by 40 cm open and closed arms. The arms were closed and opened, facing opposing directions, with an open canopy and a center platform. The time an animal takes to transition from an open to a closed arm is known as transfer latency (TL). TL, a gauge of memory retention, was seen following animal training in this maze (Saleem et al., 2021a).
In behavioral neurosciences, to explore memory, spatial memory, and cognition, Y-maze paradigm is popular in rodents (Chauhdary et al., 2019). The Y-maze apparatus comprised an equilateral triangular middle region and three arms (35 cm long, 25 cm high, and 10 cm broad). Rats were introduced at the end of an arm and were observed to explore the maze for 8 min. Spontaneous alteration and percentage of alteration were calculated according to the given formula (Aydin et al., 2016).
This is a reliable and cost-effective method to investigate the gait abnormalities in PD rodent models. The fore and hind limbs of animals were dipped in black ink, and they were trained on a white paper sheet to walk in a straight path on the 100 cm long printing apparatus. Foot patterns on the white paper sheet were evaluated to determine the stride length.
Animals were sacrificed after anesthesia, and whole brains were isolated. After washing with phosphate buffer, the weight of brains were estimated. Through handheld lens, any sign of atrophy, depigmentation, or ventricular enlargement were noted. After cutting into coronal slices, size and shape of substantia nigra were noted.
Brain homogenate was prepared according to our previously published procedure (Saleem et al., 2021c). Brain tissue homogenate (10%) was prepared in phosphate buffer by using electric tissue homogenizer and centrifuged for 10 min at 600×g, and the clear top layer was collected for biochemical analysis.
Trichloroacetic acid (1 mL, 10%) was added to tissue homogenate (1 mL). It was centrifuged (30 minutes at 3000 rpm), and 2 mL top layer was mixed with 0.5 mL Ellman’s reagent and phosphate buffer (4 mL). Absorbance was taken at 412 nm, and the following formula was used to determine glutathione level (Saleem et al., 2021c):
Tissue homogenate 1 mL was mixed with 2.5 mL of 15% trichloacetic acid, 0.25M HCl, and 0.38% (w/w) thiobarbituric acid. It was heated for 10 min at 90°C and then cooled. After centrifugation at 4000 rpm for 10 min, mixture absorbance was taken at 532 nm. The amount of MDA as nmoles/mg of tissue protein was calculated.
The reaction mixture was prepared by adding potassium phosphate buffer (2.8 mL) with 100 µL of homogenate and pyrogallol solution (0.1 mL). At 325 nm, absorbance was noted, and SOD calibration graph was used to express as (unit/mL).
To estimate the level of catalases, tissue homogenate (50 µL) was mixed with 50 mM phosphate buffer (2 mL). This mixture was treated with 1 mL hydrogen peroxide, 30 mM. At 240 nm, optical density was calculated, and the below formula was used (Saleem et al., 2021c).
Where:
ΔAbs = Absorbance shift
ε = Extinction coefficient
V = Sample volume
P = Concentration of protein
To prepare the aqueous phase, HCl-butanol 5 mL was mixed with brain homogenate and centrifuged. The isolated top layer was added to 0.3 mL HCl and heptane (2.5 mL). After vigorous shaking, the upper layer was separated by 10 minutes of centrifugation at 2000 rpm.
In the isolated aqueous phase (0.2 mL), HCl (0.1 mL, 0.4 M) and EDTA solution were mixed. By addition of 100 μL iodine solution, redox reaction was started. Sodium sulfite and acetic acid (100 μL each) were added to stop the reaction. It was heated for 6 min at 100°C. At 352 nm and 452 nm, absorbance was measured for dopamine and noradrenaline, respectively (Parambi et al., 2020).
The serotonin level was estimated by mixing 200 μL aqueous phases with 250 μL O-phthaldialdehyde. This mixture was maintained at high temperature for 10 min at 100°C. At 440 nm, absorbance was recorded with blank solution of HCl (Parambi et al., 2020).
Elman’s reagent (0.1 mL) and 20 μL acetylthiocholine iodide were mixed with aqueous layer (2.6 mL) and added to phosphate buffer (0.1M; pH 8). Enzyme activity was expressed as µM per minute per milligram of tissue after taking absorbance at 412 nm (Parambi et al., 2020).
Isolated brain tissues were preserved in 10% formalin solution. Under the light microscope, 10× slides were observed after staining.
Gene expression analysis was performed by using the primer sequence, as shown in Figure 1. Briefly, RNA pellets were isolated by the traizol method and transcribed to Cdna by using the cDNA kit. GADPH was used as a housekeeping gene. PCR plates were placed in a real-time PCR machine (Biorad) for 40 cycles of denaturation (95°C), annealing (60°C), and extension (72°C) (Saleem et al., 2021c).
Figure 1. List of primers with sequence and accession number.
Results were statistically analyzed through graph pad prism version 5. One-way or two-ways ANOVA followed by Tukey’s post-test were used to express the results after taking mean of triplicate values.
The GC/MS analysis was employed to characterize the volatile components of essential oil isolated from C. japonica fruits. The results of the GC/MS analysis of the essential oil are provided in Figure 2 and Table 1. The GC/MS investigation of the fruit essential oil revealed identification of seven compounds. The identified compounds accounted for 100% of the essential oil, predominated by monoterpene hydrocarbons (99.09%), and followed by traces of oxygenated monoterpenes (0.55%) and sesquiterpene hydrocarbons (0.36%), as represented in Figure 3. In addition, D-limonene showed the highest dominance with abundance percentage of 98.17%, followed by β-pinene (0.68%), α-terpineol (0.40%), germacrene D (0.36%), α-pinene (0.17%), and terpinen-4-ol (0.15%). The chemical structures of the volatile components detected in the essential oil of C. japonica fruits are cumulatively shown in Figure 4.
Figure 2. GC-MS chromatogram of the essential oil isolated from Citrus japonica fruits.
Table 1. GC-MS chemical composition (%) of the essential oil isolated from Citrus japonica fruits.
| Compound | Retention time (tR) | Molecular formula | Kovats index (KI) | Peak area (%) | |
|---|---|---|---|---|---|
| KIExp. | KIRep. | ||||
| α-Pinene | 7.28 | C10H16 | 914 | 917 | 0.17 |
| ß-Pinene | 9.04 | C10H16 | 978 | 978 | 0.68 |
| D-Limonene | 10.43 | C10H16 | 1025 | 1025 | 98.17 |
| γTerpinene | 11.15 | C10H16 | 1048 | 1050 | 0.07 |
| Terpinen-4-ol | 14.81 | C10H18O | 1166 | 1171 | 0.15 |
| α-Terpineol | 15.22 | C10H18O | 1179 | 1182 | 0.40 |
| Germacrene D | 23.40 | C15H24 | 1471 | 1473 | 0.36 |
Figure 3. Pie charts display the distribution of different classes of components (%) identified in the GCMS analysis of essential oil isolated from Citrus japonica berries.
Figure 4. The chemical structures of the volatile components detected in the essential oil of Citrus japonica fruits.
Animals in each group were observed for measurement of cataleptic response recorded at intervals of 30, 60, 90, and 120 minutes. In the PD control group, PQT (10 mg/kg i.p.) significantly (P<0.001) produced catalepsy within 30 min, with the maximum score being recorded at 120 min. However, animals treated with C. japonica essential oil 50 μL (CJ50) and 100 μL (CJ100) showed a significant reduction (P<0.001) in cataleptic soring compared to PD control group and similar to the healthy group (Table 2).
