Download

ORIGINAL ARTICLE

Changes in fermentation characteristics of commercial Kombucha determined by time of inoculation of a mixed culture of bacteria and yeast—Gluconobacter oxydans SFT-27, Acetobacter pasteurianus SFT-18, Leuconostoc mesenteroides SFT-45, and Saccharomyces cerevisiae SFT-71

Byung-kuk Choi1, Su-Hwan Kim2, Geun-Ho Song1, Sang–Ah Kim1, Chang-Ki Huh2,3*

1Fermented Food Industry Center, Suncheon, Korea;

2Research Institute of Food Industry, Sunchon National University, Suncheon, Korea;

3Department of Food Science and Technology, Sunchon National University, Suncheon, Korea

These authors contributed equally to this work.

Abstract

Our study aimed to investigate the effects of varied inoculation times of a mixed culture of four microorganisms on the fermentation characteristics of kombucha to standardize the process. We selected strains through prior phenotypic and genotypic screening to establish a controlled, mixed microbial fermentation system for kombucha production. A combination of Gluconobacter oxydans SFT-27, Acetobacter pasteurianus SFT-18, Leuconostoc mesenteroides SFT-45, and Saccharomyces cerevisiae SFT-71was used for inoculation at different times (Days 1–5) to assess the effects on fermentation characteristics. Green tea extract was prepared and supplemented with sucrose, glucose, and appropriate nitrogen sources. The extract was inoculated with a primary inoculation of acetic acid bacteria (G. oxydans SFT-27, A. pasteurianus SFT-18). There were subsequent inoculations with yeast (S. cerevisiae SFT-71) and lactic acid bacteria (L. mesenteroides SFT-45) from Day 1–5. We analyzed key fermentation indices, including pH, titratable acidity, ethanol content, °Brix, reducing sugar content, viable microbial counts, and gluconic acid levels over 25 days. Results demonstrated that pH decreased sharply after the third day of inoculation, with titratable acidity peaking at 4.64%, surpassing Korean food code standards. Ethanol peaked on Day 5 and decreased thereafter. There was a steady increase in reducing sugars, particularly in the samples inoculated later, which correlated with enzymatic sucrose hydrolysis and cellulose degradation. Microbial counts indicated stable populations of acetic acid bacteria and yeast when the samples were inoculated on Days 3 and 5. Gluconic acid production was the highest in the sample inoculated on Day 5, exceeding levels reported in symbiotic culture of bacteria and yeast (SCOBY)-based fermentations. These findings suggest that inoculation with yeast and lactic acid bacteria, following prefermentation with acetic acid bacteria, yields superior fermentation performance in terms of acidity, metabolite production, and microbial stability.

Key words: inoculation time, Kombucha, metabolite, mixed culture fermentation, process optimization

*Corresponding Author: Chang-Ki Huh, Department of Food Science and Technology, Sunchon National University, Suncheon, Korea. Email: hck1008@scnu.ac.kr

Academic Editor: Prof. Antonietta Baiano – University of Foggia, Italy

Received: 7 August 2025; Accepted: 10 October 2025; Published: 1 January 2026

DOI: 10.15586/ijfs.v38i1.3299

© 2026 Codon Publications
This is an Open Access article distributed under the terms of the Creative Commons Attribution-NonCommercial-ShareAlike 4.0 International (CC BY-NC-SA 4.0). License (http://creativecommons.org/licenses/by-nc-sa/4.0/)