Table 2. Effect of Citrus japonica essential oil on catalepsy in the paraquat-induced Parkinson’s disease model.
| Groups | Dose | Cataleptic scores at different time intervals | |||
|---|---|---|---|---|---|
| 30 minutes | 60 minutes | 90 minutes | 120 minutes | ||
| Healthy | - | 0.0±0.0 | 0.0±0.0 | 0.0±0.0 | 0.0±0.0 |
| PD control | 10 mg/kg ip | 3.55±0.28£££ | 3.88±0.17£££ | 3.98±0.22£££ | 4.75±0.35£££ |
| Standard Treated | L-Dopa+C.dopa | 1.38±0.32*** | 1.38±0.25*** | 1.36±0.28*** | 1.36±0.30*** |
| C. japonica oil | CJ 50 | 2.16±0.30*** | 2.50±0.22*** | 1.83±0.30*** | 1.66±0.33*** |
Statistical assessment showed significant variations compared to the PD control group, with P-values indicating probabilities of *less than 5%, *less than 1%, and **less than 0.1%, respectively.
The protective impact of C. japonica essential oil on exploration, movement, and anxiety was examined using an open-field test. The total number of the lines crossed was markedly decreased (P<0.001) in the PD control group compared to the healthy group. However, the depression and anxiety-like symptoms were markedly higher in the PD control group compared to the healthy control and other treatment groups. Animals in CJ 50 and CJ 100 groups showed a significant (P<0.001) improvement in motor functions as reflected by a greater number of crossed lines and squares similar to the healthy group and standard drug-treated animals (Figures 5 and 6).
Figure 5. Number of crossed squares in the open field test. Statistical assessment showed significant variations compared to the PD control group, with P-values indicating probabilities of * less than 5%, * less than 1%, and ** less than 0.1%, respectively.
Figure 6. Central exploration counts in the test conducted in an open field. Statistical assessment showed significant variations compared to the PD control group, with P-values indicating probabilities of *less than 5%, *less than 1%, and **less than 0.1%, respectively.
The findings of this task were consistent with open-field results. The latency time or time taken by animals to reach from one platform to another platform or cover the distance of 100 cm was significantly higher (P<0.001) in the PD control group compared to C. japonica oil-treated and healthy animals. The motor coordination and stability were markedly improved in CJ 50 and CJ 100 groups as contemplated from shorter time latency, as shown in Figure 7, akin to healthy and standard treated animals.
Figure 7. Effect of Citrus japonica essential oil on time latency (seconds) in narrow beam walk test. Statistical assessment showed significant variations compared to the PD control group, with P-values indicating probabilities of *less than 5%, *less than 1%, and **less than 0.1%, respectively.
In the PD control group, PQT administration decreased the exploratory and locomotor functions of animals as manifested by significant (P<0.001) reduction in head dipping, edge sniffing, and walking (Figures 8 and 9). However, treatment with C. japonica oil dose dependently recovered the dopaminergic depletion and improved the exploration and motor functions of animal in treated groups as in healthy and standard treated animals.
Figure 8. Effect of Citrus japonica essential oil on head dips and edge sniffing. Statistical assessment showed significant variations compared to the PD control group, with P-values indicating probabilities of * less than 5%, * less than 1%, and ** less than 0.1%, respectively.
Figure 9. Impact of essential oil of Citrus japonica on climbing and raising. Statistical assessment showed significant variations compared to the PD control group, with P-values indicating probabilities of * less than 5%, * less than 1%, and ** less than 0.1%, respectively.
Time latency, or the length of time it takes an animal to go from an open arm to a closed arm, was utilized in this assignment to account for rodents’ innate tendency to hide out of and their fear of high and open areas. To gauge the impairment behavior, time latency was markedly (P< 0.001) raised in the PD control group compared to healthy, standard treated, and C. japonica oil treated groups dose-dependently (Figure 10).
Figure 10. Test of the elevated plus maze. Statistical assessment showed significant variations compared to the PD control group, with P-values indicating probabilities of * less than 5%, * less than 1%, and ** less than 0.1%, respectively.
To investigate the short-term and spatial memory impairment, this task was used. The number of entries in three arms, number of triads, or spontaneous alterations were markedly decreased (P<0.001) in the PD control group compared to other treatment groups. However, CJ 50 and CJ 100 groups showed significant recovery dose-dependent like healthy and standard treated groups (Figures 11, 12, and 13).
Figure 11. The Y-maze test’s arm entries. Statistical assessment showed significant variations compared to the PD control group, with P-values indicating probabilities of * less than 5%, * less than 1%, and ** less than 0.1%, respectively.
Figure 12. The Y-maze test’s arm triad count. Statistical assessment showed significant variations compared to the PD control group, with P-values indicating probabilities of * less than 5%, ** less than 1%, and ** less than 0.1%, respectively.
Figure 13. Percentage of spontaneous changes in the Y-maze test. Statistical assessment showed significant variations compared to the PD control group, with P-values indicating probabilities of * less than 5%, * less than 1%, and ** less than 0.1%, respectively.
It is manifested from findings of the forced swimming test that the duration of immobility as an index of depression was significantly increased (P<0.01) in the PD control group compared to healthy animals. However, the swimming duration was significantly improved (P<0.001) in CJ50 and CJ100 groups similar to healthy and standard-treated animals (Table 3).
Table 3. The effects of Citrus japonica essential oil on forced swim test in PQT-induced PD model.
| Groups | Dose (mg/kg) | Swimming (s) | Climbing (s) | Immobility (s) |
|---|---|---|---|---|
| Healthy | - | 150±3.71 | 29.31±3.17 | 67.80±5.45 |
| PD Control | 10 mg/kg ip | 95.65±6.19£££ | 17.65±2.40£ | 131±6.89£££ |
| Standard treated | L-Dopa+C-Dopa | 149.51±5.31*** | 25.69±2.57* | 65.55±5.39*** |
| C. japónica | 50μL | 161±2.78** | 18.9±4.21** | 73.36±10.59** |
| 100μl | 167.45±2.56*** | 24.6±4.64*** | 56.89±5.78*** |
Research Statistical assessment showed significant variations compared to the PD control group, with P-values indicating probabilities of * less than 5%, * less than 1%, and ** less than 0.1%, respectively.
In the foot printing test, the PD control group’s stride length was considerably (P<0.001) shorter than that of healthy and conventionally treated animals. However, treatment with C. japonica oil markedly (P<0.001) recovers the stride length and gait abnormalities induced by PQT in treated animals (Figure 14).
Figure 14. The effects of Citrus japonica peel essential oil on foot printing test in paraquat-induced Pakinson’s disease model. Statistical assessment showed significant variations compared to the PD control group, with P-values indicating probabilities of * less than 5%, * less than 1%, and ** less than 0.1%, respectively.
Morphological analysis revealed the marked alterations with obvious pathological signs of depigmentation, atrophy, and thickness in the disease control group. It was noted that the size and weight of brain tissues were significantly decreased with ventricular enlargement in diseases group compared to other treatment groups. However, C. japonica oil treatment decreased these pathological hallmarks in treated groups comapred to the disesae control group. The size and shape of substantia nigra also decreased in the disesae group, but C. japonica treated groups showed the normal shape and size of substantia nigra and other tissues.
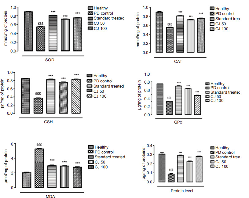
The level of first-line antioxidant enzymes was noticeably decreased in the PD control group because of oxidative stress induced by the administration of PQT. Figure 15 indicated that PQT-treated group significantly decreased the level of SOD, CAT, GSH, and protein level as compared to the normal control group and significantly increased the level of MDA. Treatment with standard drugs and C. japonica essential oil had significantly dose- dependently increased the level of SOD, CAT, GSH, and protein levels, and significantly decreased the level of MDA.
Figure 15. The effects of Citrus japonica essential oil on first-line antioxidant enzymes and level of proteins. Statistical assessment showed significant variations compared to the PD control group, with P-values indicating probabilities of *less than 5%, *less than 1%, and **less than 0.1%, respectively.
Because of PQT intoxication, the levels of noradrenaline, dopamine, serotonin, and acetyl cholinesterase were markedly (P<0.001) decreased in the PD control group. However, their level was recovered notably in C. japonica treatment groups dose-dependently similar to healthy and standard treated groups (Figure 16).
Figure 16. Effect of Citrus japonica essential oil on brain neurotransmitters. Statistical assessment showed significant variations compared to the PD control group, with P-values indicating probabilities of *less than 5%, *less than 1%, and **less than 0.1%, respectively.
Oxidative stress induced by PQT markedly (P<0.001) decreased the enzymatic activity of AChE in PD control animals. Because of PQT intoxication, the levels of noradrenaline, dopamine, serotonin, and AChE was recovered dose dependently similar to standard drug treatment (Figure 17).
Figure 17. The effects of Citrus japonica essential oil on acetylcholinesterase levels in brain homogenate. Statistical assessment showed significant variations compared to the PD control group, with P-values indicating probabilities of *less than 5%, *less than 1%, and **less than 0.1%, respectively.
As shown in Figure 18, the intact neuronal architecture and function were observed in a healthy group. Analysis of the PD control group showed a substantial loss of chromatic richness and cellular outlines. Neurodegenerative signs with extensive lipid peroxidation were obvious because of PQT-induced neuronal toxicity. However, the healthy and active neurons with typical morphological contours and chromatin contents were observed in healthy and standard-treated groups. In CJ 50 and CJ 100 treatment groups, reversal of neuronal and architectural loss was observed with a heavier burden of pyknotic neurons, partial vacuolation.
Figure 18. The histopathological analysis of brain tissue (at 10×) treated with C. japonica oil; NT: Neurofibrillary tangles; P: Plaques.
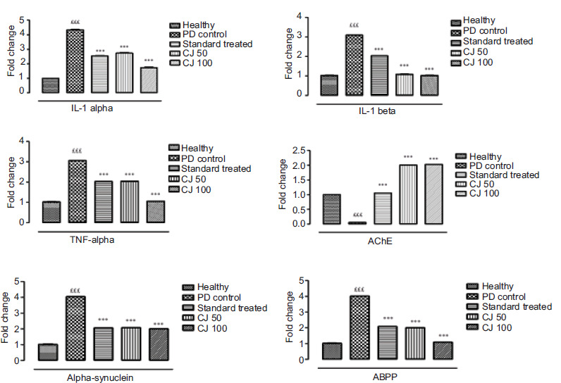
Figure 19. Impact of essential oil of Citrus japonica on pro-inflammatory cytokine mRNA expression and pathological indicators of Parkinson’s disease. Statistical assessment showed significant variations compared to the PD control group, with P-values indicating probabilities of *less than 5%, *less than 1%, and **less than 0.1%, respectively.
Hematological and biochemical analyses revealed a nonsignificant difference between healthy animals and standard-treated animals. The PQT-treated group showed a marked rise in liver enzymes (ALT and AST). However, treatment with C. japonica recovered the raised level of liver enzymes. Hematological and biochemical analyses revealed a nonsignificant difference among healthy animals, C. japonica, and standard drug-treated animals. All results are shown in Tables 4–7.
Table 4. The effects of Citrus japonica essential oil on the liver function tests profile in PQT-induced Parkinson model.
| Parameters | Healthy | PD control | Standard treated | CJ 50 | CJ 100 |
|---|---|---|---|---|---|
| Serum Bilirubin (mg/dl) | 0.47±0.11 | 0.51±0.01£££ | 0.40±0.05*** | 0.48±0.07* | 0.46±0.08* |
| ALT(U/L) | 45.5±3.01 | 54.1±2.22£££ | 39.7±5.51*** | 46.1±3.57*** | 37.2±3.01*** |
| AST(U/L) | 50.1±3.61 | 65.2±3.01£££ | 49.6±3.10*** | 45.7±4.22*** | 47.3±4.25*** |
| ALP (U/L) | 191.2±7.01 | 225±14.2£££ | 182±8.21*** | 141±8.91** | 153±8.01** |
Statistical assessment showed significant variations compared to the PD control group, with P-values indicating probabilities of *less than 5%, *less than 1%, and ** less than 0.1%, respectively.
Table 5. The effects of Citrus japonica essential oil on the renal function tests profile in PQT-induced Parkinson model.
| Parameters | Healthy | PD control | Standard treated | CJ 50 | CJ 100 |
|---|---|---|---|---|---|
| Blood urea (mg/dl) | 22.6±2.05 | 37.9±7.10£££ | 30±6.06*** | 27.8±3.71*** | 27.4±3.24*** |
| Serum Creatinine (mg/dl) | 0.46±0.04 | 0.49±0.07£££ | 0.44±0.02*** | 0.39±0.04*** | 0.37±0.02*** |
| Serum uric acid (mg/dl) | 3.56±0.18 | 4.66±0.21£££ | 3.33±0.24*** | 4.03±0.58*** | 3.96±0.41*** |
Statistical assessment showed significant variations compared to the PD control group, with P-values indicating probabilities of *less than 5%, *less than 1%, and **less than 0.1%, respectively.
Table 6. The effects of Citrus japonica essential oil on the lipid profile in PQT-induced Parkinson model.
| Parameters | Healthy | PD control | Standard treated | CJ 50 | CJ 100 |
|---|---|---|---|---|---|
| Cholesterol (mg/dl) | 90.1±5.81 | 96.7±5.43£££ | 96.9±6.52*** | 119±7.85*** | 120±8.52*** |
| Triglycerides (mg/dl) | 92.6±3.71 | 119.5±4.11£££ | 105.6±16.1*** | 125.3±3.71*** | 114.3±9.61*** |
| HDL (mg/dl) | 39.9±7.42 | 37.2±5.65£££ | 41.2±5.69*** | 47.8±3.01*** | 39±3.39*** |
| LDL (mg/kg) | 97.5±6.61 | 90.1±12.30£££ | 99.1±14.11*** | 107±8.31*** | 109±6.21*** |
| VLDL (mg/dl) | 27.2±3.01 | 30.1±3.23£££ | 25.6±4.01*** | 29.9±4.23*** | 27.0±4.28*** |
Statistical assessment showed significant variations compared to the PD control group, with P-values indicating probabilities of *less than 5%, *less than 1%, and **less than 0.1%, respectively.