Introduction

Kombucha is a fermented, carbonated beverage -prepared by adding sugar to tea extract and fermenting it with a symbiotic culture of bacteria and yeast (SCOBY) (Dufresne and Farnworth, 2000). It is a noteworthy, functional beverage that contains organic acids, polyphenols, vitamins, and probiotics (Akbarirad et al., 2017). The microbial composition of the SCOBY is a principal determinant of the quality and functionality of kombucha. Typically, SCOBY exists in the form of a biofilm composed of acetic acid bacteria, yeast, and lactic acid bacteria (Soares et al., 2021). The interactions among these microorganisms determine key quality indicators, such as fermentation speed, organic acid production, flavor, and antioxidant properties (Içen et al., 2023; Kim et al., 2020). There are challenges to standardize the quality of the product during mass production because there is low reproducibility of fermentation based on natural SCOBY due to inconsistent microbial composition and sensitivity to changes in culture conditions (Laavanya et al., 2021; Malbasa et al., 2011; Wang et al., 2024). Recent studies attempted to isolate and identify the major microbial groups that constitute SCOBY and to conduct controlled fermentation using a combined culture of these microorganisms (Fabricio et al., 2023; Cheng et al., 2024), However, fermentation using mixed cultures is complex due to differences in growth rates, competition for nutrients, varied acid production patterns among the strains, and different characteristics of fermentation based on the time and the order of inoculation (De Roos and De Vuyst, 2018; Wang et al., 2013; Grassi et al., 2022). Therefore, it is vital to select specific strains and establish a standardized fermentation system that uses them. In this study, we aimed to analyze the changes in the fermentation characteristics of kombucha with respect to the time of inoculation of a mixed culture of four strains: Gluconobacter oxydans SFT-27, Acetobacter pasteurianus SFT-18, Leuconostoc mesenteroides SFT-45, and Saccharomyces cerevisiae SFT-71. Through this, we aim to establish an optimal strategy for inoculation of kombucha based on the composition of mixed cultures and propose the industrial production potential of consistent and highly functional kombucha.

Materials and Methods

Materials and reagents

The green tea leaves used in this experiment were purchased from Duson Herbal Co., Ltd., Yeongcheon-si, Korea. Yeast extract, tryptone, and -soytone were obtained from Life Technologies Co., Miami, FL, USA. Peptone was purchased from Duksan Pure Chemical Co., Ansan-si, Korea. Glucose was purchased from MB Cell Seocho-gu, Seoul, Korea, and fructose and sucrose were obtained from Daejung, Siheung-si, Korea.

Strain selection through preliminary research

The four strains used in our study were previously isolated in the Food Fermentation Engineering Laboratory at Sunchon National University (Jo et al., 2024; Lee et al., 2024), using the following selection process: Acetic acid bacteria were isolated from vinegar starter, plum extract, wine, and nine types of fruits, which were collected from the Food Fermentation Engineering Laboratory and the Suncheon Agricultural Wholesale Market. Commercially available kombucha and eight types of fruit vinegar were also used as isolation sources. A total of 31 strains were isolated and purified, and their fermentation characteristics were evaluated, including pH, titratable acidity, acid tolerance, ethanol tolerance, microbial count, and contents of gluconic acids. Based on these evaluations, we selected two acetic acid bacterial strains (SFT-18 and SFT-27) and analyzed the base sequence of their 16S ribosomal RNA using primers 785F (5’-GGA TTA GAT ACC CTG GTA-3’) and 907R (5’-CCG TCA ATT CMT TTR AGT TT-3’). We also isolated lactic acid bacteria from peach syrup, wine, kombucha, and three types of fruit collected at the same location, as well as from acacia honey and kimchi (including napa cabbage and ponytail radish varieties). We isolated and purified a total of 22 strains. Their biological and morphological characteristics were evaluated (including catalase test, Gram stain, and simple stain), along with their fermentation traits (pH, titratable acidity, acid tolerance, ethanol tolerance, microbial count). Based on the results, a lactic acid bacterial strain (SFT-45) was selected and identified using 16S rRNA sequencing with the same primers as above. Yeasts were selected from a pool of 20 strains stored at the Food Fermentation Engineering Laboratory. Their fermentation characteristics were evaluated, including pH, titratable acidity, acid tolerance, ethanol tolerance, ethanol production capacity, and cellulase activity. Based on this evaluation, we selected the yeast strain SFT-71 and analyzed its 18S rRNA sequence using primers NS1 (5’-GTA GTC ATA TGC TTG TCT C-3’) and NS24 (5’-TCC GCA GGT TCA CCT ACG GA-3’).

Selection of strains

To design an optimized microbial composition for Kombucha production, our study selected strains based on their fermentation characteristics, including excellent acid and ethanol tolerance, as well as robust growth at various temperatures. These strains were deposited in the Korean Culture Center of Microorganisms (KCCM) as follows: Acetic acid bacteria: A. pasteurianus SFT-18 (KCCM accession number: KFCC11966P), Acetic acid bacteria: G. oxydans SFT-27 (KFCC11967P), Lactic acid bacteria: L. mesenteroides SFT-45 (KFCC11968P), Yeast: S. cerevisiae SFT-71 (KFCC11969P) (Table 1).

Table 1. Information on the four strains used in complex fermentation.