Table 7. The effects of Citrus japonica essential oil on the complete blood count (CBC) in PQT-induced Parkinson model.
| Parameters | Healthy | PD control | Standard treated | CJ 50 | CJ 100 |
|---|---|---|---|---|---|
| Total RBCs (1012/L) | 8.99±0.16 | 8.76±0.18£££ | 9.10±0.14*** | 8.81±0.26*** | 8.92±0.29*** |
| M.C.V (fl) | 52.3±4.11 | 56.8±7.23£££ | 60±4.31*** | 62±5.93*** | 58±2.15*** |
| M.C.H (Pg) | 19.5±0.21 | 11.10±0.31£££ | 13.40±0.61*** | 15.66±0.72*** | 16.21±0.86*** |
| Hemoglobin (g/dl) | 13.1±0.59 | 11.6±0.61£££ | 12.6±0.63*** | 12.8±0.63*** | 12.7±0.63*** |
| Hematocrit (%) | 38.5±3.39 | 42±3.62£££ | 39±4.52*** | 42±3.31*** | 41.6±4.01*** |
| WBCs (K/uL) | 6.91±0.91 | 4.95±0.31£££ | 5.96±0.16*** | 6.11±0.27*** | 6.78±0.31*** |
| Platelets (K/UI) | 852±8.51 | 742±8.92£££ | 894±14.1*** | 741±29.9*** | 775±15.6** |
Statistical assessment showed significant variations compared to the PD control group, with P-values indicating probabilities of *less than 5%, *less than 1%, and **less than 0.1%, respectively.
The administration of PQT induced neuroinflammation, resulting in significant P-value (P<0.05); upregulation in mRNA expressions of IL-1α, IL-1β, TNF-α, α–synuclein (α-synuclein); and amyloid beta precursor protein ABPP in the PD control group compared to healthy animals, standard treated, and C. japonica treated groups dose-dependently.
However, the AChE mRNA expression was markedly downregulated in the PD control group compared to healthy animals and other treatment groups. C. japonica treatment recovered the downregulated mRNA expression of AChE and upregulated the expression of pro-inflammatory cytokines.
The second-most prevalent condition is PD, a complicated and long-term neurodegenerative disorder rendering the patients to live years of mental and physical disability from diagnosis to death (Armstrong and Okun, 2020, Sveinbjornsdottir, 2016). The symptomatic characterization of PD is based on episodes of tremors and bradykinesia with postural instability, rigidity, and abnormalities such as akinesia and festinating gait (Braak H. and Braak E., 2000, Khoo et al., 2013). Clinically, PD is characterized by abnormalities in motor and nonmotor functions; motor function comprises of tremors, bradykinesia, postural instability, and rigidity while nonmotor complications include sleep disorders, cardiovascular disorders, and constipation (Balestrino and Schapira, 2020). In the substantia nigra, Lewy bodies containing α-synuclein are a neuropathological sign of PD (Connolly and Lang, 2014). Dopaminergic neurons in the par’s compacta of the substantia nigra disappear, which lessens the facilitation of voluntary movements. As PD progresses, the aggregation of alpha-synuclein spreads all through the brain. Chances of having PD are increased with age, as there is a 46% chance of its onset at age of 80 years compared to 40 years. Pakistan’s population is more than 182 million and approximately 450,000 people are suffering from PD (Politis et al., 2010). The prevalence is reported to be higher in males (63%) than in females (37%) (Ravina et al., 2007).
The neuropathological mechanisms of PD are multifactorial and involve genetic as well as environmental factors. Protein accumulation, mitochondrial damage, neuroinflammation, excitotoxicity, impaired protein clearance pathways, oxidative stress, and genetic mutations are the main underlying pathological pathways (Dickson, 2018).
Several treatment strategies are currently available to temporarily mitigate the severe symptoms of PD or to moderately delay the progression of the disease (Connolly and Lang, 2014). Their drawbacks lie in the short duration of action, more side-effects on prolonged use, and less fluctuations in receptor permeability (Zahoor et al., 2018). Levodopa is the drug that works best for treating PD symptoms, particularly those caused by bradykinesia. As levodopa therapy is linked to motor side effects such as fluctuations and dyskinesias, there is ongoing dialogue about the ideal time to start levodopa therapy during PD (Münchau and Bhatia, 2000). After 5 years of levodopa therapy, the majority of individuals have motor fluctuations, dyskinesias, or other problems. One drug that has been demonstrated to decrease levodopa-induced dyskinesias without reducing levodopa dosage is amantadine. Levodopa-induced motor problems may be treated with the addition of a dopamine agonist, COMT inhibitor, or MAO-I inhibitor (Poewe et al., 2017).
C. japonica, also known as Kumquat or Fortunella margarita peel, is rich in volatile oil (Lin et al., 2021). Interestingly, it was reported to be generally recognized as safe to be used in food products (Kabara, 1991). Upon reviewing the literature, a certain study was carried out on fruits in Taiwan, which detected about 37 volatile compounds predominated by limonene, α-pinene, and caryophyllene in the essential oil (Peng et al., 2013). Similarly in our results, limonene was reported to be the main component with an abundance value of 93.73% (Choi, 2005). In another study in Algeria, the fruit oil showed predominance of limonene (86.31%), D-germacrene (4.67%), β-myrcene (3.21%), and α-pinene (0.75%) (Lakache et al., 2022). In Greece, the fruit oil was found to be rich in limonene (93.80%) and myrcene (2.70%) (Mitropoulou et al., 2022). Unlike that, it was found in Brazilian fruits, there was a predominance of β-pinene, limonene, β-felandrene, α-guaiene, and D-germacrene (De Menezes Filho and Castro, 2019). It is assumed that these differences in the chemical composition of the above-mentioned essential oils can be ascribed to differences in the cultivation environment, geographical resources, climate, genotype, and collection time (El-Nashar et al., 2022; Kamli et al., 2024; Rabie et al., 2023).
In the current research, the therapeutic potential of C. japonica peel essential oil has been evaluated for its anti-PD potential effect in a rat model. C. japonica essential oil maximum dose in this experiment (100 μL) showed significant neuroprotective effects. The behavioral test battery is designed to estimate motor and nonmotor function impairments. Catalepsy scoring narrow beam walk, open field, and hole board tasks were performed to estimate most of the behavioral paradigms (Meredith and Kang, 2006). C. japonica peel essential oil treatment recovered both the motor functions and nonmotor functions.
Oxidative stress is a critical player in the induction of neurodegeneration; therefore, the level of antioxidant enzymes markedly decreased compared to normal physiological conditions in neurotoxicity. Because of oxidative stress, the permeability of brain mitochondria is altered as a result of interruption in electron transport and autooxidation of dopamine participants in the neurotoxicity of dopaminergic neurons, resulting in the altered structure of disease-related protein structures like α-synuclein and amyloid beta precursor proteins (Uéda et al., 1989). Therefore, compounds exhibiting antioxidant potential are considered a favorable therapeutic choice to treat PD. In the current work, because of the robust antioxidant power of C. japonica essential oil, the decreased level of first-line antioxidant enzymes SOD, CAT, and GSH was markedly recovered (Henchcliffe and Beal, 2008). However, this oil treatment mitigated the raised level of lipid peroxidation and the level of nitrite. Oxidative stress induces the structural changes of PD-related proteins, resulting in memory decline, depression, anxiety, and impairment in neuromuscular coordination (Blesa et al., 2015; Henchcliffe and Beal, 2008). In PD, these symptoms are also strongly linked to depleted levels of brain neurotransmitters like dopamine, acetylcholine, adrenaline, serotonin, and noradrenaline. These neurotransmitters linked to PD pathology are thoroughly distributed in the cerebral cortex, limbic system, and basal ganglia, and take part in motor and nonmotor functions (Luchtman et al., 2009). It is evident from published literature that because of the exposure of PQT, the level of dopamine and other neurotransmitters linked to motor functions are depleted. In the current work, similar to previous findings because of PQT administration, the level of these neurotransmitters decreased compared to healthy animals (Brichta et al., 2013, Petzinger et al., 2015). However, treatment with C. japonica resulted in decreased oxidative stress and consequently recovered levels of neurotransmitter dopamine, serotonin, adrenaline, and acetylcholine. As the level of brain neurotransmitters recovered, the motor and nonmotor dysfunctions were also markedly recovered (Abdel-Salam et al., 2012; Selamoglu-Talas et al., 2013; Sureda et al., 2023). Similar to previous histopathological findings, C. japonica treatment also mitigated the pigmentation, neuroinflammation, and Lewy bodies formation (Bhangale and Acharya, 2016).
Oxidative stress induced structural changes and raised the level of misfolded α-synuclein protein. PQT administration resulting in oxidative stress induced higher levels of α-synuclein in the PD control group (Nemani et al., 2010). PD pathology is also strongly linked to elevated levels of pro-inflammatory cytokines. As reported in previous literature, kumquat peel enriched with minerals, phenolic acids, and major component limonene hold robust antioxidant potential in 70% ethanol and also have remarkable antimicrobial properties against Staphylococcus aureus (Al-Saman et al., 2019). C. japonica essential oil phytochemical screening or metabolic fingerprinting revealed significant amounts of limonene and germacrene D; both compounds are associated with robust antioxidant potential and can be implemented to treat neurodegeneration in animal models through modulation of antioxidant signalling cascade leading to neuroprotective role (Daglia et al., 2014; Nouri and Shafaghatlonbar, 2016a; Talas et al., 2008). Essential oils extracted from C. japonica are also associated with multiple pharmacological attributes like antidiabetic, anticancer, and antiobesity. However, the current work is supported by findings of previous reported studies in which the use of C. japonica oil showed an antianxiety effect with significant improvement in locomotion. This study revelaed the anxiolytic potential of limonene (Satou et al., 2012).
The primary function of AChE is to hydrolyze acetylcholine in order to inhibit cholinergic neurotransmission at synapses. Increased levels of synaptic isoform of AChE mRNA have been shown in previous studies to promote apoptosis in a range of cell types. AChE levels and mRNA expression were lowered in the PD model group as a result of PQT’s neurotoxic effects. In line with prior research, C. japonica recovered AChE mRNA expression. Neuro-inflammatory cytokines like IL-1α, IL-1β, and TNF-α are also linked to debilitating symptoms of PD. Their level abnormally rose in pathological conditions as reported in a previous work. PD because of neurotoxicity induced by any neurotoxin results in elevated levels of these inflammatory cytokines (Leal et al., 2013). In this work, the level of pro-inflammatory cytokines was raised in the PD control group compared to healthy and treated groups similar to a previous work (Koprich et al., 2008). There is controversy over the expression of AChE in PD. But, in the current work, because of the neurotoxic effect of PQT, the protein structure of AChE was altered, resulting in lower expression in the PD control group compared to other healthy and treatment groups (Jiang and Zhang, 2008). However, the raised level of these enzymes in the PD model group was reported contrary to this work (Ben-Shaul et al., 2006).
The neuroprotective effects of C. japonica essential oil may be attributed to the major component, limonene, as evident in many experimental models (Beserra-Filho et al., 2023; Eddin et al., 2021; Eddin et al., 2023). Limonene reduced oxidative stress, altered NF-κB/MAPK signaling and motor impairment, and downregulated the levels of proinflammatory cytokines and inflammatory mediators in the brain in the rotenone-induced Parkinson model (Eddin et al., 2021). Moreover, it might change mTOR signaling and inhibit Hippo signaling and the intrinsic apoptotic pathway (Eddin et al., 2023). In reserpine-induced parkinsonism mice, limonene remarkably delayed the onset of catalepsy behavior and protected against memory deficit (Beserra-Filho et al., 2023). Cholinesterase and butrylcholinestersae were both inhibited by limonene (Szwajgier and Baranowska-Wójcik, 2019). This action was linked to limonene’s hydrocarbon skeleton, which is thought to function as a hydrophobic ligand that interacts with the AchE hydrophobic active site (Conforti et al., 2007). Therefore, by considering the current work’s findings, it is suggested that C. japonica peel essential oil will be helpful in the mitigation of PD hallmarks like gait abnormalities, depression, anxiety, impairment of motor functions, and loss of psychomotor skills. It should be considered as a neuroprotective agent to treat neurodegenerative disorders through its multiple mechanistic pathways to inhibit neuroinflammation and oxidative stress. The study offers important insights into the neuroprotective effects of C. japonica, but it also has some limitations that require future research. Firstly, since the study was conducted on animal models, it provides a basic understanding, but further human clinical trials are essential to validate its efficacy.
In view of the above findings, it is deduced that C. japonica peel oil is rich in limonene and could mitigate neurotoxicity induced by environmental and other risk factors. This essential oil modulated the behavioral, biochemical, and neurochemical parameters in PQT-induced PD rats. Also, the oil could lessen PD motor defects and protect the brain tissues from oxidative stress. The gene expression analysis revealed that C. japonica peel oil treatment downregulated the mRNA expression of pathological neuro-inflammatory biomarkers. Therefore, C. japonica peel oil should be considered as adjuvant therapy for the management of neurodegenerative disorders such as PD. Molecular mechanisms and clinical trials are recommended for the full characterization of the tested oil as an herbal drug.
The authors extend their appreciation to Taif University, Saudi Arabia, for supporting this work through project number (TU-DSPP-2025-26).
US, OEA, MBH, MAS, and ASS conceived and supervised the study. NKA, IF, NMM, HASEN, ZC, MF, AET, and FAJM performed the experiments. IF, FTA, HASEN, OAE, MBH, MA, RHA and MAS analyzed and interpreted the results. All authors have equally contributed to writing, editing, and revising the final draft.
All authors declared no conflict of interest.
This research was funded by Taif University, Saudi Arabia, Project No. (TU-DSPP-2025-26).
Abdallah S.H., Mostafa N.M., Mohamed M.A.E.H., Nada A.S., Singab, A.N.B. 2022. UPLC-ESI-MS/MS profiling and hepatoprotective activities of Stevia leaves extract, butanol fraction and stevioside against radiation-induced toxicity in rats. Nat. Prod. Res., 36: 5619–5625. 10.1080/14786419.2021.2015594
Abdel-Salam O.M., El-Shamarka M.E.S., Salem N.A., Gaafar A.E.D.M.J.E.J. 2012. Effects of cannabis sativa extract on haloperidol-induced catalepsy and oxidative stress in the mice. EXCLI Journal. 11: 45.