Strains Function summary Medium/culture conditions
Acetobacter
pasteurianus SFT-18
(KFCC11966P)
- Purely separated from Maesil Cheong
- Strong resistance to acid and ethanol
- Excellent growth at 30°C fermentation temperature
Yeast extract 1%, Glucose 5%, Ethanol 3%
Aerobic bacteria/30°C/Shaked culture, Stationary culture
Gluconobacter
oxydans SFT-27
(KFCC11967P)
- Purely separated from grape vinegar
- Strong resistance to acid and ethanol
- Production of metabolites (Glucuronic acid, Gluconate) was confirmed.
- Excellent growth at 30°C fermentation temperature
Yeast extract 1%, Glucose 5%, Ethanol 3%
Aerobic bacteria/30°C/Shaked culture, Stationary culture
Leuconostoc mesenteroides SFT-45
(KFCC11968P)
- Purely separated from the surface of plums
- Confirmed resistance to acid and ethanol
- Excellent growth at 30°C fermentation temperature
MRS broth
Facultative anaerobe/30°C/Stationary culture
Saccharomyces cerevisiae SFT-71
(KFCC11969P)
- Selected as a strain for Kombucha complex fermentation.
- Excellent acid resistance and ethanol resistance
- Excellent CO2 generation ability
- Strong ethanol production and cellulase activity
- Excellent growth at 30°C fermentation temperature
YM broth
Aerobic bacteria/30°C/Stationary culture

Preparation of green tea extract

To develop an optimal composition of carbon and nitrogen sources for kombucha production and a mixed starter culture development, we prepared a green tea extract to test for fermentation characteristics. The green tea was prepared by adding 10 g green tea leaves to 1 L of distilled water and extracted at 90°C for 1 h. The extract was then filtered and sterilized at 121°C for 15 min in the autoclave. After the extract was cooled to 30°C, it was used as the fermentation medium (Figure 1).

Figure 1. The process of mixed culture fermentation according to inoculation time.

Inoculation of media with bacteria and yeast at distinct time points

To evaluate the effects of bacterial and yeast inoculations at different time points, we prepared a medium of 1% green tea extract supplemented with 0.01% yeast extract, 0.008% isolated soy protein as a nitrogen source, and 10% sucrose with 5% glucose as a carbon source. The medium was inoculated with 1% each of acetic acid bacteria (A. pasteurianus SFT-18 and G. oxydans SFT-27), followed by 1% inoculations of L. -mesenteroides SFT-45 (lactic acid bacteria) and S. cerevisiae SFT-71 (yeast) on different fermentation days (from Day 1–5) (Figure 1).

Measurement of pH and titratable acidity

The pH of 10 mL of the sample was measured using a pH meter (HM-40X, DKK-TOA Co., Tokyo, Japan). For titratable acidity, an appropriate amount of sample was titrated with 0.1 N NaOH after addition of 1% phenolphthalein as an indicator. The lactic acid conversion factor of 0.009 was used to calculate the acidity (Guangsen et al., 2021).

Measurement of ethanol content

The ethanol content was measured as per the alcoholic beverage analysis guidelines of the National Tax Service (NTS, 2020). The sample was filtered, and 1 μL of the filtrate was injected into a gas chromatograph (GC, 6890N and G1530N, Agilent Co., Santa Clara, CA, USA). Quantitation was performed using the external standard method. Gas chromatograph conditions were as follows: a DB-Wax column (60 m × 0.32 mm × 0.5 μm, Agilent Technologies Inc., Santa Clara, CA, USA) was used with the oven temperature raised from 60 to 100°C at 3°C/min, and then from 100 to 150°C at 5°C/min. Nitrogen (N2) was used as the carrier gas. The injector and detector temperatures were set at 150 and 200°C, respectively.

Measurement of soluble solids (°Brix) and reducing sugars

Soluble solids were measured using a digital refractometer (PAL-3, Atago Co., Tokyo, Japan) and expressed in °Brix. The 3,5-dinitrosalycylic acid (DNS) method was used to measure reducing sugars. 1 g of the sample was diluted 1000-fold, and 1 mL of the diluted solution was mixed with 3 mL of DNS reagent. The mixture was boiled in a water bath for 5 min, cooled, and its absorbance was measured at 550 nm using a microplate reader (SPECTROstar Nano, BMG Labtech, Ortenberg, Germany). We used glucose as the standard (Miller, 1959).

Microbial enumeration

To measure microbial counts during the fermentation with mixed culture, we assessed both total viable counts and yeast counts. A modified standard plate count method (MFDS, 2024) was used. The samples were serially diluted with 0.85% NaCl solution and plated on plate count agar (PCA for total bacteria) and yeast malt (YM for yeast) agar, then incubated for 2 days at 35 and 30°C, respectively. Colony-forming units were averaged from three independent experiments and expressed as log CFU/mL.

Measurement of gluconic acid content

Gluconic acid was analyzed following the method of Ansari et al. (2019). The fermentation broth was centrifuged (1000 rpm, 3 min; HA-1000-3, Hanil Science Industrial Co., Incheon, Korea), and the supernatant was filtered through a 0.45 μm PVDF membrane (25 mm, Chromdisc, Daegu, Korea). The filtrate was analyzed using HPLC (Waters 1525 and 717, Waters Co., Milford, MA, USA) with a Supelcogel C-610H column (30 cm × 7.8 mm, Supelco, Bellefonte, PA, USA). The column oven was maintained at 30°C; the mobile phase was 0.1% phosphoric acid with a flow rate of 0.6 mL/min. A UV detector was used for the detection (Waters 996) at 210 nm. Sodium gluconate (Sigma-Aldrich, St. Louis, MO, USA) was used as the standard, and the quantitation was done using the external standard method.

Statistical analysis

All the experiments were performed in triplicate or more. Statistical analysis was performed using SPSS version 27 (IBM Corp., Armonk, NY, USA). The results were expressed as mean ± SD, and Duncan’s multiple range test was used to determine the significance between mean values at P < 0.05.

Results and Discussion

pH and titratable acidity

In fermented beverages (Kombucha), the pH and titratable acidity are critical indicators of product quality. In kombucha, these values are strongly influenced by the organic acids produced by acetic acid and lactic acid bacteria (Dartora et al., 2023). The results of pH and titratable acidity measurements based on the time of inoculation of the mixed culture are shown in Figures 2 and 3. On different days from Day 1 to 5, 1% acetic acid bacteria (A. pasteurianus SFT-18 and G. oxydans SFT-27) were inoculated, followed by inoculation of each of 1% lactic acid bacteria (L. mesenteroides SFT-45) and 1% yeast (S. cerevisiae SFT-71). These were labeled as Sample A (inoculation on Day 1), Sample B (inoculation on Day 2), Sample C (inoculation on Day 3), Sample D (inoculation on Day 4), and Sample E (inoculation on Day 5). The pH decreased as the incubation period of the acetic acid bacteria increased, but no difference was observed after Sample C. By Day 25 of fermentation, there was a significant drop in pH in samples C, D, and E compared to that of samples A and B. In contrast, titratable acidity increased as the incubation period progressed and plateaued after the third day of inoculation. By Day 25, the titratable acidity for the inoculations on Days 1, 3, and 5 was 4.28, 4.01, and 4.64%, respectively, all of which exceeded the Korean food code standard for vinegar acidity (≥ 4%).

Figure 2. Changes in pH at different inoculation dates of a complex strain. (A) Yeast and lactic acid bacteria were inoculated on day 1 of the acetic acid bacteria culture; (B) Yeast and lactic acid bacteria were inoculated on day 2 of the acetic acid bacteria -culture; (C) Yeast and lactic acid bacteria were inoculated on day 3 of the acetic acid bacteria culture; (D) Yeast and lactic acid -bacteria were inoculated on day 4 of the acetic acid bacteria culture; (E) Yeast and lactic acid bacteria were inoculated on day 5 of the acetic acid bacteria culture. All values are mean ± SD (n = 3).

Figure 3. Changes in titratable acidity at different inoculation dates of a complex strain. Detailed sample information is -provided in Figure 2. All values are mean ± SD (n = 3). Means followed by the different lowercase letters at the same fermentation time (day) are significantly different (p<0.05, a>b>c>d>e).

Ethanol content

As shown in Figure 4, most samples reached peak ethanol levels on Day 5 of fermentation, ranging from 0.09 to 0.49%. For Sample E, the peak occurred on Day 10 at 0.11%. The ethanol content then steadily declined to 0.03–0.04% by the 25th day. On the fifth day of fermentation, Sample E exhibited an ethanol content nearly 10 times lower than that of the sample with the highest ethanol concentration. This phenomenon can be attributed to two factors. First, an acidic environment is known to inhibit yeast metabolism, resulting in reduced growth rates and lower ethanol production. Second, it may be due to the balance between ethanol production by yeast and the metabolism of acetic acid bacteria (Casey et al., 2010; Gomes et al., 2018; Wang et al., 2013). This inference is supported by the observation that, after Sample C, the total bacterial count in this study exceeded the yeast count.