Abdelghffar E.A., El-Nashar H.A., Al-Mohammadi A.G., Eldahshan O.A. 2021. Orange fruit (Citrus sinensis) peel extract attenuates chemotherapy-induced toxicity in male rats. Food Funct. 12: 9443–9455. 10.1039/D1FO01905H
Ahmad M.H., Fatima M., Ali M., Rizvi M.A., Mondal, A.C. 2021. Naringenin alleviates paraquat-induced dopaminergic neuronal loss in SH-SY5Y cells and a rat model of Parkinson’s disease. Neuropharmacology. 201: 108831. 10.1016/j.neuropharm.2021.108831
Al-Saman M.A., Abdella, A., Mazrou K.E., Tayel A.A., Irmak S. 2019. Antimicrobial and antioxidant activities of different extracts of the peel of kumquat (Citrus japonica Thunb). J. Food Meas. Charact. 13: 3221–3229. 10.1007/s11694-019-00244-y
Armstrong, M.J. and OKUN, M.S. 2020. Diagnosis and treatment of Parkinson disease: A review. Jama. 323: 548–560. 10.1001/jama.2019.22360
Aydin E., Hritcu L., Dogan G., Hayta S., Bagci, E. 2016. The effects of inhaled Pimpinella peregrina essential oil on scopolamine-induced memory impairment, anxiety, and depression in laboratory rats. Mol. Neurobiol. 53: 6557–6567. 10.1007/s12035-016-9693-9
Baky M.H., Elkenawy N.M., El-Nashar H.A., Abib B., Farag M.A. 2024. Comparison of autoclaving and γ-radiation impact on four spices aroma profiles and microbial load using HS-SPME GC–MS and chemometric tools. Sci. Rep. 14: 5752. 10.1038/s41598-024-56422-6
Balestrino R. and Schapira A. 2020. Parkinson disease. Eur. J. Neurol. 27: 27–42. 10.1111/ene.14108
Ben-Shaul Y., Benmoyal-Segal L., Ben-Ari S., Bergman H., Soreq H.J.E.J.O.N. 2006. Adaptive acetylcholinesterase splicing patterns attenuate 1-methyl-4-phenyl-1, 2, 3, 6-tetrahydropyridine-induced Parkinsonism in mice. 23: 2915–2922. 10.1111/j.1460-9568.2006.04812.x
Beserra-Filho J.I., Silva-Martins S., Silva S., Custodio-Silva A.C., Soares-Silva B., Carvalhinho-Lopes P., Ribeiro D., Estadella D., Santos J., Quintans-Júnior L. 2023. D-limonene complexed with β-cyclodextrin attenuates behavioral deficits and reduces astrogliosis in a progressive parkinsonism animal model. IBRO Neurosci. Rep. 15: S485. 10.1016/j.ibneur.2023.08.947
Bhangale J.O. and Acharya S.R.J.A.I.P.S. 2016. Anti-Parkinson activity of petroleum ether extract of Ficus religiosa (L.) leaves. 2016. 10.1155/2016/9436106
Blesa J., Trigo-Damas I., Quiroga-Varela A., Jackson-Lewis V.R. 2015. Oxidative stress and Parkinson’s disease. Front. Neuroanat. 9: 91. 10.3389/fnana.2015.00091
Braak H. and Braak E. 2000. Pathoanatomy of Parkinson’s disease. J. Neurol. 247: II3–II10. 10.1007/PL00007758
Brichta L., Greengard P., Flajolet M. 2013. Advances in the pharmacological treatment of Parkinson’s disease: Targeting neurotransmitter systems. Trends in Neurosci. 36: 543–554. 10.1016/j.tins.2013.06.003
Brooks A., Chadwick C., Gelbard H., Cory-Slechta D., Federoff, H. 1999. Paraquat elicited neurobehavioral syndrome caused by dopaminergic neuron loss. Brain Res. 823: 1–10. 10.1016/S0006-8993(98)01192-5
Chauhdary Z., Saleem U., Ahmad B., Shah S., Shah, M.A. 2019. Neuroprotective evaluation of Tribulus terrestris L. in aluminum chloride induced Alzheimer’s disease. Pak. J. Pharm. Sci. 32.
Chitra V., Manasa K., Mythili A., Tamilanban T., Gayathri, K. 2017. Effect of hydroalcoholic extract of Achyranthes aspera on haloperidolinduced Parkinson’s disease in wistar rats. AJPCR. 318–321. 10.22159/ajpcr.2017.v10i9.19285
Choi H.S. 2005. Characteristic odor components of kumquat (Fortunella japonica Swingle) peel oil. J. Agric. Food Chem. 53: 1642–7. 10.1021/jf040324x
Conforti F., Statti G.A., Tundis R., Loizzo M.R., Menichini F. 2007. In vitro activities of Citrus medica L. cv. Diamante (Diamante citron) relevant to treatment of diabetes and Alzheimer’s disease. Phytother. Res. 21: 427–433. 10.1002/ptr.2077
Connolly B.S. and Lang A.E. 2014. Pharmacological treatment of Parkinson disease: A review. JAMA. 311: 1670–1683. 10.1001/jama.2014.3654
Daglia M., Di Lorenzo A., F Nabavi S., S Talas, Z., M Nabavi S. 2014. Polyphenols: Well beyond the antioxidant capacity: Gallic acid and related compounds as neuroprotective agents: You are what you eat! Curr. Pharm. Biotechnol. 15: 362–372. 10.2174/138920101504140825120737
De Menezes Filho A. and Castro, C.D.S. 2019. Chemical characterization and antifungal activity of essential oil of Orange Kinkan (Fortunella margarita (Lour.) Swingle). Folia Amaz.: 28: 185–198. 10.24841/fa.v28i2.482
Dickson D.W. 2018. Neuropathology of Parkinson disease. Parkinsonism & related disorders. 46: S30–S33. 10.1016/j.parkreldis.2017.07.033
Eddin L.B., Azimullah S., Jha N.K., Nagoor Meeran M.F., Beiram R., Ojha S. 2023. Limonene, a monoterpene, mitigates rotenone-induced dopaminergic neurodegeneration by modulating neuroinflammation, Hippo signaling and apoptosis in rats. Int. J. Mol. Sci.. 24: 5222. 10.3390/ijms24065222
Eddin L.B., Jha N.K., Meeran M.N., Kesari K.K., Beiram R., Ojha, S. 2021. Neuroprotective potential of limonene and limonene containing natural products. Molecules. 26: 4535. 10.3390/molecules26154535
El-Nashar H.A., Mostafa N.M., El-Badry M.A., Eldahshan O.A., Singab A.N.B. 2021. Chemical composition, antimicrobial and cytotoxic activities of essential oils from Schinus polygamus (Cav.) cabrera leaf and bark grown in Egypt. Nat. Prod. Res. 35: 5369–5372.10.1080/14786419.2020.1765343
El-Nashar H.A., Adel M., El-Shazly M., Yahia I.S., El Sheshtawy H.S., Almalki A.A., Ibrahim N. 2022. Chemical composition, antiaging activities and molecular docking studies of essential oils from Acca sellowiana (Feijoa). Chem Biodivers. 19: e202200272.10.1002/cbdv.202200272
Elhawary E.A., Mostafa N.M., Labib R.M., Singab A.N. 2021. Metabolomic profiles of essential oils from selected rosa varieties and their antimicrobial activities. Plants. 10: 1721. 10.3390/plants10081721
Farasati Far B., Gouranmohit G., Naimi-Jamal M.R., Neysani E., El-Nashar H.A., El-Shazly M., Khoshnevisan K. 2024. The potential role of Hypericum perforatum in wound healing: A literature review on the phytochemicals, pharmacological approaches, and mechanistic perspectives. Phytother. Res. 10.1002/ptr.8204
Giagkou N., Maraki M.I., Yannakoulia M., Kosmidis M.H., Dardiotis E., Hadjigeorgiou G.M., Sakka P., Ntanasi E., Anastasiou C. A., Xiromerisiou, G. 2020. A prospective validation of the updated movement disorders society research criteria for prodromal Parkinson’s disease. Mov. Disord. 35: 1802–1809. 10.1002/mds.28145
Hamedi A., Zengin G., Aktumsek A., Selamoglu Z., Pasdaran, A. 2020. In vitro and in silico approach to determine neuroprotective properties of iridoid glycosides from aerial parts of Scrophularia amplexicaulis by investigating their cholinesterase inhibition and anti-oxidant activities. Biointerface Res. Appl. Chem. 10: 5429–5454. 10.33263/BRIAC103.429454
Henchcliffe C. and Beal M.F. 2008. Mitochondrial biology and oxidative stress in Parkinson disease pathogenesis. Nat. Clin. Pract. Neurol. 4: 600–609. 10.1038/ncpneuro0924
Hunot S. and Hirsch E. 2003. Neuroinflammatory processes in Parkinson’s disease. Ann. Neurol. 53: S49–S60. 10.1002/ana.10481
Iqbal A., Anwar F., Saleem U., Khan S.S., Karim A., Ahmad B., Gul M., Iqbal Z., Ismail T. 2022. Inhibition of oxidative stress and the NF-κB pathway by a vitamin E derivative: Pharmacological approach against Parkinson’s disease. ACS Omega. 7: 45088–45095. 10.1021/acsomega.2c05500
Jachak S.M. and Saklani A. 2007. Challenges and opportunities in drug discovery from plants. Curr. Sci. 1251–1257.
Jiang H. and Zhang X.J. 2008. Acetylcholinesterase and apoptosis. A novel perspective for an old enzyme. FEBS J 275: 612–7. 10.1111/j.1742-4658.2007.06236.x
Kabara J. 1991. Phenols and chelators. Food Preserv. 200: 214.
Kamli H., Ali A.A.M., Salem Y.H., Shaikh A., El-Nashar, H.A. 2024. Chemical profiling and enzyme inhibitory activities of essential oil isolated from Pistacia khinjuk leaves: Insights on GC-MS analysis and skin aging-relevant enzymes. Chem. Biodivers. e202302096. 10.1002/cbdv.202302096
Khoo T.K., Yarnall A.J., Duncan G.W., Coleman S., O’Brien J.T., Brooks D.J., Barker R.A., Burn D.J. 2013. The spectrum of nonmotor symptoms in early Parkinson disease. Neurology. 80: 276–281. 10.1212/WNL.0b013e31827deb74
Koprich J.B., Reske-Nielsen C., Mithal P., Isacson O.J.J.O.N. 2008. Neuroinflammation mediated by IL-1β increases susceptibility of dopamine neurons to degeneration in an animal model of Parkinson’s disease. 5, 1–12. 10.1186/1742-2094-5-8
Kumar A., Leinisch F., Kadiiska M.B., Corbett J., Mason R.P. 2016. Formation and implications of alpha-synuclein radical in maneb-and paraquat-induced models of Parkinson’s disease. Mol. Neurobiol. 53: 2983–2994. 10.1007/s12035-015-9179-1
Lakache Z., Hacib H., Aliboudhar H., Toumi M., Mahdid M., Lamrani N., Tounsi H., Kameli, A. 2022. Chemical composition, antidiabetic, anti-inflammatory, antioxidant and toxicity activities, of the essential oil of Fortunella margarita peels. J. Biol. Res-Boll. Soc. 95. 10.4081/jbr.2022.10641
Leal M.C., Casabona J.C., Puntel M., Pitossi, F.J.F.I.C.N. 2013. Interleukin-1β and tumor necrosis factor-α: Reliable targets for protective therapies in Parkinson’s disease? 7, 53. 10.3389/fncel.2013.00053
Lin X., Cao S., Sun J., Lu D., Zhong B., Chun J. 2021. The chemical compositions, and antibacterial and antioxidant activities of four types of citrus essential oils. molecules. 26. 10.3390/molecules26113412
Lou S.N., Lai Y.C., Huang J.D., Ho C.T., Ferng L.H., Chang Y.C. 2015. Drying effect on flavonoid composition and antioxidant activity of immature kumquat. Food Chem. 171. 356–63. 10.1016/j.foodchem.2014.08.119
Luchtman D.W., Shao D., Song C. 2009. Behavior, neurotransmitters and inflammation in three regimens of the MPTP mouse model of Parkinson’s disease. Physiol. Behav. 98: 130–138. 10.1016/j.physbeh.2009.04.021
Lücking C. 2000. Alpha-synuclein and Parkinson’s disease. CMLS. 57: 1894–1908. 10.1007/PL00000671
Magistrelli L., Contaldi E., Comi C. 2021. The impact of SNCA variations and its product alpha-synuclein on non-motor features of Parkinson’s disease. Life. 11: 804. 10.3390/life11080804
Maiti P., Manna J., Dunbar G.L. 2017. Current understanding of the molecular mechanisms in Parkinson’s disease: Targets for potential treatments. Transl. Neurodegener. 6: 28. 10.1186/s40035-017-0099-z
Meredith G.E. and Kang U.J. 2006. Behavioral models of Parkinson’s disease in rodents: A new look at an old problem. Mov. Disord. 21: 1595–1606. 10.1002/mds.21010
Mitropoulou G., BardoukI H., Vamvakias M., Panas P., Paraskevas P., Kourkoutas, Y. 2022. Assessment of antimicrobial efficiency of Pistacia lentiscus and Fortunella margarita essential oils against spoilage and pathogenic microbes in ice cream and fruit juices. Microbiol. Res. 13: 667–680. 10.3390/microbiolres13030048
Münchau A. and Bhatia K.P. 2000. Pharmacological treatment of Parkinson’s disease. Postgrad. Med. J. 76: 602–610. 10.1136/pmj.76.900.602
Nemani V.M., Lu W., Berge V., Nakamura K., Onoa B., Lee M.K., Chaudhry F. A., Nicoll R.A., Edwards R.H.J.N. 2010. Increased expression of α-synuclein reduces neurotransmitter release by inhibiting synaptic vesicle reclustering after endocytosis. 65: 66–79. 10.1016/j.neuron.2009.12.023
Nouri A. and Shafaghatlonbar A. 2016a. Chemical constituents and antioxidant activity of essential oil and organic extract from the peel and kernel parts of Citrus japonica Thunb. (kumquat) from Iran. Nat. Prod. Res. 30: 1093–7. 10.1080/14786419.2015.1101692
Nouri A. and Shafaghatlonbar A. 2016b. Chemical constituents and antioxidant activity of essential oil and organic extract from the peel and kernel parts of Citrus japonica Thunb. (kumquat) from Iran. Nat. Prod. Res. 30: 1093–1097. 10.1080/14786419.2015.1101692
Ozcan-Sinir G., Ozkan-Karabacak A., Tamer C.E., Copur O.U. 2018. The effect of hot air, vacuum and microwave drying on drying characteristics, rehydration capacity, color, total phenolic content and antioxidant capacity of Kumquat (Citrus japonica). J. Food Sci. 39: 475–484. 10.1590/fst.34417
Parambi D.G.T., Saleem U., Shah M.A., Anwar F., Ahmad B., Manzar A., Itzaz A., Harilal S., Uddin M.S., Kim H. 2020. Exploring the therapeutic potentials of highly selective oxygenated chalcone based MAO-B inhibitors in a haloperidol-induced murine model of Parkinson’s disease. Neurochem. Res. 45: 2786–2799. 10.1007/s11064-020-03130-y
Peng L.W., Sheu M.J., Lin L.Y., Wu C.T., Chiang H.M., Lin W.H., Lee M.C., Chen H.C. 2013. Effect of heat treatments on the essential oils of kumquat (Fortunella margarita Swingle). Food Chem. 136: 532–7. 10.1016/j.foodchem.2012.08.014