Figure 4. Changes in ethanol content at different inoculation dates of a complex strain. Detailed sample information is provided in Figure 2.

Soluble solids (°Brix) and reducing sugars

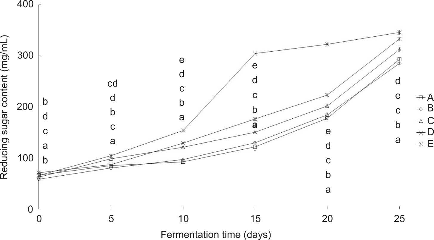
As shown in Figure 5, the initial °Brix ranged from 13.2 to 14.6 and gradually increased over 25 days of fermentation. The levels of reducing sugars (Figure 6) also increased continuously from an initial range of 58.55–71.38 to 285.71–346.46 mg/mL by the 25th day. Among all the samples, Sample B showed the lowest final values (32.2 °Brix, 287.71 mg/mL), while Sample E showed the highest (67.0 °Brix, 346.46 mg/mL). Our study observed a continuous rise in the levels of reducing sugars, unlike Tu et al. (2024), who reported a rise and subsequent fall in the content of reducing sugars during fermentation. However, Lau and Tang (2025) reported that the total sugar content increased depending on the type of extract and the added sugar. Chen et al. (2025) found that sugar content increased based on the yeast strain inoculated, while Kilmanoglu et al. (2024) observed that sugar levels rose depending on the combination of yeast and acetic acid bacteria strains. This could be attributed to differences in the levels of carbon sources (glucose 5% and sucrose 10%) and the enzymatic hydrolysis of sucrose into glucose and fructose by yeast invertase (Zhao et al., 2023). Additionally, glucose production from cellulose degradation by acetic acid bacteria (Guimaraes et al., 2024) likely contributed to the levels of reducing sugars.

Figure 5. Changes in the °Brix value at different inoculation dates of a complex strain. Detailed sample information is provided in Figure 2.

Figure 6. Changes in the reducing sugar content at different inoculation dates of a complex strain. Detailed sample -information is provided in Figure 2. All values are mean ± SD (n = 3). Means followed by the different lowercase letters at the same -fermentation time (day) are significantly different (p<0.05, a>b>c>d>e).

Initial microbial count

Initial microbial counts are shown in Figure 7. Yeast counts were higher than the total bacterial counts until the second day of inoculation, while the total bacterial counts surpassed yeast counts after Day 3 in Samples A and B. The average total bacterial count for all five samples was 7.05 log CFU/mL. For Samples C and E (which satisfied the ≥ 4% acidity criterion of the food code), the average initial total count was 7.39 log CFU/mL. The average yeast count across the samples was 6.76 log CFU/mL, while for Samples C and E, the yeast count was 6.32 log CFU/mL. Kombucha is known to be dominated by acetic acid bacteria and yeast (Andreson et al., 2022). Fabricio et al. (2023) reported an optimal inoculation level of 1 × 107 CFU/mL for acetic acid bacteria and 1 × 105 CFU/mL for yeast, which aligned with our study.

Figure 7. Effect of inoculation dates of complex strains on initial total bacterial and yeast counts. Detailed sample information is provided in Figure 2. All values are mean ± SD (n = 3). Means followed by the different lowercase letters at the same bar are significantly different (p<0.05, a>b>c). Significant difference between bacteria and yeast of same sample by t-test. *p<0.05, **p<0.01, ***p<0.001.

Gluconic acid content

In kombucha, elevated levels of gluconic acid have been reported to correlate with enhanced quality, particularly in terms of taste (Li et al., 2022). Figure 8 shows the gluconic acid levels influenced by the time of inoculation. All the samples contained detectable levels of gluconic acid, ranging from 42.27 to 95.54 mg/mL. From Samples A to D, there was little difference (42.27–60.05 mg/mL), but Sample E showed the highest level at 95.54 mg/mL. Using collected SCOBY, Li et al. (2023) reported maximum gluconic acid production of 6.11 g/L that increased 2.26 times when the SCOBY was reconstructed with a yeast-to-acetic acid bacterial ratio of 1:3. Our study achieved even higher levels that can be attributed to differences in fermentation period, strain composition, and fermentation temperature (Ariff et al., 2023). Our results confirm that inoculating lactic acid bacteria and yeast on Day 3, following a 3-day prefermentation with acetic acid bacteria, offers superior fermentation outcomes for kombucha.

Figure 8. The gluconic acid contents at different inoculation dates of complex strains. Detailed sample information is -provided in Figure 2. All values are mean ± SD (n = 3). Means followed by the different lowercase letters at the same bar are significantly different (p<0.05, a>b>c).

Conclusion

The pH of kombucha varied according to the time of inoculation of the mixed culture. There was a decrease in the pH as the pre-fermentation period of acetic acid bacteria increased, with no further change observed beyond Sample C (inoculated on Day 3). By the 25th day of mixed fermentation, a significant pH drop was observed in Samples C, D (inoculated on Day 4), and E (inoculated on Day 5) compared to Samples A (inoculated on Day 1) and B (inoculated on Day 2). In contrast, titratable acidity increased with prolonged acetic acid bacterial preincubation, stabilizing after the third day. On the 25th day, Samples A, C, and E recorded titratable acidity values of 4.28, 4.01, and 4.64%, respectively, all exceeding the 4% threshold set by Korean food regulations for vinegar products. Ethanol content peaked around Day 5 of fermentation in most samples (0.09–0.49%). In Sample E, the highest ethanol level (0.11%) occurred on Day 10, followed by a gradual decline to 0.03–0.04% by Day 25 of fermentation. Initial soluble solids ranged from 13.2–14.6 °Brix and continued to rise throughout the 25-day fermentation. Reducing sugars also steadily increased from 58.55–71.38 mg/mL at the beginning to 285.71–346.46 mg/mL by the 25th day of fermentation. Sample B showed the lowest values (32.2 °Brix, 287.71 mg/mL), while Sample E showed the highest (67.0 °Brix, 346.46 mg/mL). Initial total microbial counts averaged 7.05 log CFU/mL across all the samples. Samples C and E, which achieved titratable acidity ≥ 4%, had an average initial total count of 7.39 log CFU/mL and a yeast count of 6.32 log CFU/mL. These values are consistent with previous findings on the optimal inoculation levels of acetic acid bacteria and yeast in kombucha production. Gluconic acid was detected in all the samples, ranging from 42.27 to 95.54 mg/mL. Although -samples A through D showed similar levels (42.27–60.05 mg/mL), Sample E had a notably high level at 95.54 mg/mL. Our results suggest that inoculating lactic acid bacteria (L. mesenteroides SFT-45) and yeast (S. cerevisiae SFT-71) on the third day following a 3-day prefermentation with acetic acid bacteria (A. pasteurianus SFT-18 and G. oxydans SFT-27) provides optimal fermentation performance. This strategy helped to improve cost efficiency, metabolite production, microbial stability, and acidity, which are beneficial factors for industrial kombucha production.

Authors Contribution

Byung-kuk Choi: Writing – review & editing, Writing – original draft, Validation, Methodology, Investigation, Formal analysis, Data curation, Conceptualization. Su-Hwan Kim: Writing – review & editing, Writing – original draft, Validation, Methodology, Investigation, Formal analysis, Data curation, Conceptualization. Geun-Ho Song: Validation, Investigation, Formal analysis. Sang–Ah Kim: Validation, Investigation, Formal analysis. Chang Ki Huh: Writing – review & editing, Supervision, Project administration, Methodology, Conceptualization.

Conflict of Interest

The authors have no conflict of interest to declare.

Funding

None.

REFERENCES

Akbarirad, H., Mazaheri Assadi, M., Pourahmad, R., and Mousavi Khaneghah, A. 2017. Employing of the different fruit juices substrates in vinegar kombucha preparation. Current Nutrition & Food Science. 13: 303–308. 10.2174/1573401313666170214165641

Andreson, M., Kazantseva, J., Kuldjarv, R., Malv, E., Vaikma, H., Kaleda, A., Kutt, M.L., and Vilu, R. 2022. Characterisation of chemical, microbial and sensory profiles of commercial kombuchas. International Journal of Food Microbiology. 373: 109715. 10.1016/j.ijfoodmicro.2022.109715

Ansari, F., Pourjafar, H., Kangari, A., and Homayouni, A. 2019. Evaluation of the glucuronic acid production and antibacterial properties of kombucha black tea. Current Pharmaceutical Biotechnology. 20: 985–990. 10.2174/1389201020666190717100958