Petzinger G.M., Holschneider D.P., Fisher B.E., Mcewen S., Kintz N., Halliday M., Toy W., Walsh J.W., Beeler J., Jakowec M.W. 2015. The effects of exercise on dopamine neurotransmission in Parkinson’s disease: Targeting neuroplasticity to modulate basal ganglia circuitry. Brain Plast. 1: 29–39. 10.3233/BPL-150021
Poewe W., Seppi K., Tanner C.M., Halliday G.M., Brundin P., Volkmann J., Schrag A.E., Lang A.E. 2017. Parkinson disease. Nat. Rev. Dis. Primers. 3: 1–21. 10.1038/nrdp.2017.13
Politis M., Wu K., Molloy S., BAIN, P.G., Chaudhuri K.R., Piccini P. 2010. Parkinson’s disease symptoms: The patient’s perspective. Mov. Disord. 25: 1646–1651. 10.1002/mds.23135
Potterat O. and Hamburger M. 2008. Drug discovery and development with plant-derived compounds. NPs. I: 45–118. 10.1007/978-3-7643-8117-2_2
Rabie O., El-Nashar H.A.S., Majrashi T.A., Al-Warhi T., El Hassab M.A., Eldehna W.M., Mostafa N.M. 2023. Chemical composition, seasonal variation and antiaging activities of essential oil from Callistemon subulatus leaves growing in Egypt. J. Enzyme Inhib. Med. Chem. 38: 2224944. 10.1080/14756366.2023.2224944
Ravina B., Camicioli R., Como P., Marsh L., Jankovic J., Weintraub D., Elm J. 2007. The impact of depressive symptoms in early Parkinson disease. Neurology. 69: 342–347. 10.1212/01.wnl.0000268695.63392.10
Saeed A., Shakir L., Khan M.A., Ali A., ZAIDI A.A. 2017. Haloperidol induced Parkinson’s disease mice model and motor-function modulation with Pyridine-3-carboxylic acid. Biomed. Res. Ther. 4: 1305–1317. 10.15419/bmrat.v4i05.169
Saleem U., Akhtar R., Anwar F., Shah M.A., Chaudary Z., Ayaz M., Ahmad B. 2021a. Neuroprotective potential of Malva neglecta is mediated via down-regulation of cholinesterase and modulation of oxidative stress markers. Metab. Brain Dis. 36: 889–900. 10.1007/s11011-021-00683-x
Saleem U., Gull Z., Saleem A., Shah M.A., Akhtar M.F., Anwar F., Ahmad B., Panichayupakaranant P. 2021b. Appraisal of anti-Parkinson activity of rhinacanthin-C in haloperidol-induced parkinsonism in mice: A mechanistic approach. J. Food Biochem. 45: e13677. 10.1111/jfbc.13677
Saleem U., Khalid S., Chauhdary Z., Anwar F., Shah M.A., Alsharif, Babalghith A.O., Khayat R.O., Albalawi A.E., Baokbah T.A. 2022. The curative and mechanistic acumen of curcuminoids formulations against haloperidol induced Parkinson’s disease animal model. Metab. Brain Dis. 1–16. 10.1007/s11011-022-01122-1
Saleem U., Raza Z., Anwar F., Chaudary Z., Ahmad B. 2019. Systems pharmacology based approach to investigate the in vivo therapeutic efficacy of Albizia lebbeck (L.) in experimental model of Parkinson’s disease. BMC Complement. Med. Ther. 19: 1–16. 10.1186/s12906-019-2772-5
Saleem U., Shehzad A., Shah S., Raza Z., Shah M.A., Bibi S., Chauhdary, Z., Ahmad B. 2021c. Antiparkinsonian activity of Cucurbita pepo seeds along with possible underlying mechanism. Metab. Brain Dis. 36: 1231–1251. 10.1007/s11011-021-00707-6
Satou T., Miyahara N., Murakami S., Hayashi S., Koike K. 2012. Differences in the effects of essential oil from Citrus junos and (+)-limonene on emotional behavior in mice. J. Essent. Oil Res. 24: 493–500. 10.1080/10412905.2012.705100
Selamoglu-Talas Z., Ozdemir I., Ciftci O., Cakir, O. 2013. Propolis attenuates oxidative injury in brain and lung of nitric oxide synthase inhibited rats. J. Pharm. Care. 45–50.
Shahnawaz M., Mukherjee A., Pritzkow S., Mendez N., Rabadia P., Liu X., Hu B., Schmeichel A., Singer W., Wu G. 2020. Discriminating α-synuclein strains in Parkinson’s disease and multiple system atrophy. Nature. 578: 273–277. 10.1038/s41586-020-1984-7
Sureda A., Tejada S., Khan U.M., Selamoglu Z. 2023. An overview of the biological function of curcumin in the processes of oxidative stress, inflammation, nervous system, and lipid levels. Cent. Asian J. Medical Pharm. Sci. Innov. 3: 1–11.
Sveinbjornsdottir S. 2016. The clinical symptoms of Parkinson’s disease. J. Neurochem. 139: 318–324. 10.1111/jnc.13691
Szwajgier D. and Baranowska-Wójcik E. 2019. Terpenes and phenylpropanoids as acetyl-and butyrylcholinesterase inhibitors: A comparative study. Curr. Alzheimer Res. 16: 963–973. 10.2174/1567205016666191010105115
Talas Z.S., Ozdemir I., Yilmaz I., Gok Y., Orun I. 2008. The investigation of the antioxidative properties of the novel synthetic organoselenium compounds in some rat tissues. Exp. Biol. Med. 233: 575. 10.3181/0707-RM-191
Tangamornsuksan W., Lohitnavy O., Sruamsiri R., Chaiyakunapruk N., Norman Scholfield C., Reisfeld B., Lohitnavy M. 2019. Paraquat exposure and Parkinson’s disease: A systematic review and meta-analysis. Arch. Environ. Occup. Health. 74: 225–238. 10.1080/19338244.2018.1492894
Uéda K., Cole G., Sundsmo M., Katzman R., Saitoh T. 1989. Decreased adhesiveness of Alzheimer’s disease fibroblasts: Is amyloid β-protein precursor involved? Ann. Neurol. 25: 246–251. 10.1002/ana.410250307
Zahoor I., Shafi A., Haq E. 2018. Pharmacological treatment of Parkinson’s disease. Exon Publications. 129–144. 10.15586/codonpublications.parkinsonsdisease.2018.ch7