Ariff, R.M., Chai, X.Y., Chang, L.S., Fazry, S., Othman, B.A., Babji, A.S., and Lim, S.J. 2023. Recent trends in Kombucha: Conventional and alternative fermentation in development of novel beverage. Food Biosciences. 53: 102714. 10.1016/j.fbio.2023.102714

Casey, E., Sedlak, M., Ho, N.W.Y., and Mosier, N.S. 2010. Effect of acetic acid and pH on the cofermentation of glucose and xylose to ethanol by a genetically engineered strain of Saccharomyces cerevisiae. FEMS Yeast Research. 10: 385–393. 10.1111/j.1567-1364.2010.00623.x

Chen, F.I., Chang, Y.T., Khoirunnida, F.L., Pan, H.Y., Chuang, P.Y., and Lu, Y.C. 2025. The effect of different yeast and-bacterial strain combinations on the physicochemical and metabolic profile of kombucha fermentation. International Journal of Gastronomy and Food Science. 42: 101296. 10.1016/j.ijgfs.2025.101296

Cheng, Y., Qian, J., Xu, Q., Yu, Q., Guo, Y., Yao, W., and Qian, H. 2024. Correlation analysis between volatile flavor compounds and microbial succession of Lithocarpus litseifolius [Hance] Chun (L. litseifolius) kombucha during-fermentation. Food Biosciences. 58: 103655. 10.1016/j.fbio.2024.103655

Dartora, B., Hickert, L.R., Fabricio, M.F., Ayub, M.A.Z., Furlan, J.M., Perez, K.J., and Sant’anna V. 2023. Understanding the effect of fermentation time on physicochemical characteristics, sensory attributes, and volatile compounds in green tea kombucha. Food Research International. 174: 113569. 10.1016/j.foodres.2023.113569

De Roos, J., and De Vuyst, L. 2018. Acetic acid bacteria in fermented foods and beverages. Current Opinions in Biotechnology. 49: 115–119. 10.1016/j.copbio.2017.08.007

Dufresne, C., and Farnworth, E. 2000. Tea, Kombucha, and health: A review. Food Research International. 33: 409–421. 10.1016/S0963-9969(00)00067-3

Fabricio, M.F., Vargas, B.K., Tischer, B., Wagner, R., Ribeiro, S.R., Cordeiro, N., Flores, S.H., and Ayub, M.A.Z. 2023. Revamping kombucha production: Achieving consistency and-probiotic potential through a tailormade microbial consortium. International Journal of Gastronomy and Food Science. 34: 100844. 10.1016/j.ijgfs.2023.100844

Gomes, R.J., Borges, M.F., Rosa, M.F., Castro-Gomez, H., and Spinosa, W.A. 2018. Acetic acid bacteria in the food industry: Systematics, characteristics and applications. Food Technology and Biotechnology. 56: 5687. 10.17113/ftb.56.02.18.5593

Grassi, A., Cristani, C., Palla, M., Giorgi, R.D., Giovannetti, M., and Agnolucci, M. 2022. Storage time and temperature affect microbial dynamics of yeasts and acetic acid bacteria in a kombucha beverage. International Journal of Food Microbiology. 382: 109934. 10.1016/j.ijfoodmicro.2022.109934

Guangsen, T., Xiang, L., and Jiahu, G. 2021. Microbial diversity and volatile metabolites of kefir prepared by different milk types. CYTA Journal of Food. 19: 339–407. 10.1080/19476337.2021.1912190

Guimaraes, A.C., Leonarski, E., Cesca, K., and Poletto, P. 2024. Bacterial cellulose from kombucha: Assessing inoculum age and concentration, and its conversion via enzymatic hydrolysis into cellobiose and glucose. Biocatalysis and Agricultural Biotechnology. 59: 103244. 10.1016/j.bcab.2024.103244

Icen, H., Corbo, M.R., Sinigaglia, M., Korkmaz, B.I.O., and Bevilacqua, A. 2023. Microbiology and antimicrobial effects of kombucha, a short overview. Food Bioscience. 56: 103270. 10.1016/j.fbio.2023.103270

Jo, H.W., Kim, S.H., Lee, W.H., Kim, E.H., Jang, J.S., Choi, B.K., and Huh, C.K. 2024. Isolation, identification, and fermentation characteristics of lactic acid bacteria and yeast for kombucha production. Korean Journal of Food Science and Technology. 56: 505–512. 10.9721/KJFST.2024.56.4.505

Kilmanoglu, H., Cinar, A.Y., and Durak, M.Z. 2024. Evaluation of microbiota-induced changes in biochemical, sensory properties and volatile profile of kombucha produced by reformed microbial community. Food Chemistry: X. 22: 101469. 10.1016/j.fochx.2024.101469

Kim, J.Y., Shin, H.J., Kim, H.L., Park, H., Kim, P.K., Park, S., and Kim, S.H. 2020. The compositional and functional properties of-kombucha: A literature review. Food Engineering Progress. 24: 1–14. 10.13050/foodengprog.2020.24.1.1

Laavanya, D., Shirkole, S., and Balasubramanian, P. 2021. Current challenges, applications and future perspectives of SCOBY cellulose of kombucha fermentation. Journal of Cleaner Production. 295: 126454. 10.1016/j.jclepro.2021.126454

Lau, Y.L., and Tang, P.L. 2025. Exploring the effects of fermentation time and the addition of paraprobiotic strain K-1 on the physicochemical, chemical, and antioxidant properties of black and green tea kombuchas sweetened with different-sugars. International Journal of Gastronomy and Food Science. 40: 101152. 10.1016/j.ijgfs.2025.101152

Lee, D.H., Kim, S.H., Lee, C.Y., Jo, H.W., Lee, W.H., Kim, E.H., Choi, B.K., and Huh, C.K. 2024. Screening of acetic acid-bacteria isolated from various sources for use in Kombucha production. Fermentation. 10: 18. 10.3390/fermentation10010018

Li, J., Ma, D., Tian, J., Sun, T., Meng, Q., Li, J., and Shan, A. 2023. The responses of organic acid production and microbial-community to different carbon source additions during the anaerobic fermentation of Chinese cabbage waste. Bioresource Technology. 371: 128624. 10.1016/j.biortech.2023.128624

Li, R., Xu, Y., Chen, J., Wang, F., Zou, C., and Yin, J. 2022. Enhancing the proportion of gluconic acid with a microbial-community reconstruction method to improve the taste quality of Kombucha. LWT. 155: 112937. 10.1016/j.lwt.2021.112937

Malbasa, R.V., Loncar, E.S., Vitas, J.S., and canadanovic-brunet, J.M. 2011. Influence of starter cultures on the antioxidant activity of kombucha beverage. Food Chemistry. 127: 1727–1731. 10.1016/j.foodchem.2011.02.048

MFDS. 2024. Korea Food Code No. 2024-71. Ministry of Food and Drug Safety. [cited 2024 Nov 14]. Available from: https://www.foodsafetykorea.go.kr

Miller, G.L. 1959. Use of dinitrosalicylic acid reagent for determination of reducing sugar. Analytical Chemistry. 31: 426–428. 10.1021/ac60147a030

NTS. 2020. Guidelines for alcohol content analysis in fermented beverages. National Tax Service, Republic of Korea.

Soares, M.G., Lima, M.D., and Schmidt, V.C.R. 2021. Technological aspects of kombucha, its applications and the symbiotic culture (SCOBY), and extraction of compounds of interest: A literature review. Trends in Food Science and Technology. 110: 539–550. 10.1016/j.tifs.2021.02.017

Tu, C., Yu, T., Feng, S., Xu, N., Massawe, A., Shui, S., and Zhang, B. 2024. Dynamics of microbial communities, flavor, and physicochemical properties of kombucha-fermented Sargassum fusiforme beverage during fermentation. LWT–Food Science and Technology. 192: 115729 10.1016/j.lwt.2024.115729

Wang, S., Li, C., Xu, Q., Wang, Y., Wang, S., Zou, Y., Yang, Z., and Yuan, L. 2024. Addition of lactic acid bacteria modulates microbial community and promotes the flavor profiles of-kombucha. Food Bioscience. 60: 104340. 10.1016/j.fbio.2024.104340

Wang, Z., Yan, M., Chen, X., Li, D., Qin, L., Li, Z., Yao, J., and Liang, X. 2013. Mixed culture of Saccharomyces cerevisiae and Acetobacter pasteurianus for acetic acid production. Biochemical Engineering Journal. 79: 41–45. 10.1016/j.bej.2013.06.019

Zhao, S., Adade, S.Y.S.S., Wang, Z., Wu, J., Jiao, T., Li, H., and Chen Q. 2023. On-line monitoring of total sugar during-kombucha fermentation process by near-infrared spectroscopy: Comparison of linear and non-linear multiple calibration methods. Food Chemistry. 423: 136208. 10.1016/j.foodchem.2023.136208